The Journal of
the Korean Journal of Metals and Materials

The Journal of
the Korean Journal of Metals and Materials

Monthly
  • pISSN : 1738-8228
  • eISSN : 2288-8241

Editorial Office





ZnO nanostructures, Au nanoparticles, Metal-organic framework, Gas sensor, Heterojunction

1. INTRODUCTION

H2S is a highly toxic, flammable gas that poses severe risks to the environment and human health, even at trace concentrations. Occupational safety guidelines state that exposure to H2S levels above 10 ppm can cause serious health issues [1-3], including respiratory paralysis, neurological disorders, and, in extreme cases, sudden death. The presence of H2S in industries, such as petrochemical processing, sewage treatment, mining, and natural gas extraction, necessitates continuous monitoring for accident prevention and regulatory compliance [4-6]. Therefore, the development of highly sensitive, reliable H2S sensors exhibiting fast response and high selectivity has become a major priority.

Chemiresistive gas sensors, based on semiconducting metal oxides (SMOs), have garnered significant attention owing to their low cost, simple device architecture, and suitability for integration into portable, wireless monitoring systems [7-9]. Among various SMOs, ZnO, a wide bandgap (~3.2 eV) [10] n-type semiconductor, has been extensively explored owing to its tunable morphology, chemical stability, and surface reactivity [11,12]. However, pristine ZnO exhibits inherent limitations, including moderate sensitivity and poor selectivity toward H2S, as well as the need for high operating temperatures (> 200 °C), thus increasing power consumption and decreasing long-term stability [13,14].

Noble metal functionalization has emerged as an effective strategy to overcome these limitations and improve gas sensing performance. Incorporating Au nanoparticles onto ZnO introduces abundant catalytic sites and generates Au-ZnO Schottky junctions that facilitate charge transfer and modulate the surface depletion layer [15-17]. Additionally, Au decoration is known to promote the spillover of dissociated H2S species, accelerating reaction kinetics and amplifying sensor response [16,17]. Recent studies have reported substantially high H2S sensitivities of Au-functionalized ZnO [18], SnO2 [19], and WO3 [20] systems; however, challenges remain regarding selectivity against interfering gases (e.g., NO2, NH3, and volatile organics) and reproducibility under varying temperature conditions [21-23].

In addition to surface decoration, the structural design of ZnO influences sensor performance. Conventional synthesis methods often yield dense morphologies with small surface areas and a low density of active sites. Recently, the use of metal-organic frameworks (MOFs) as sacrificial templates for metal oxide synthesis has attracted considerable attention in gas sensing research [23-27]. MOFs, owing to their high surface area and well-defined porous structures, can be thermally converted into nanostructured oxides containing abundant active sites and enhanced charge transport pathways [28-30]. For instance, Montoro et al. [31] reported that MOF-derived CuO, NiO, and ZnO exhibit excellent selectivity toward H2S, CO, and H2 gases, respectively, with substantially improved sensing capabilities relative to the pristine MOF precursors. Furthermore, Ullah et al. [32] demonstrated that zeolitic imidazolate framework (ZIF)-67-derived Co3O4 coupled with g-C3N4 nanosheets afforded parts per billion-level NO2 detection at room temperature. In another notable study, Guo et al. [33] developed a hierarchical porous ZIF-67-derived Co3O4/In2O3 heterostructure, exhibiting ultra-sensitive and selective acetone sensing performance. These findings highlight that MOF-assisted synthesis strategies are a promising route toward designing next-generation chemiresistive gas sensors with high sensitivity and selectivity. In this study, we report on the rational design of MOF-derived Au-ZnO nanostructures for ultrasensitive and selective H2S detection. ZIF-8 was employed as a precursor for synthesizing porous ZnO with a large surface area, followed by Au decoration with controlled loading amounts. The optimized Au-ZnO 2 sensor demonstrated an extraordinary response of ~419 at 10 ppm H2S at 200 °C, which is nearly two orders of magnitude higher than that obtained using pristine ZnO. Importantly, the sensor exhibited reliable sub-ppm-level detection down to 0.2 ppm, excellent selectivity against common interfering gases, and fast response and recovery dynamics. Moreover, comprehensive characterization via X-ray diffraction (XRD), scanning electron microscopy (SEM), transmission electron microscopy (TEM), and X-ray photoelectron spectroscopy (XPS) was used to elucidate the synergistic roles of Au catalytic activity, spillover effect, oxygen vacancy modulation, and Schottky barrier formation in imparting excellent sensing behavior.

