최정후
(Jeonghoo Choi)
1
김민욱
(Minwook Kim)
2
이석재
(Seok-Jae Lee)
1,3,*
-
전북대학교 신소재공학부
(Department of Advanced Materials Engineering, Jeonbuk National University, Jeonju
54896, Republic of Korea)
-
세아베스틸 기술연구소
(R&D Center, SeAH Besteel Gunsan 54002, Republic of Korea)
-
전북대학교 신소재개발연구센터
(Research Center for Advanced Materials Development, Jeonbuk National University, Jeonju
54896, Republic of Korea)
Copyright © The Korean Institute of Metals and Materials
Keywords
Abnormal Grain Growth, Carbonitride, Grain Coarsening Temperature, Generative Adversarial Network
1. 서 론
침탄 열처리는 저탄소강 표면에 탄소를 확산시켜 경화층을 형성함으로써 경도와 내마모성, 피로수명을 향상시키는 대표적인 표면처리 기술이다. 이러한 특성으로
인해 자동차용 기어와 샤프트 등 주요 부품의 제조에 필수적으로 적용되고 있다. 이에 따라 침탄 공정 기술과 합금 설계는 장기간 발전을 거듭하며 고도화되어
왔다. 그중에서도 Cr 합금강인 SCR420H는 우수한 담금질성과 기계적 특성으로 인해 침탄 열처리에 널리 사용되고 있다[1].
최근 탄소중립 정책 강화로 인해 침탄 열처리 공정의 에너지 절감과 CO2 배출 저감이 지속적으로 요구되고 있다. 이에 대응하기 위한 방안으로 기존 침탄 온도(950 °C 미만)보다 높은 온도에서 수행되는 고온 침탄 기술이
주목받고 있다. 고온 침탄은 탄소 확산 속도 증가에 따라 침탄 시간을 최대 60%까지 단축할 수 있다. 이로써 공정 효율과 생산성이 향상되고, CO2 배출량과 제조 비용을 동시에 줄일 수 있다[2,3].
그러나 고온에서 결정립이 조대화되면 강도와 인성, 피로수명 등 기계적 물성이 저하될 수 있다. 이를 방지하기 위해 미세합금원소 첨가를 통한 결정립
성장 제어 기술 연구가 진행되고 있다[4]. Al 첨가는 AlN 석출을 유도하여 결정립 성장을 억제하지만, 1050 °C 이상의 고온에서는 AlN이 고용되어 pinning 효과가 급격히 감소한다[5-7]. Nb나 V 첨가 역시 고온에서 높은 고용도로 인해 단독 첨가 시 효과가 제한적이다[8-10]. 반면 Ti는 고온 안정성이 높아 TiN, TiC, (Ti,Nb)(C,N) 석출물을 형성하며, 이들은 높은 온도에서도 결정립 성장을 억제 효과를
유지한다[11]. 그러나 Ti는 강한 질화물 형성 원소로 AlN 생성을 방해하고, 조대화된 TiN이나 TiC는 압연 과정에서 균열이나 피로 크랙의 시발점으로 작용한다[12]. 지금까지의 연구는 석출물의 분율, 크기, 혹은 Nb/C와 Ti/N 조성비 최적화에 집중되어 있으며, (Ti,Nb)(C,N)복합 석출물의 비정상
결정립 성장 거동 영향에 대한 분석은 부족하다.
비정상 결정립 성장(abnormal grain growth, AGG)은 일부 결정립이 주변 결정립보다 과도하게 성장하는 현상으로 정상 결정립 성장(normal
grain growth, NGG)과 다른 성장 거동을 따른다. AGG는 제품 신뢰성에 직접적인 영향을 미치기 때문에 발생 조건을 정량적으로 파악하는
것이 중요하다. 그러나 기존 연구에서는 AGG 평가가 육안 관찰이나 Novikov가 제시한 수식과 같은 단순 비율 기준에 의존하는 경우가 많다[13-16]. 이러한 접근은 AGG 발생 여부만을 구분할 수 있을 뿐, 결정립 성장 상태나 거동을 명확히 파악하기 어렵다는 한계를 가진다[17-21]. 특히 Ti ≥0.15 wt.% 합금강에서 (Ti,Nb)(C,N) 복합 석출물의 거동과 AGG 억제 효과를 체계적으로 분석한 연구는 거의 보고되지
않았다[11-12,22-27].
최근 기계학습과 딥러닝을 활용해 미세조직과 기계적 물성을 분석하고 예측하려는 연구가 빠르게 증가하고 있다[28-31]. 특히 합성곱 신경망(convolutional neural network, CNN) 계열 알고리즘을 이용해 미세조직 이미지를 분류하거나 기계적 특성과의
상관관계를 모델링하는 연구가 확대되면서 이미지 기반 분석 기술의 활용 범위가 넓어지고 있다[32-34]. 이러한 흐름 속에서 생성적 적대 신경망(generative adversarial network, GAN)을 이용해 철강의 결정립 미세조직 이미지를
생성하거나 열처리 조건에 따른 미세조직 변화를 예측하는 연구도 빠르게 증가하고 있다[35-37]. 그러나 이러한 GAN 기반 접근은 대부분 일반 결정립 형상 재현이나 결정립 크기 예측에 국한되어 있으며 AGG와 같은 비균질한 결정립 성장 거동을
GAN을 이용해 학습하고 이미지 생성을 시도한 사례는 거의 보고되지 않았다. 따라서 GAN을 적용하여 AGG 발생 조건과 결정립 형상을 예측하는 접근을
시도하였다.
본 연구에서는 SCR420H 강에 Al, Nb, Ti를 첨가하여 (Ti,Nb)(C,N) 복합 석출물을 형성하고, 재가열 온도 변화에 따른 결정립 성장
거동을 분석하였다. MatCalc 열역학 계산 소프트웨어를 이용하여 석출상의 온도별 상분율과 pinning pressure 변화를 예측하였으며, Razzak의
제안식[38]과 결합하여 AGG 거동을 분석하였다. 계산 결과는 Novikov식으로 구한 값과 결정립 조대화 온도(grain coarsening temperature,