2. EXPERIMENTAL

2.1 Materials

Zn(NO3)2·6H2O (≥99.0%), 2-methylimidazole (99%), and HAuCl4·3H2O (≥99.9%) were used as metal and ligand precursors. Methanol (≥99.9%, high-performance liquid chromatography grade) was used as the solvent during synthesis, and hydrazine hydrate (50–60%) served as the reducing agent for Au nanoparticle deposition. All chemicals were purchased from Sigma-Aldrich (Germany) and were of analytical grade; they were used without further purification. Moreover, deionized water was employed as the solvent for all water-based processes.

2.2. Synthesizing MOF-derived ZnO

ZIF-8 was synthesized via a solution-based method. First, 0.03 mol of Zn(NO3)2·6H2O was dissolved in 250 mL of methanol and stirred for 30 min (solution A). Separately, 0.06 mol of 2-methylimidazole was dissolved in 250 mL of methanol and stirred for 30 min (solution B).

Solution B was added to solution A and stirred for an additional 30 min. The resulting mixture was then left at room temperature for 24 h to crystallize. The obtained white precipitate was washed three times with methanol and subsequently dried at 70 °C for 12 h. The dried ZIF-8 powder was collected and placed in an alumina boat and calcined at 500 °C for 3 h in a tubular furnace in air at a heating rate of 3 °C/min. The final product obtained was MOF-derived ZnO.

2.3. Synthesizing Au-ZnO

To prepare Au-ZnO, 0.1 g of ZnO powder was dispersed in 10 mL of deionized water via sonication for 30 min. Subsequently, various weights of HAuCl4·3H2O (0.04–0.09 g) were added to the dispersion, and the mixture was stirred for 2 h to facilitate the adsorption of Au precursors onto the ZnO surface. The resulting solid was washed five times with deionized water to remove any unbound species. The washed precipitate was subsequently redispersed in 20 mL of deionized water, followed by the addition of hydrazine hydrate (0.2–0.4 mL). The mixture was stirred for an additional 2 h to reduce Au3+. After the reaction, the purple-colored product obtained was washed twice with deionized water and subsequently dried at 70 °C for 12 h to yield the Au-ZnO nanostructures. To simplify notations, the undecorated sample is henceforth referred to as ZnO, and the Au-decorated samples are named Au-ZnO 1, Au-ZnO 2, and Au-ZnO 3. To control the Au loading, three samples were prepared using HAuCl4·3H2O precursor concentrations of 0.5, 1.0, and 2.0 mM, which were designated as Au-ZnO 1, Au-ZnO 2, and Au-ZnO 3, respectively. These precursor levels correspond to actual Au contents of approximately 0.32, 0.97, and 1.84 wt%. The obtained powders were washed and dried before further characterization.

2.4. Materials characterization

The morphologies of the nanostructures were examined using field-emission SEM (Regulus 8220, Hitach Ltd., Tokyo, Japan) and TEM (Talos F200X, Thermo Fisher Scientific, USA). Elemental compositions and distributions were analyzed via energy-dispersive X-ray spectroscopy (EDS) and high-angle annular dark-field scanning TEM. The crystal structures and phases of the samples were identified via XRD (Empyrean, Panalytical, Netherlands), and the surface chemical states were investigated via XPS (NEXSA, Thermo Fisher Scientific, USA).

2.5. Gas sensing measurements

The synthesized nanostructures were dispersed in deionized water and drop-cast onto an alumina substrate with Au electrodes. After drying, the sensor was placed in a test chamber, in which target gases were introduced by mixing high-purity gases with synthetic air using mass flow controllers. The total flow rate was fixed at 500 sccm.

The electrical resistances of the sensors were recorded under ambient air (Ra) and target gas (Rg) conditions. The sensor responses were defined as Rg/Ra and Ra/Rg corresponding to oxidizing and reducing gases, respectively. Each sensing cycle involved 500 s of exposure to the target gas, followed by 1000 s of recovery in air. Response and recovery times were defined as the times required for the resistance to reach 90% of the final value after gas exposure and for the resistance to return to 90% of the baseline value after gas removal, respectively.

3. RESULTS AND DISCUSSION

3.1. Morphological and chemical studies

The XRD patterns of the pristine ZnO and Au-ZnO nanostructures are shown in Figure 1. All samples yielded sharp diffraction peaks at 2θ ≈ 31.7°, 34.4°, and 36.2°, corresponding to the (100), (002), and (101) planes of wurtzite ZnO (JCPDS No. 36-1451), respectively, confirming that the samples were highly crystalline. Additional peaks were detected at 38.2° and 44.4° in the XRD patterns of the Au-decorated samples, assignable to the Au (111) and Au (200) planes, respectively, indicating the successful incorporation of metallic Au nanoparticles. Interestingly, the relative intensity of the Au (111) to ZnO (101) reflections increased with the increase in Au loading, suggesting that Au decoration slightly perturbed the ZnO crystallite orientation.

SEM analysis (Figure 2) revealed that pristine ZnO contained porous aggregates with a uniform morphology, a characteristic inherited from the ZIF-8 precursor. Au decoration increased surface roughness and introduced nanoscale particulates owing to the nucleation of Au nanoparticles. Figure 3ac compares the surface morphologies of ZnO and Au-ZnO composites.

While the pristine ZnO (Figure 3a) exhibits smooth hexagonal facets, Au decoration induces a progressive increase in surface roughness and particle density (Figures 3bc). In particular, the Au-ZnO 2 sample (Figure 3c) shows densely decorated nanoparticles on the ZnO surface, indicating that moderate Au loading promotes uniform dispersion without agglomeration. These morphological changes are consistent with the TEM and elemental mapping results (Figures 3dk), confirming that Au nanoparticles are anchored on the ZnO surface and contribute to enhanced surface area and reactivity. All SEM and TEM micrographs presented in this work include clearly visible scale bars.

Figure 4a shows the XPS survey spectra of pristine ZnO and Au-ZnO composites, confirming the presence of Zn, O, and Au without any extraneous elements. Figure 4bd present the Zn 2p spectra, in which the 2p3/2 and 2p1/2 peaks located at 1021.6 eV and 1044.7 eV correspond to the Zn²⁺ oxidation state of wurtzite ZnO. Figure 4eg displays the O 1s spectra deconvoluted into lattice oxygen (O_latt ≈ 530.1 eV) and chemisorbed/vacancy-related components (O_ads ≈ 531.5 eV). The O_latt fraction shows the most pronounced increase after Au decoration, whereas changes in O_ads and O_v are relatively minor, indicating slight surface re-oxidation while retaining sufficient reactive sites for gas adsorption. Figure 4h shows the Au 4f spectrum of the Au-ZnO 2 sample, exhibiting two main peaks at ~84.0 eV (Au 4f7/2) and ~87.7 eV (Au 4f5/2), characteristic of metallic Au⁰ [34]. A weak shoulder near 84.5 eV indicates minor Zn–Au interfacial bonding and partial charge transfer. Figure 4i summarizes the quantitative O_ads/O_latt ratios and Au atomic fractions from XPS fitting, confirming successful Au reduction and surface modification after Au incorporation.