GCT)를 비교하여 평가하였다. 또한 새로운 공정에서의 GCT 예측을 위해 인공지능 기반 생성 모델인 GAN을 도입하였다. 조건 기반 이미지 생성
기법을 적용하여 합금 조성과 열처리 조건에 따른 결정립 이미지를 생성하고, 해당 조건의 검증 실험 결과와 대조함으로써 생성 이미지와 실제 이미지의
차이를 비교 및 평가하였다.
2. 실험 방법
2.1 시편 준비 및 결정립 크기 측정
석출상의 종류에 따른 결정립 성장과 조대화 거동 관찰을 위해 Al, Nb, Ti의 함량이 서로 다른 세 종류의 미세 합금강을 세아베스틸에서 제공받아
사용하였다. 생산된 블룸(bloom)으로부터 얻은 블록 시편을 이용하여 순차적인 3단계 가열처리를 실시하였다. 대형 압연 공정을 모사하기 위해 1차
가열에서 1250 °C에서 300분 유지 후 상온까지 공냉하였다. 소형 압연 공정을 모사하기 위해 2차 가열에서는 1050-1200 °C 온도 구간에서
80분 유지 후 상온으로 공냉하였다. 이후 3차 가열은 침탄 공정을 모사한 조건인 940-1080 °C 온도 구간에서 60분 유지 후 상온으로 공냉하였다.
열처리 후 블록 시편의 중심부에서 18×18×18 mm3 크기의 시편을 채취하여 분석을 실시하였다. 각 합금의 화학조성은 X선 분광분석법(XRF, Spectro, LAB LAVM11)을 이용하여 분석하였으며
결과는 표 1에 나타내었다. 성분에 따라 각 합금은 ‘Al강’, ‘AlNb강’, 그리고 ‘AlTi강’으로 명명하였다.
Table 1. Chemical composition of Al, AlNb, and AlTi steels (wt.%).
|
Steel
|
C
|
Si
|
Mn
|
P
|
S
|
Cu
|
Ni
|
Cr
|
Mo
|
Al
|
Nb
|
Ti
|
N
|
Fe
|
|
Al
|
0.20
|
0.21
|
1.24
|
0.02
|
0.02
|
0.17
|
0.06
|
1.02
|
0.02
|
0.025
|
0.002
|
0.004
|
0.01
|
Bal.
|
|
AlNb
|
0.18
|
0.22
|
1.20
|
0.02
|
0.03
|
0.01
|
0.07
|
1.00
|
0.03
|
0.028
|
0.023
|
0.002
|
0.01
|
Bal.
|
|
AlTi
|
0.18
|
0.21
|
1.22
|
0.02
|
0.01
|
0.16
|
0.06
|
1.00
|
0.02
|
0.031
|
0.008
|
0.155
|
0.02
|
Bal.
|
결정립 크기 측정을 위해 광학현미경(optical microscope, LEICA, DMI5000) 관찰을 실시하였다. 시편 준비를 위해 SiC 연마지를
사용하여 시편을 #2000까지 연마 후, 초음파 세척을 10분간 실시하였다. 이후 다이아몬드 서스펜션을 사용하여 3 µm-0.25 µm까지 천 연마를
수행하고, 피크린산(Picric acid) 용액을 이용하여 에칭을 시행하였다. 이후 100배율에서 광학현미경 관찰을 통해 정상 결정립 크기와 비정상적으로
조대화된 결정립 크기를 측정하였다. 결정립 크기는 ASTM E112-13 방법을 따라 무작위로 배치한 직선 5개와 결정립계와의 교차점의 수를 계산하여
평균 크기를 얻었다[39].
2.2 결정립 예측 모델
열역학 계산 프로그램인 MatCalc[40]와 Fe database (version 2.057)를 사용하여 온도에 따른 석출상의 분율과 평균 크기를 Al, AlNb, AlTi강에 대해 계산하였다.
합금 조성과 열처리 조건에 따른 pinning pressure는 Zener가 제안한 Zener pinning pressure식을 이용하여 계산하였다.
Zener pinning pressure(Pz)는 다음과 같이 식(1)로 표현된다.
여기서 f는 석출상의 체적분율, γ는 오스테나이트 결정립계 에너지, r은 석출상의 평균 크기이다. 본 연구에서의 석출상은 완전한 구형으로 가정하였으며
분포 또한 균일하다고 가정하였다[41]. 이러한 단순화된 가정은 실제 공정에서 석출물의 형상과 분포를 완전히 반영하지 못할 가능성이 있다. 특히 (Ti,Nb)(C,N) 석출상과 같이 조성에
따라 형상과 크기가 매우 민감하게 변화하는 경우에는 pinning 효과가 과소평가될 가능성이 있다[42]. 따라서 본 연구에서 계산된 pinning pressure는 해석에 있어 절대적인 기준보다는 상대적인 pinning 효과 비교에 초점을 두고 해석하였다.
AGG 거동 매핑 그래프는 Razzak가 제안한 관계식에 근거하여 비정상 결정립이 성장하기 위한 조건과 비정상 결정립이 정상 결정립보다 빠르게 성장하기
위한 조건을 동시에 만족하는 경우에 비정상 결정립 조대화가 발생한다고 판단하였으며, 식(2)과 식(3)로 제시하였다[38].
이때 µ는 계면에너지 면적 상수값으로 0.8, λ는 AGG 상수값으로 0.5, Dlim는 pinning pressure에 의해 결정되는 결정립 크기, Davg는 평균 결정립 크기, Dmax는 비정상 결정립 크기, x는 Davg/Dlim, y는 Dmax/Davg이다. 이후 x와 y를 이용하여 AGG가 일어나기 위한 매핑 그래프를 계산하였다. AGG 발생 유무를 확인하기 위한 추가 기준으로 Novikov가
제안한 수식을 사용하였다.
Novikov가 제안한 식은 Dmax와 Davg의 비를 이용하여 결정립 성장 과정에서 AGG 발생 여부를 간단히 판단할 수 있는 대표적인 경험식이다. 본 연구에서는 최대 결정립 크기와 평균 결정립
크기의 비(Dmax/Davg)가 2.94를 초과하는 경우 AGG가 발생한 것으로 판단하였다[17]. 본 연구에서는 AGG 판별의 주된 기준으로 Razzak식 기반 메커니즘 맵을 사용하였다. GAN 생성 이미지의 AGG 판별 시 Novikov식을