3.2. Gas sensing studies

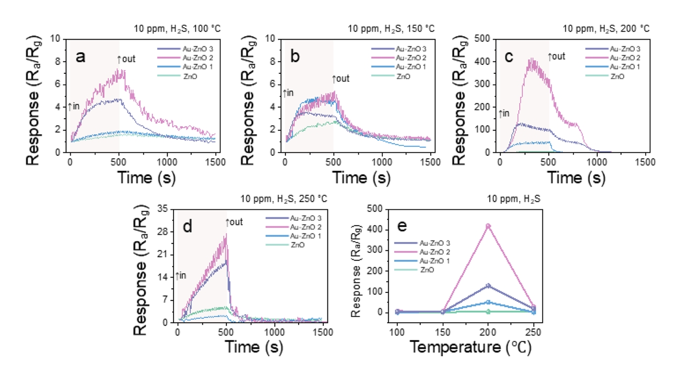
The chemiresistive sensing performances of the pristine ZnO and Au-ZnO nanostructures were systematically evaluated under H2S exposure (Figure 5). As listed in Table 1, pristine ZnO exhibits only a moderate response of 4.84 (Ra/Rg) at 10 ppm H2S and 200 °C, reflecting the low density of active oxygen species and the sluggish reaction kinetics. In contrast, Au decoration dramatically increased the responses of the samples. Specifically, Au-ZnO 2 achieved an extraordinary response of 419.1 under the same conditions; this response is nearly two orders of magnitude higher than that obtained from pristine ZnO and far exceeding those obtained from Au-ZnO 1 (50.6) and Au-ZnO 3 (130.4). This observation clearly indicates that an optimum Au loading exists that maximizes catalytic activity and interfacial electronic sensitization while avoiding excessive particle aggregation or site blocking that can occur at high Au concentrations. The data summarized in Table 1 show that the sensing responses of all samples increase with operating temperature and reach a maximum at 200 °C, where Au-ZnO 2 exhibits the highest response among the series, confirming its optimal Au loading and catalytic activation.

The concentration-dependent behavior of Au-ZnO 2 revealed a unique dual-regime trend. At low H2S levels (< 6 ppm), the response increased exponentially with the increase in H2S concentration, consistent with catalyst-dominated amplification, in which the presence of abundant Au active sites and oxygen vacancies enables efficient adsorption and rapid spillover reactions. At high H2S levels (> 6 ppm), the response transitioned into a quasi-linear regime, indicative of Langmuir-type adsorption kinetics, in which surface saturation began to dominate. This dual behavior clarifies the underlying surface chemistry and demonstrates the sensor’s ability to maintain proportionality in its response across both trace and high concentrations of the target gas, a feature highly desirable in real-world monitoring systems.

The concentration-dependent behavior listed in Table 2 shows a clear transition from an exponential increase at low H2S levels to a quasi-linear regime at higher concentrations, highlighting the dual-regime adsorption kinetics that govern the sensing process.

The dynamic resistance profiles of Au-ZnO 2 further confirmed its superior performance. At 1 ppm H2S and 200 °C, the device displayed response and recovery times of 472 s and 345 s, respectively (Table 3), while still delivering reproducible signals at H2S concentrations as low as 0.2 ppm. Such sub-ppm detection capabilities highlight the utility of the MOF-derived architecture and noble-metal-assisted surface reactions in achieving ultrasensitive gas detection. Importantly, repeated sensing cycles yielded negligible signal degradation and baseline drift, confirming the robustness of the heterostructure under prolonged operation. The results presented in Table 3 further show that both the response and recovery times of Au-ZnO 2 decrease gradually with increasing H2S concentration, indicating accelerated surface reaction dynamics and efficient charge transfer under higher analyte exposure.

Selectivity is another critical requirement for practical gas sensors, as cross-sensitivity to interfering gases often reduces reliability in complex environments. To address this, we examined the response of Au-ZnO 2 to a range of common interfering gases, including NO2, H2, NH3, C2H5OH, C6H6, and C7H8 (each at 10 ppm and 200 °C). The results (Figure 6) revealed that the sensor exhibited considerably higher response to H2S than to all other analytes, for which negligible responses were observed. This exceptional selectivity is attributable to the strong affinity of H2S for Au catalytic sites, coupled with its facile dissociation pathway, unlike in the case of other gases [16,34]. The unique interaction of H2S with surface oxygen species in the presence of Au further amplified this selective behavior [17,35].

Overall, these results demonstrated that Au-ZnO 2 exhibited ultrahigh sensitivity, with a record response of 419.1 at 10 ppm of H2S and achieved reliable sub-ppm detection, fast dynamics, and excellent selectivity. These characteristics suggest that MOF-derived Au-ZnO can be used as a promising next-generation sensing platform, capable of satisfying stringent industrial and environmental monitoring requirements.

3.3. Gas sensing mechanism

3.3.1 Catalytic effect of Au nanoparticles

Before introducing the catalytic mechanism of Au, it should be noted that pristine ZnO itself exhibits poor sensitivity toward H2S owing to its limited surface reactivity and slow redox kinetics [13,14]. The enhanced H2S sensing performance of the Au-ZnO composites mainly originates from the catalytic activation of Au nanoparticles [36,37]. As illustrated in Figure 7a, Au acts as an active site for the dissociative adsorption of H2S into HS⁻ and S species [19,35]. These intermediates form Au–S bonds and subsequently migrate to the ZnO surface, where they react with pre-adsorbed oxygen ions (O_ads) to release electrons into the conduction band [38-40]. This spillover-driven catalytic process lowers the activation barrier and accelerates surface redox kinetics, yielding a pronounced response enhancement at 200 °C. Figure 7b schematically depicts this Au-assisted dissociative adsorption and spillover reaction on the ZnO framework.

3.3.2 Schottky barrier and charge transfer

In addition to catalytic effects, the work-function difference between ZnO (φ ≈ 4.3 eV) and Au (φ ≈ 5.1 eV) induces a Schottky junction at their interface [18,41,42]. In air, electrons transfer from ZnO to Au until Fermi-level equilibrium is achieved, leading to upward band bending and formation of an electron-depletion layer. During H2S exposure, reaction-released electrons lower the barrier height and consequently reduce the sensor resistance [43,44]. This modulation of interfacial charge transport accounts for the large and reversible resistance variation observed for Au-ZnO 2. The corresponding band-structure evolution during gas exposure is illustrated in Figure 7c, showing how electron transfer and barrier modulation drive the high sensitivity.

3.3.3 Role of oxygen vacancies and adsorbed oxygen

Oxygen vacancies (O_v) and chemisorbed oxygen species (O_ads) also play essential roles in sustaining surface reactivity and charge equilibrium. A moderate O_v concentration facilitates adsorption of reactive oxygen without excessive carrier trapping, while Au decoration stabilizes these oxygen-related states, as supported by the O 1s XPS spectra (Figure 4c). These surface oxygen defects promote efficient electron exchange between ZnO and Au, synergistically reinforcing catalytic activation and electronic sensitization. Figure 7d schematically summarizes this combined mechanism, in which Au catalysis, Schottky-barrier modulation, and oxygen-defect chemistry collectively yield the enhanced response, selectivity, and reversibility of the Au-ZnO sensors.

5. CONCLUSIONS

In this study, MOF-derived Au-ZnO nanostructures were successfully synthesized using ZIF-8 as a sacrificial template, and the samples were subsequently investigated as highly efficient chemiresistive gas sensors for H2S detection. The combination of a porous ZnO framework and optimally loaded Au nanoparticles remarkably enhanced sensing performance relative to pristine ZnO. In particular, Au-ZnO 2 exhibited an extraordinary response of ~419.1 to 10 ppm of H2S at 200 °C, nearly two orders of magnitude higher than that obtained using bare ZnO. Furthermore, the sensor reliably detected sub-ppm H2S concentrations down to 0.2 ppm and exhibited reproducible response-recovery cycles and negligible signal drift.

Comprehensive structural and surface analyses confirmed that Au nanoparticles were uniformly anchored on the ZnO surface and established strong interfacial coupling. This dual modification, i.e., structural porosity obtained from the MOF precursor and electronic sensitization obtained from Au decoration, was demonstrated to enrich oxygen vacancies, increase chemisorbed oxygen content, and generate Schottky junctions at the Au-ZnO interfaces. These features collectively enabled the rapid catalytic dissociation of H2S, accelerated spillover reactions, and amplified charge transfer across the heterointerface. The observed exponential-to-linear transition in the concentration-dependent response further highlights the dual-regime adsorption kinetics governed by catalytic amplification at trace H2S levels and Langmuir-type site saturation at high H2S concentrations.