보조적 검증 수단으로 활용하였다.
2.3 GAN 모델
본 연구에서는 합금 및 열처리 조건에 따른 오스테나이트 결정립 미세조직의 형상적 특성을 고려하여 GAN 기반의 인공지능 모델을 학습시켜 GCT를 예측하고자
하였다. 학습에는 광학현미경 관찰로 확보한 미세조직 이미지를 활용하였다. 결정립계 이미지를 학습한 GAN 모델로부터 새로운 열처리 조건에서 미세조직을
예측하고 GCT를 평가하고자 하였다.
기본적으로 Goodfellow가 제안한 생성자(generator)와 판별자(discriminator)라는 두 개의 신경망이 서로 경쟁적으로 학습하는
GAN 구조를 활용하였다[43]. 생성자는 무작위 잠재공간(latent space) 벡터로부터 실제와 유사한 결정립 미세조직을 생성하는 역할을 하고, 판별자는 입력된 이미지가 실제
이미지인지 생성된 이미지인지를 판단하도록 학습된다. 두 네트워크는 상호 경쟁을 통해 점차 성능이 향상되며, 결과적으로 고품질의 이미지 생성을 가능하게
한다. 이러한 GAN구조에 조건부 정보(condition vector)를 추가한 것이 확장된 모델인 조건부 GAN(conditional GAN, cGAN)이다[44]. cGAN에서는 생성자와 판별자 모두에게 특정 조건(물성값, 공정조건 등)을 입력값으로 함께 제공함으로써, 주어진 조건에 부합하는 이미지를 생성하고
평가할 수 있도록 한다. 이는 단순히 임의의 이미지를 생성하는 것이 아니라 특정한 조건을 반영한 이미지 생성을 가능하게 한다. 본 연구에서는 cGAN을
더욱 효율적으로 구현하기 위해, cGAN의 확장 구조인 조건부 심층 합성곱(conditional deep convolutional GAN, cDCGAN)을
활용하였다. cDCGAN은 기존 cGAN에서 fully connected layer 대신 합성곱(convolution), 전치합성곱(deconvolution)
계층을 도입하여 이미지 구조와 공간 정보를 더 효과적으로 학습할 수 있도록 구성된 모델이다[45]. 이러한 cDCGAN 구조에서 생성자는 100차원의 무작위 노이즈 벡터와 하나의 조건 레이블(pinning pressure)을 입력으로 받아 DeConv
계층을 통해 점진적으로 업샘플링을 수행하며, 최종적으로 결정립계 특징을 구분할 수 있는 512×512×3 크기의 고해상도 미세조직 이미지를 생성한다.
판별자는 생성된 이미지 또는 실제 실험 이미지를 조건 레이블과 함께 입력으로 받아, 입력 이미지가 가짜인지 실제인지 판단할 수 있도록 학습된다. 전체
cDCGAN 네트워크의 구조는 그림 1에 제시되어 있다.
Fig. 1. Architecture of the cDCGAN, including the generator and discriminator networks.
생성자에는 ReLU, Tanh 활성화 함수를 사용하였으며, 판별자에는 LeakyReLU가 사용되었다. 모델의 손실 함수로는 Least Squares
GAN, 학습은 Adam 옵티마이저를 사용하였다. 생성자의 학습률은 4×10-6, 판별자의 학습률은 2×10-6로 설정하였다. 전체 학습 epoch 수는 200, batch size는 32로 설정하였으며, NVIDIA GeForce RTX 5070 GPU를
이용하여 학습을 수행하였다. 각 계층의 커널 크기와 출력 데이터의 형태는 표 2에 정리하였다.
Table 2. Summary of the kernel size and output shape of each cDCGAN layer.
|
Type
|
Layer
|
Kernel size
|
Output shape
|
|
Generator
|
Z-noise+c-noise
|
-
|
102
|
|
FC layer
|
-
|
65536
|
|
Reshape
|
-
|
8×8×1024
|
|
DeConv1
|
5×5
|
16×16×512
|
|
DeConv2
|
5×5
|
32×32×256
|
|
DeConv3
|
5×5
|
64×64×128
|
|
DeConv4
|
5×5
|
128×128×64
|
|
DeConv5
|
5×5
|
256×256×32
|
|
DeConv6
|
5×5
|
512×512×3
|
|
Discriminator
|
Image+c-noise
|
-
|
512×512×5
|
|
Conv1
|
5×5
|
256×256×64
|
|
Conv2
|
5×5
|
128×128×128
|
|
Conv3
|
5×5
|
64×64×256
|
|
Conv4
|
5×5
|
32×32×512
|
|
Conv5
|
5×5
|
16×16×1024
|
|
Conv6
|
5×5
|
8×8×1024
|
|
Conv7
|
5×5
|
1
|
자세한 계산 과정은 기존 문헌들에 설명되어 있다[46-49]. 이미지 품질 향상을 위해 ImageJ 소프트웨어(Bethesda, MD)를 활용하여 과에칭 영역과 불순물을 제거하여 노이즈를 최소화하였다. 학습
데이터 전처리 과정에서는 각 미세조직 이미지를 90°, 180°, 270°로 회전, 좌우·상하 반전하여 데이터 증강을 수행하였다. 이후 512×512
픽셀 크기로 크롭하여 학습 데이터를 확보하였다. GAN 모델 학습 후에는 생성된 미세조직 이미지를 사용하여 새로운 열처리 조건에서의 결정립을 예측하고
GCT값을 추정하였다. 학습이 완료된 후에는 생성된 결정립 미세조직 이미지의 품질을 정량적으로 평가하기 위해 FID(Fréchet inception
distance)를 사용하였다. FID는 사전학습된 InceptionV3 모델을 기반으로 생성 이미지와 실제 이미지의 특성 분포 간 거리를 정량화한
값으로, 값이 낮을수록 생성된 이미지가 실제 이미지와 유사함을 의미한다[50].