Importantly, the Au-ZnO 2 sensor displayed excellent selectivity against common interfering gases, such as NO2, NH3, H2, and volatile organics, underscoring the reliability of the sensor for operation in complex environments. Benchmarking with recent high-impact studies revealed that the performance of Au-ZnO 2 is competitive, surpassing many state-of-the-art H2S sensors in terms of response magnitude, sub-ppm sensitivity, and operational stability.

Overall, this study demonstrates a rational design strategy that integrates MOF-derived pore formation with noble-metal functionalization to produce ultrasensitive, selective, and stable gas sensors. The combined effect of catalytic activity, interfacial charge modulation, and defect chemistry provides clear guidelines for advancing next generation chemiresistive sensors. In addition to H2S detection, the proposed approach can be used to detect other hazardous gases and scaled for application in industrial monitoring systems, facilitating practical applications in environmental safety and occupational health.

Notes

[1] ACKNOWLEDGEMENT

The manuscript was written through contributions of all authors. All authors have given approval to the final version of the manuscript.

REFERENCES

1 
Kim H.-J., Lee J.-H., Sens. Actuator A-Phys,192, 607 (2014)Google Search
2 
Guidotti T.L., Int. J. Toxicol,29, 569 (2010)Google Search
3 
Batterman S., Grant-Alfieri A., Seo S.-H., Crit. Rev. Toxicol,53, 244 (2023)Google Search
4 
Kim C., Ye S.W., Shin J., Park J., Lee S.H., Huh J.-S., Mirzaei A., Roh J.W., Choi M.S., Korean J. Met. Mater,62, 963 (2024)Google Search
5 
Bai H., Feng C., Chen Y., Yan Y., Feng Y., Liu K., Zhang B., Wang J., Chen D., Zheng Y., Guo F., Sens. Actuator A-Phys,420, 136468 (2024)Google Search
6 
Tang L., Wang H., Du Z., Zhu C., Ma C., Zeng D., ACS Appl. Nano Mater,7, 5442 (2024)Google Search
7 
Park J., Chaulagain D., Ngando Same N., Yakub A.O., Lim J.O., Roh J.W., Huh J.S., Sens. Actuator A-Phys,425, 136958 (2025)Google Search
8 
Khomarloo N., Mohsenzadeh E., Gidik H., Bagherzadeh R., Latifi M., Rsc Adv,14, 7806 (2024)Google Search
9 
Gao J., Fan S., Han L., Hua Z., Sens. Actuator A-Phys,443, 138300 (2025)Google Search
10 
Huynh H.N.D., Nguyen B.G.M., Dinh T.M., Nguyen N.M., Tran C.K., Nguyen T.T., Tran N.H.T., La H.P.P., Tran T.T.V., Duy L.T., Phan T.B., Dang V.Q., ACS Appl. Electron. Mater,6, 1894 (2024)Google Search
11 
Hjiri M., Algessair S., Dhahri R., Albargi H.B., Ben Mansour N., Assadi A.A., Neri G., Rsc Adv,14, 5001 (2024)Google Search
12 
Ansari A.A., Lv R., Gai S., Parchur A.K., Solanki P.R., Ansari Z.A., Dhayal M., Yang P., Nazeeruddin M.K., Tavakoli M.M., Coord. Chem. Rev,515, 215942 (2024)Google Search
13 
Wei X., Yang X., Guo Y., Liu Y., Wang L., Wang Q., Cheng L., Jiao Z., Appl. Surf. Sci,678, 161138 (2024)Google Search
14 
Kathwate L.H., Chandak V.S., Mane Y.S., Lokhande S.D., Awale M.B., Kanwate A.D., Ceram. Int,51, 29146 (2025)Google Search
15 
Wan Y., Liu Y., Huang Y., Zhao L., Lu H.-L., Gao L., Sens. Actuator A-Phys,444, 138521 (2025)Google Search
16 
Shin J., Choi S.-W., Kim C., Park J., Roh J.W., Hwang J.Y., Mirzaei A., Jin C., Choi M.S., J. Alloy. Compd,1021, 179655 (2025)Google Search
17 
Xu M., Zhou Q., Kan Z., Yin S., Song Y., Shi X., Xu L., Chang Z., Sun H., Ceram. Int,49, 39917 (2023)Google Search