3. 결과 및 고찰
3.1 열역학 계산
그림 2는 Al강, AlNb강, AlTi강의 고온 석출상인 Cr계 탄화물, AlN, (Ti,Nb)(C,N), Ti4C2S2의 상분율 변화를 열역학 계산 통해 비교한 결과이다. Al강에서는 AlN이 1191 °C에서 완전 고용되었고 (Ti,Nb)(C,N)은 1419 °C에서
고용이 완료되었다. AlNb강에서는 AlN이 1222 °C에서 고용이 완료되었으며 (Ti,Nb)(C,N)은 1220 °C에서 완전 고용되었다. AlTi강의
경우 (Ti,Nb)(C,N)은 1593 °C에서 완전 고용되었고 Ti4C2S2는 1152 °C에서 MnS의 생성을 억제하며 석출이 시작되어 1471 °C에서 고용이 완료되었다. 이러한 결과는 Al강과 AlNb강의 1차 가열
조건인 1250 °C에서 AlN이 완전 재고용될 수 있음을 의미한다. Al강에서 940-1080 °C 구간의 AlN 석출 분율은 약 0.069–0.101wt.%이며
AlNb강에서는 AlN이 0.073–0.099wt.%, (Nb,Ti)(C,N)이 0.024–0.031wt.%로 계산되었다. AlTi강의 경우 (Ti,Nb)(C,N)
석출 분율이 0.235–0.257wt.%로 가장 높았다. Ti 첨가량이 높은 AlTi강은 940-1080 °C 범위에서도 다량의 석출상을 형성하므로
강한 pinning 효과가 기대된다. 그러나 실제 제조공정에서는 2차 가열 시 Ti계 석출물의 낮은 고용도로 인해 완전 재고용이 어렵고 조대화 된
TiN의 양을 줄이기 어렵다. 이는 N 함량을 낮추면 고온 침탄 시 더 미세하고 균일한 TiN 석출을 유도할 수 있음을 시사한다. 따라서 TiN의
크기와 분포를 정밀하게 제어하기 위한 추가 연구가 필요하다.
Fig. 2. Equilibrium phase fraction as a function of temperature for (a) Al steel,
(b) AlNb steel, and (c) AlTi steel.
그림 3은 Zener가 제안한 이론식을 바탕으로 계산된 합금별 석출상의 pinning pressure 변화를 나타낸다. 모든 합금에서 열처리 온도가 상승할수록
석출물이 고용되어 pinning pressure가 점진적으로 감소하였다. Al강은 940 °C에서 약 0.13 MPa의 값을 보였으나 AlN이 고온에서
고용되며 1000 °C 이후에는 pinning 효과가 35% 이상 감소하였다. AlNb강은 940 °C에서 약 0.25 MPa 이상의 높은 pinning
효과를 보였지만, (Nb,Ti)(C,N) 석출상의 안정성이 저하되어 1040 °C 이상에서는 68% 이상 급격히 감소하였다. 반면 AlTi강은 1040
°C 이상에서도 0.1 MPa 이상의 pinning 효과를 유지하였다. 이는 Ti-rich (Ti,Nb)(C,N) 석출상이 고온 안정성이 높기 때문이며,
1040 °C 이상의 온도에서도 AlTi강이 안정적인 결정립 성장 억제 효과를 유지함을 보여준다. 본 연구에서 사용된 동일한 조건으로 열처리된 Al강,
AlNb강, AlTi강에서 존재하는 다양한 석출물들은 주사전자현미경(FE-SEM)과 투과전자현미경(STEM)을 사용하여 저자들의 이전 연구에서 실험적으로
확인하였다[51,52].
Fig. 3. (a) Phase fractions of precipitates in Al, AlNb, and AlTi steels, and (b)
calculated pinning pressure as a function of the 3rd temperature.
3.2 결정립 크기 측정
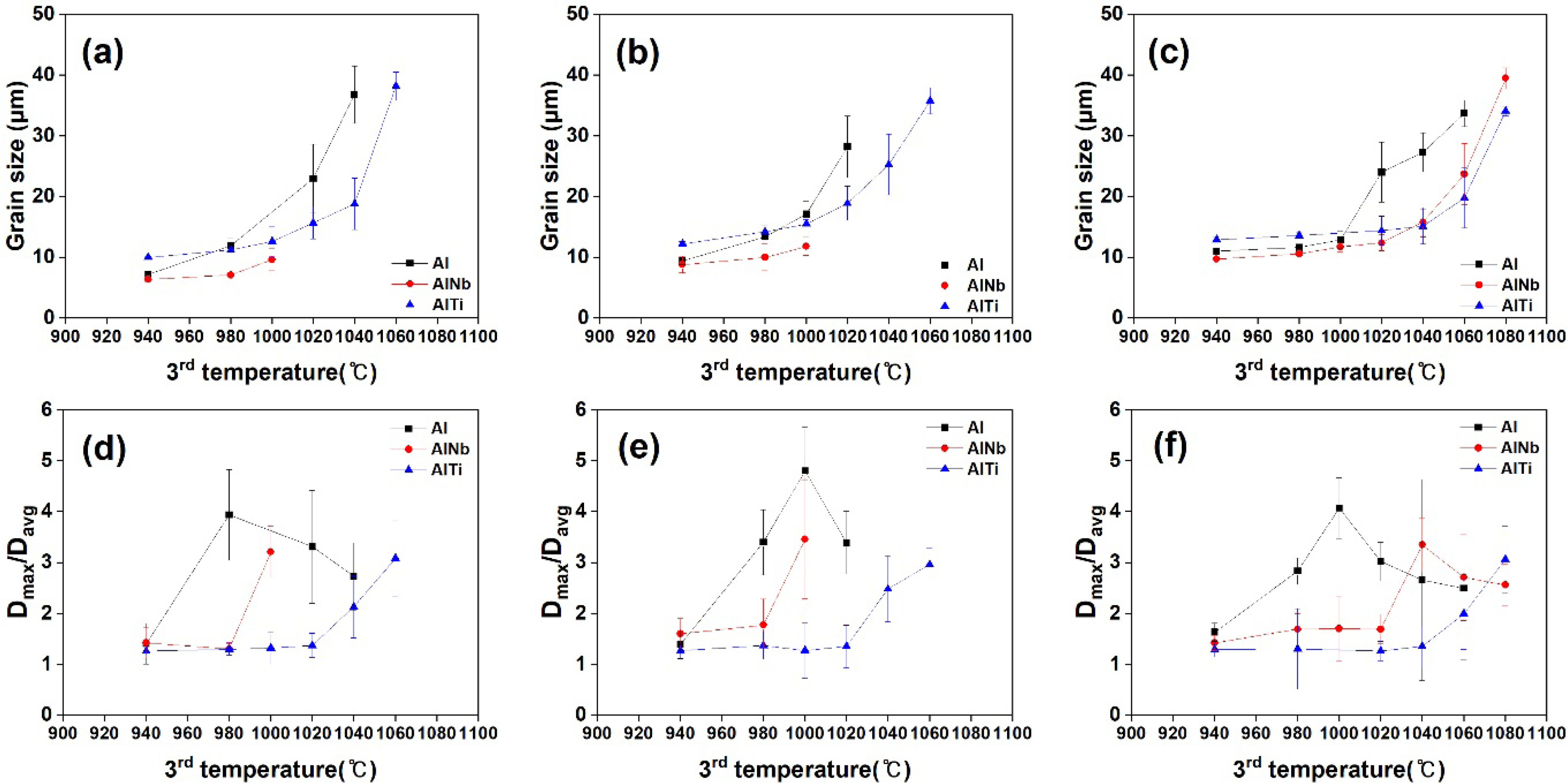
그림 4는 세 합금의 2차 가열과 3차 가열 조건에 따른 평균 결정립 크기와 최대 결정립 크기의 변화를 나타낸다. 그림 4(a-c)에서 3차 가열온도 940 °C 조건에서 비교하면, 2차 가열 온도가 1050, 1150, 1200 °C로 증가함에 따라 세 합금 모두에서 평균 결정립
크기가 증가하였다. Al강은 각각 7.2, 9.4, 11.0 µm, AlNb강은 각각 6.4, 8.8, 9.7 µm, AlTi강은 각각 10.0,
12.2, 12.9 µm로 점진적으로 증가하였다. 또한 대부분의 합금 및 1000 °C 이하의 열처리 조건에서 AlNb강이 Al강과 AlTi강에 비해
가장 미세한 결정립 크기를 보였다. Al강과 AlTi강은 3차 가열 1000 °C 이하에서 결정립 크기 차이가 ±2.8 µm 이하로 유사한 크기를
보였다. 모든 합금에서 온도 상승과 함께 결정립 크기가 최대 39.5 µm까지 점진적으로 증가하였다. 1040 °C 이상의 고온에서는 Al강과 AlNb강의
결정립이 AlTi강보다 빠르게 조대화되었고, 이는 앞서 계산한 pinning pressure 감소 경향과 일치하였다. 그림 4(d–f)는 평균 결정립 크기 대비 최대 결정립 크기의 비(Dmax/Davg)를 나타낸다. 3차 가열 온도가 상승함에 따라 결정립 성장 구동력이 커져 AGG의 발생 가능성이 높아짐을 확인하였다. 2차 가열 온도가 높을수록
석출물이 고용, 재석출 되어 AGG 억제 효과가 소폭 향상되었다. 3차 가열 1040 °C이하 구간에서 Al강과 AlNb강은 Dmax/Davg 비가 최대 4.8까지 빠르게 증가한 반면 AlTi강은 최대 2.5로 상대적으로 완만한 상승 폭을 보였다. 이는 AlTi강에서 Ti-rich (Ti,Nb)(C,N)
석출상이 0.235–0.257wt.% 수준으로 높은 분율을 유지하기 때문이다.
Fig. 4. Changes in (a–c) grain size and (d–f) Dmax/Davg in Al, AlNb, and AlTi steels as a function of the 3rd temperature. The steels were