18 
Kaiser A., Mauritz T., Bansmann J., Biskupek J., Herr U., Thonke K., ACS Omega,9, 50188 (2024)Google Search
19 
Deb M., Lu C.-J., Zan H.-W., ACS Sens,9, 4568 (2024)Google Search
20 
Punginsang M., Zappa D., Comini E., Wisitsoraat A., Sberveglieri G., Ponzoni A., Liewhiran C., Appl. Surf. Sci,571, 151262 (2022)Google Search
21 
Meng F., Li G., Ji H., Yuan Z., Sens. Actuator A-Phys,423, 136747 (2025)Google Search
22 
Jin Z., Mou Y., Zhao J., Liu F., Liu L., Zhao D., Li S., Wang F., Liu J., Liu C., Wu L., J. Power Sources,624, 235545 (2024)Google Search
23 
Chandak V.S., Kathwate L.H., Kumbhar M.B., Kulal P.M., J. Ind. Eng. Chem,149, 397 (2025)Google Search
24 
Chen S., Duan X., Liu C., Liu S., Li P., Su D., Sun X., Guo Y., Chen W., Wang Z., J. Hazard. Mater,467, 133672 (2024)Google Search
25 
Wang X., Xu X., Zhou T., Zhang T., Sens. Actuator A-Phys,413, 135874 (2024)Google Search
26 
Yang C.-R., Cheng P.-W., Tseng S.-F., Sens. Actuator A-Phys,354, 114301 (2023)Google Search
27 
Nguyen M.V., Kim T.-U., Nguyen L.H.T., Mirzaei A., Pham A.T.T., Tran T.Q., Mai N.X.D., Tran N.Q., Kim Y., Phan T.B., Kim H.W., Kim S.S., Doan T.L.H., Sens. Actuator A-Phys,424, 136915 (2025)Google Search
28 
Majhi S.M., Kim J.-Y., Mirzaei A., Surya S.G., Kim H.W., Kim S.S., Sens. Actuator A-Phys,419, 136369 (2024)Google Search
29 
Hussain S., Wang S., Amu-Darko J.N.O., Begi A.N., Yusuf K., Ibrahim T.K., Iqbal A., Manavalan R.K., Zhang X., Qiao G., Sens. Actuator A-Phys,425, 136954 (2025)Google Search
30 
Maji B., Dash P., Sens. Actuator A-Phys,403, 135182 (2024)Google Search
31 
Montoro C., Kim J.-Y., Mirzaei A., Lee J.-H., Sayegh S., Makhoul E., Iatsunskyi I., Coy E., Bechelany M., Kim H.W., Kim S.S., Compos. Pt. B-Eng,283, 111637 (2024)Google Search
32 
Ullah M., Bai X., Chen J., Lv H., Liu Z., Zhang Y., Wang J., Sun B., Li L., Shi K., Colloid Surf. A-Physicochem. Eng. Asp,612, 125972 (2021)Google Search
33 
Guo R., Hou X., Shi C., Zhang W., Zhou Y., Sens. Actuator A-Phys,376, 132973 (2023)Google Search
34 
Abdel-Fattah E.M., Crystals,14, 890 (2024)Google Search
35 
Kato T., Tanaka T., Uchida K., ACS Sens,9, 708 (2024)Google Search
36 
Lee J.H., Kim J.Y., Nam M.S., Mirzaei A., Kim H.W., Kim S.S., Sens. Actuator B-Chem,375, 132868 (2023)Google Search
37 
Almoneef M.M., Awad M.A., Aldosari H.H., Hendi A.A., Aldehish H.A., Merghani N.M., Alshammari S.G., Heliyon,10, (2024)Google Search
38 
Wei Z., Song M., Wang H., Zhang Y., Zeng G., Kong M., Gong F., Liu J., Wei S., Adv. Energy Mater,15, 2501365 (2025)Google Search
39 
Kohantorabi M., Moussavi G., Oulego P., Giannakis S., Appl. Catal. B-Environ,301, 120786 (2022)Google Search
40 
Li P., Diao L., Liao X., Wang Z., Feng Y., Wei J., Nano Lett,25, 8243 (2025)Google Search
41 
Tomić M., Claros M., Gràcia I., Figueras E., ané C., Vallejos S., Sensors,21, 4509 (2021)Google Search
42 
Kim J., Yun J.-H., Kim C.H., Park Y.C., Woo J.Y., Park J., Lee J.-H., Yi J., Han C.-S., Nanotechnology,21, 115205 (2010)Google Search
43 
Kumar R.R., Murugesan T., Dash A., Hsu C.-H., Gupta S., Manikandan A., Anbalagan A.k., Lee C.-H., Tai N.-H., Chueh Y. L., Lin H.-N., Appl. Surf. Sci,536, 147933 (2021)Google Search
44 
Li H., Wen C., Zhang Y., Wu D., Zhang S.-L., Qiu Z.-J., Sci Rep,6, 21313 (2016)Google Search