subjected to the 2nd heat treatment at (a,d) 1050 ℃, (b,e) 1150 ℃, and (c,f) 1200
℃, respectively.
3.3 결정립 성장 거동 분석
그림 5는 AGG 거동을 명확히 구분하기 위해 Razzak가 제안한 AGG 발생 조건식인 식(2)과 식(3)에 따라 계산된 메커니즘 맵을 기반으로 하여 본 연구의 MatCalc 열역학 계산 결과와 실험적으로 측정된 결정립 크기 값을 이용해 AGG 발생 조건을
매핑한 그래프이다. 식(2)과 식(3)에 따라 AGG 발생 조건을 여섯 개의 영역으로 구분할 수 있다. 영역 1은 정상 및 비정상 결정립이 안정적으로 성장하는 구간이며, 영역 2는 정상
결정립만이 안정적으로 성장하는 영역으로 AGG 발생 이전의 초기 정상 성장 구간이다. 영역 3은 석출물의 pinning 효과가 커서 정상 결정립이
성장하지 못하는 영역이다. 영역 4는 정상 결정립과 비정상 결정립 모두 성장이 억제되는 구간으로 AGG 발생 직전 상태에 해당한다. 영역 5는 정상
결정립은 고정되어 있으나 비정상 결정립이 성장하는 AGG 초기 구간이다. 영역 6은 정상 결정립은 안정적으로 성장하고 AGG가 불안정하게 급격히 진행되는
AGG 후기 영역이다. 실제 실험 데이터와 비교 분석 결과 AGG 발생 이전 조건에서는 실제로 AGG가 일어나지 않는다 계산되었고, AGG 발생 이후
조건도 대부분 영역 5와 6에 해당하였다. 이때 Al강에서는 AGG가 일어나기 시작할 때 영역 5를 거치지 않고 초기 단계부터 바로 영역 6에 해당하는
AGG 후기 영역에 진입하였다. 이는 AlNb강과 AlTi강에서 AGG가 영역 5에서 점진적으로 시작되는 양상과는 대조적인 모습이다. Al강의 경우
940 °C부터 980 °C로 온도가 40 °C 상승하는 동안 석출물의 급격한 고용이 일어난다. 때문에 영역 5를 충분히 거치지 못하고 영역 6에서
AGG가 발생한 것으로 판단된다. 일부 Al강에서는 AGG가 발생한 이후 영역 1로 이동하는 현상이 관찰되었다. 이는 식(2)를 통해 설명되듯이 정상 결정립의 pinning된 석출물도 고용되어 정상 결정립의 성장 속도가 비정상 결정립의 성장 속도만큼 빨라질 경우 다시 NGG
상태로 회귀함을 의미한다. 이와 같이 성장 거동은 온도 상승에 따라 결정립 성장 경로가 영역 2, 3, 4 → 5 → 6 → 1순으로 이동하는 경향을
보였다. 이는 온도가 상승함에 따라 초기 영역 2-4에서는 석출물의 점진적인 용해가 진행되어 pinning 효과가 감소한다. 이후 일부 결정립이 빠르게
성장하여 영역 5로 이동한다. 이후 영역 6으로 진입하여 결정립이 불안정하게 급격히 조대화되어 Dmax/Davg 비가 크게 증가한다. 마지막으로 주변 결정립도 조대화된 결정립을 따라 성장하면서 조직 전체가 다시 안정적인 NGG 구간으로 돌아온다. 이러한 일련의
거동은 온도 상승에 따른 일반적인 결정립 성장 거동인 NGG → AGG → NGG 양상을 잘 보여준다.
Fig. 5. AGG map based on the proposed calculation method. The black solid line is
calculated using Eq. (2), whereas the red dashed line is calculated using Eq. (3).
Closed symbols denote NGG data and open symbols denote AGG data.
3.4 GCT 예측 비교
그림 6은 기존 Novikov식과 이번 연구에서 사용한 열역학 계산과 Razzak식을 이용하여 계산한 GCT 온도를 비교하고 있다. 두 식으로부터 계산된
GCT 결과는 모든 합금 및 열처리 조건에서 동일하거나 20 °C차이를 보여 서로 유사한 값을 보여주었다. 합금에 따른 GCT는 Al강, AlNb강,
AlTi강 순으로 증가하였다. 이는 (Ti,Nb)(C,N)석출상이 1040 °C이상의 고온에서도 약 0.1 MPa 이상의 pinning 효과를 유지하기
때문이다. 2차 가열 온도가 1050-1200 °C 구간에서 증가할수록 GCT도 함께 상승하였다. 이는 2차 가열에서 석출물 재고용이 충분히 이루어진
후 3차 가열 구간인 940-1080 °C에서 보다 미세하고 균일한 석출물이 형성되었기 때문으로 해석하였다. AlNb강은 모든 조건에서 두 계산식의
결과가 일치하였다. 이는 pinning 효과가 온도 상승과 함께 급격히 감소하여 결정립 조대화가 빠르게 진행된 결과로, 그림 3(b)의 열역학 계산 결과에 기인한 pinning pressure 계산 결과와 부합한다. AlTi강에서는 열역학 계산과 Razzak식을 이용한 GCT 계산
결과가 Novikov식으로 계산된 GCT 보다 20 °C씩 낮게 나타났다. Novikov식은 Dmax/Davg 비율에 의존하여 평균 결정립 크기 변화에 민감하고 온도 상승 시 비율 감소를 충분히 반영하지 못해 GCT가 상대적으로 더 높게 산정되는 한계가 있다고
판단하였다. 따라서 열역학 계산을 통해 구한 데이터를 Razzak식과 결합하여 GCT를 산정하는 접근법이 단순한 비율 계산에 비해 결정립 성장 거동을
보다 명확하게 구별할 수 있으며 고온 침탄 공정의 GCT 평가에 더 적합하다고 판단된다.
Fig. 6. Comparison of GCT values calculated using Eq. (4) and those obtained by the
proposed calculation method as a function of the 2nd temperature.
3.5 GAN을 이용한 결정립 이미지 생성
앞선 열역학 계산과 실험을 통해 AGG 거동과 GCT를 예측하였으나, 실제 실험에서 모든 온도 구간을 세밀하게 측정하여 정확한 AGG 발생 온도를
파악하기 위해서는 많은 시간과 비용이 소요된다. 이를 보완하기 위해 본 연구에서는 생성적 적대 신경망(GAN)을 이용하여 새로운 열처리 조건인 960
°C에서 미세조직을 예측하고 AGG 발생 온도를 평가하였다.
그림 7은 2차 가열 온도가 1050 °C인 조건에서 3차 가열 온도가 변화할 때 GAN 모델을 이용하여 생성된 결정립 이미지를 보여주고 있다. GAN으로
생성된 이미지는 해당 온도 조건에서 관찰된 실제 결정립 이미지를 학습하여 생성하였다. 주목할 점은 3차 가열 온도 중 960 °C 조건은 실험을 실시하지
않은 조건으로 실험을 실시한 940 °C와 980 °C 사이 온도에 해당한다. 그림 7에서 960 °C 조건에서 생성된 각 강종의 결정립 이미지는 실험하지 않은 온도 조건에 대해 GAN 모델이 예측하여 생성된 이미지 결과이다. 940
°C와 980 °C 조건에서 생성된 이미지와 비교하였을 때 960 °C 조건에서 예측된 생성 이미지는 온도 상승에 따른 결정립의 성장 경향을 잘 보여주고
있다. 또한 모든 조건에서 노이즈 영역 없이 결정립 이미지가 깨끗하게 생성되었고 AGG 발생 여부가 육안으로 명확히 구분되었다.
Fig. 7. Microstructure images generated by the proposed GAN model for various 3rd
temperatures under the 2nd temperature of 1050 ℃.
그림 7과 동일하게 그림 8과 그림 9도 각각 2차 가열 온도가 1150 °C와 1200 °C인 조건에서 3차 가열 온도가 변화할 때 GAN 모델을 이용하여 생성된 결정립 이미지를 잘
보여주고 있다.
Fig. 8. Microstructure images generated by the proposed GAN model for various 3rd
temperatures under the 2nd temperature of 1150 ℃.
Fig. 9. Microstructure images generated by the proposed GAN model for various 3rd
temperatures under the 2nd temperature of 1200 ℃.
그림 10은 GAN 모델이 실제 AGG를 얼마나 정확히 학습했는지를 확인하기 위해 실제 AGG 발생이 관찰된 미세조직과 해당 조건에서 GAN이 생성한 이미지를
비교한 결과이다. 본 연구에서 구축한 GAN 모델이 실제 이미지의 과에칭 영역과 결정립 경계를 명확히 구분하여 이미지를 생성하였음을 확인하였다. 또한
결정립 분포와 형상도 유사하게 재현되었다. 본 연구에서 구축된 GAN 모델은 복잡한 다상 미세조직 이미지에 대한 모델이 아닌 결정립계 변화만 표시된
비교적 단순한 이미지를 모델 학습에 사용하였다. 생성된 결정립계 이미지 역시 실험으로 관찰된 이미지와 동일하게 평균 결정립 크기를 평가하는데 활용되었다.
Fig. 10. Comparison between the experimentally observed microstructure image (left,
EXP) and the GAN-generated microstructure image (right, GAN) for different heat-treatment
temperatures. T2 denotes the 2nd temperature and T3 denotes the 3rd temperature.
GAN 모델을 이용하여 3차 가열 온도가 960 °C인 조건에서 생성한 결정립 이미지를 평가하기 위해 960 °C에서 추가 실험을 진행한 뒤 결정립
크기를 측정하였다.
그림 11은 960 °C에서 실험적으로 얻은 평균 결정립 크기와 Dmax/Davg 비를 나타낸다. 측정된 값은 기존 실험에서 확보한 결정립 크기 데이터와 전반적인 경향성이 일치하였다. 이를 Razzak제안식에 적용해 보았다. Al강의
2차 가열 1050 °C 조건은 AGG 초기 단계인 영역 5에 해당하였다. 이는 앞서 그림 5에서 계산된 940-980 °C 사이의 온도 구간에서 석출물 고용에 의해 980 °C 전에 이미 AGG가 발생한 것이라는 예측과 일치한다. Novikov식
기준으로는 Dmax/Davg가 3.16으로 임계값 2.94를 초과하여 동일한 조건에서 AGG가 발생된 것만을 확인할 수 있었다. 다른 합금 조건에서는 AGG가 발생하지 않았다.
Fig. 11. Average grain size and Dmax/Davg as a function of the 2nd temperature at a fixed 3rd temperature of 960 ℃. Closed
symbols indicate the average grain size, and open symbols indicate the Dmax/Davg value.
그림 12는 960 °C 조건에서 모델이 AGG 발생 여부를 정확히 예측했는지 육안으로 확인하기 위해 실제 결정립 사진과 GAN 생성 이미지를 비교한 결과이다.
Novikov식 기준에 따라 Dmax/Davg가 임계값 2.94를 초과하면 AGG가 발생한 것으로 판단하였다. 대부분의 조건에서 실제조직과 GAN 생성 이미지의 AGG 발생 여부가 일치하였다.
Al강의 2차 가열 1050 °C 조건에선 실제 관찰된 이미지와 GAN 모델로 생성된 이미지 모두 AGG가 발생함을 알 수 있다. Al강의 2차 가열
1150 °C 조건에서는 GAN 모델로 생성된 이미지에서 AGG가 나타났으나 실제 조직에서는 AGG가 발생하지 않았다. 해당 조건에서 계산된 pinning
pressure는 0.151 MPa로, 960 °C 조건에서 Al강의 2차가열 1050 °C, 1200 °C에서 계산된 pinning pressure
값인 0.164 MPa, 0.131 MPa와 유사한 수준이다. Al강의 2차 가열 1150 °C 조건은 Razzak 매핑 상에서 AGG 초기 단계에
해당하는 영역 5에 위치한다. 이는 실제 (Ti,Nb)(C,N) 석출상의 형상에 따라 pinning 효과가 계산 과정에서 충분히 반영되지 못한 데에서
기인한 것으로 판단된다[42,52]. 또한 AGG 초기 영역에서는 pinning pressure와 석출물 분포의 미세한 차이에 따라 AGG 발생 여부가 민감하게 변화할 수 있다. 이러한
특성들과 제한된 학습 데이터 수가 복합적으로 작용하여 해당 조건에서 미세조직 예측 정확도가 저하된 것으로 판단된다. 그러나 이를 제외한 모든 조건에서는
관찰된 이미지와 생성된 이미지에서 AGG 발생 여부가 모두 일치하는 모습을 확인하였다.
Fig. 12. Comparison between the experimentally observed microstructure image (left,
EXP) and the GAN-generated microstructure image (right, GAN) for different 2nd temperatures
at a fixed 3rd temperature of 960 ℃.
그림 13은 본 연구에서 사용한 GAN 모델의 성능을 정량적으로 평가하기 위해 수행한 FID 평가 결과이다. FID 값은 생성된 이미지와 실제 이미지간의 데이터
특징 분포 차이를 정량화한 지표로서 값이 낮을수록 생성 이미지가 실제 미세조직을 잘 학습하였음을 의미한다. 기존 문헌에서 미세조직 이미지를 GAN으로
생성한 연구들은 다양한 FID값을 보고하고 있다. Muñoz-Rodenas[53]은 FID값으로 456, 687, 1124를 보고하였으며 Amano[54]은 56, 62, 115, 143의 값을 제시하였다. 이들의 FID값은 최소와 최대의 차이가 약 2~3배 정도로 넓은 범위를 보인다. 반면 Phan[55]은 217, 252, 267의 비교적 유사한 수준의 FID 값을 보고한 바 있다. 이러한 결과는 미세조직의 복잡성과 이미지 생성 난이도에 따라 FID값의
분포가 매우 넓게 나타날 수 있음을 보여준다. 본 연구에서 NGG 구간의 평균 FID값은 172.3으로 나타났다. 반면 AGG 이후 구간의 평균 FID
값은 285.9로 NGG 대비 약 66% 높은 값을 보였다. 이는 AGG 조건에서 석출물 분포의 불균일성이 증가하고 결정립 크기 분포가 크게 변화하면서
이미지 학습이 상대적으로 어려웠음으로 판단된다. 이러한 결과에도 불구하고 본 연구에서 얻어진 FID 값은 선행 연구에서 보고된 평균 FID 값인 337.2보다
낮은 값을 가진다. 따라서 본 연구의 GAN 모델은 Nb, Ti 미세합금강의 고온침탄 열처리 온도에서 예측 정확도가 상대적으로 신뢰할 수 있는 수준임을
확인하였다.
Fig. 13. FID scores of the GAN-generated microstructure images compared with literature
values.
추가로 본 연구의 GAN 모델은 SCR420H 미세합금강과 본문에서 제시한 2차 및 3차 가열 조건 범위 내의 미세조직 이미지를 학습한 결과이다.
따라서 본 모델은 동일 강종의 유사한 열처리 조건에서의 결정립 성장 거동 예측에 유효하며, 다른 합금계 또는 상이한 공정에 대한 직접적인 예측에는
한계가 있다. 향후 연구에서는 합금 조성 변수와 침탄 특성 등을 조건 벡터로 추가하고, 다양한 합금계와 열처리 조건을 포함한 데이터셋을 구축함으로써
모델의 일반화 성능을 향상시킬 필요가 있다.
4. 결 론
본 연구에서는 Al, AlNb, AlTi 미세합금강을 대상으로 열역학 계산과 결정립 크기 측정을 통해 AGG 거동을 분석하였다. 더불어 GAN 모델을
사용해 조건부 결정립 이미지를 생성하고 검증하였으며 최종적으로 GCT값을 평가하였다. 본 연구의 주요 결과는 다음과 같은 결론을 도출하였다.
AlTi강은 (Ti,Nb)(C,N)석출상이 고온까지 안정적으로 존재하여 약 0.1 MPa 이상의 pinning pressure가 유지되었고, 그 결과
GCT는 Al강 → AlNb강 → AlTi강 순으로 증가하였다. 2차 가열 온도가 높을수록 고용, 재석출 과정을 통해 미세하고 균일한 석출물이 형성되어
GCT는 최대 1060 °C까지 증가하였다.
열역학 계산을 통해 얻은 상분율 및 pinning pressure 값과 AGG 수식을 결합하여 AGG 거동을 확인하는 방법을 제시하였다. 고온 영역에서
Novikov가 제안한 수식으로 구한 GCT와 새롭게 제안한 계산법으로 구한 GCT가 유사함을 확인하였다. 새로 제안된 계산 방법이 GCT 예측뿐만
아니라 기존 Novikov가 제안한 수식으로는 설명이 어려운 결정립 성장 거동 분석이 가능함을 확인하였다.
실험으로 관찰된 결정립 이미지를 학습하여 구축된 GAN 모델이 AGG 유무를 판별할 수 있는 수준의 결정립 이미지를 성공적으로 재현하였으며 NGG/AGG
구간의 FID 값은 선행 연구 수준으로 양호한 학습 성능을 보였다.
감사의 글
이 논문은 2025년도 정부(산업통상자원부)의 재원으로 한국산업기술진흥원의 지원을 받아 수행된 연구임 (RS-2024-00410332, 2025년
산업혁신인재성장지원사업).
REFERENCES
Liu Y., Wang M. Q., Shi J., Hui W. J., Fan G., Dong H., Int. J. Fatigue, 31, 292 (2009)

Heuer V., Loeser K., Schmitt G., Proc. AGMA Fall Technical Meeting, Paper No. 15FTM02,
American Gear Manufacturers Association (2015)

Yang Y. H., Wang M. Q., Chen J. C., Dong H., J. Iron Steel Res. Int., 20, 140 (2013)

Alogab K. A., Matlock D. K., Speer J. G., Kleebe H. J., ISIJ Int., 47, 307 (2007)

Chapa M., Medina S. F., López V., Fernández B., ISIJ Int., 42, 1288 (2002)

Saito G., Sakaguchi N., Matsuura K., Sano T., Yamaoka T., ISIJ Int., 63, 727 (2023)

Gong S., Su L., Wang F., Metall. Mater. Trans. A, 55, 910 (2024)

Enloe C. M., Findley K. O., Speer J. G., Metall. Mater. Trans. A, 46, 5308 (2015)

Gutiérrez N. Z., Luppo M. I., Danón C. A., ISIJ Int., 47, 1178 (2007)

Lagneborg R., Hutchinson B., Siwecki T., Zajac S., The Role of Vanadium in Microalloyed
Steels, 5, Swerea KIMAB (2014)

Wang S.-C., Mater. Sci. Eng. A, 145, 87 (1991)

Buchmayr B., Steel Res. Int., 87, 1700182 (2017)

Novikov V. Y., Scr. Mater., 37, 463 (1997)

Mohseni M., Eivani A. R., Vafaeenezhad H., Jafarian H. R., Salehi M. T., Zhou J.,
J. Mater. Res. Technol., 15, 3585 (2021)

Shirdel M., Mirzadeh H., Parsa M. H., Mater. Charact., 97, 11 (2014)

Luo H. W., Dong H., Chen L. F., Mater. Sci. Forum, 753, 345 (2013)

Kim J. M., Hong S. Y., Jang J. H., Lee K. J., Mater. Sci. Forum, 879, 921 (2017)

Gladman T., Proc. R. Soc. Lond. A, 294, 298 (1966)

Hillert M., Acta Metall., 13, 227 (1965)

Manohar P. A., Dunne P. D., Chandra T., Killmore C. R., ISIJ Int., 36, 194 (1996)

Hannerz N. E., Kazinczy F. D. E., J. Iron Steel Inst., 208, 475 (1970)

Zhao J., Lee H., Kim Y. W., Jiang Z., Lee C. S., Mater. Sci. Eng. A, 559, 427 (2013)

Saito G., Sakaguchi N., Ohno M., Matsuura K., Takeuchi T., Sano T., Yamaoka T., ISIJ
Int., 60, 2549 (2020)

Wada H., Pehlke R. D., Metall. Trans. B, 16, 815 (1985)

Shan Y., Luo X., Hu X., Liu S., J. Mater. Sci. Technol., 27, 352 (2011)

Kim J. M., Min G., Shim J.-H., Lee K. J., Metals Mater. Int., 24, 549 (2018)

Park B. C., Kim S.-D., Park I., Shin J.-H., Jang J. H., Kang N., Metals Mater. Int.,
30, 3311 (2024)

Jeon J., Kim D., Hong J. H., Kim H. J., Lee S. J., Korean J. Met. Mater., 60, 713
(2022)

Jung J. H, Kim H. S., Korean J. Met. Mater., 61, 379 (2023)

Kim H. A., Park S., Korean J. Met. Mater., 63, 568 (2025)

Park T. J., Lee G. W., Kim J. I., Nahm S., Oh Y. S., Korean J. Met. Mater., 63, 997
(2025)

Jung D. H., Oh W. J., Kyeong J. S., Lee S. J., Mater. Trans., 64, 2191 (2023)

Lee C. W., Lee S. J., Kim I., Kim J., Int. J. Precis. Eng. Manuf., 25, 687 (2024)

Lee H. J., Jung J., Oh S., Kim D. K., Kim J. H., Lee H. W., Korean J. Met. Mater.,
63, 542 (2025)

Anantatamukala A., Krishna K. V. M., Dahotre N. B., Mater. Charact., 206, 113396 (2023)

Tsutsui K., Hayashi K., Moriguchi K., Morito S., Terasaki H., Mater. Trans., 66, 941
(2025)

Lambard G., Yamazaki K., Demura M., Sci. Rep., 13, 566 (2023)

Razzak M. A., Perez M., Sourmail T., Cazottes S., Frotey M., ISIJ Int., 52, 2278 (2012)

ASTM E112-13, Standard Test Methods for Determining Average Grain Size, 1-3, ASTM
Int. (2021)

MatCalc 5.61, The Materials Calculator

Smith C. S., Trans. AIME, 175, 15 (1948)

Ringer S. P., Li W. B., Easterling K. E., Acta Metall., 37, 831 (1989)

Goodfellow I., Pouget-Abadie J., Mirza M., Xu B., Warde-Farley D., Ozair S., Courville
A., Bengio Y., Commun. ACM, 63, 139 (2020)

Lindernoren E., PyTorch-GAN (2025)

Jahmadee M., Conditional DCGAN (2025)

Moon I. Y., Yu J., Jeong H. W., Lee H. W., Kim S. J., Oh Y. S., Jung J., Oh S., Kang
S. H., Mater. Sci. Eng. A, 854, 143852 (2022)

Radford A., Metz L., Chintala S., Unsupervised Representation Learning with Deep Convolutional
Generative Adversarial Networks (2015)

Iyer A., Dey B., Dasgupta A., Chen W., Chakraborty A., A Conditional Generative Model
for Predicting Material Microstructures from Processing Methods (2019)

Lee J. W., Goo N. H., Park W. B., Pyo M., Sohn K. S., Eng. Rep., 3, e12274 (2021)

Heusel M., Ramsauer H., Unterthiner T., Nessler B., Hochreiter S., Adv. Neural Inf.
Process. Syst., 30, 6626 (2017)

Kim S., Choi J., Kim M., Ryu M., Park J., Sin J., Shin W., Kim M., Jung J. G., Lee
S. J., J. Korean Soc. Heat Treat., 37, 155 (2024)

Choi J., Kim S., Kim M., Park J., Sin J., Ryu M., Shin W., Kim M., Lee S. J., Jung
J. G., J. Korean Soc. Heat Treat., 37, 163 (2024)

Muñoz-Rodenas J., García-Sevilla F., Miguel-Eguía V., Coello-Sobrino J., Martínez-Martínez
A., Appl. Sci., 14, 6489 (2024)

Amano N., Mikmeková A., Britz M., Seibert J., Körner C., Mater. Charact., 220, 114600
(2025)

Phan J., Sarmad M., Ruspini L., Kiss G., Lindseth F., Sci. Rep., 14, 6498 (2024)