Figures and Tables

Fig. 1.

(a) XRD patterns of pristine ZnO and the Au-ZnO samples, showing wurtzite ZnO peaks (JCPDS No. 36-1451) and additional Au (111) reflections (JCPDS No. 04-0784). (b) Enlarged view of the ZnO (101) and Au (111) peaks with increasing Au loading. (c) Intensity ratio, IZnO(101)/IAu(111), as a function of Au content.

../../Resources/kim/KJMM.2025.63/kjmm-2025-63-12-986f1.jpg
Fig. 2.

SEM images of (a) pristine ZnO and (b-d) Au-ZnO (1–3), revealing a porous ZnO morphology and increasing Au nanoparticle decoration with the increase in Au loading.

../../Resources/kim/KJMM.2025.63/kjmm-2025-63-12-986f2.jpg
Fig. 3.

Morphological and structural characteristics of pristine ZnO and Au-ZnO composites. (a–c) SEM images of pristine ZnO, Au-ZnO 1, and Au-ZnO 2 showing hexagonal nanostructures and increased surface roughness after Au decoration. (d–f) TEM and HR-TEM images confirm that Au nanoparticles (3–6 nm) are uniformly anchored on the ZnO surface. (g) SAED pattern indicating polycrystalline nature of Au-ZnO. (h–j) Elemental mapping images of Zn, O, and Au showing homogeneous distribution of Au nanoparticles. (k) EDS spectra and quantified Au contents (0.32, 0.97, and 1.84 wt% for Au-ZnO 1–3).

../../Resources/kim/KJMM.2025.63/kjmm-2025-63-12-986f3.jpg
Fig. 4.

X-ray photoelectron spectroscopy (XPS) analysis of pristine ZnO and Au-ZnO composites. (a) Survey spectra showing the presence of Zn 2p, O 1s, and Au 4f core-level signals, confirming successful Au decoration. (b–d) Zn 2p3/2 and Zn 2p1/2 spectra of ZnO, Au-ZnO 1, and Au-ZnO 2, respectively, indicating that all samples retain the Zn²⁺ oxidation state without chemical shift. (e–g) O 1s spectra of ZnO, Au-ZnO 1, and Au-ZnO 2, deconvoluted into lattice oxygen (O_latt ≈ 530.1 eV) and chemisorbed oxygen (O_ads ≈ 531.5 eV) components. Au decoration slightly increases the relative fraction of O_ads, suggesting enhanced surface reactivity. (h) Au 4f spectrum of the Au-ZnO 2 sample, displaying doublet peaks at ~84.0 eV (Au 4f7/2) and ~87.7 eV (Au 4f5/2) characteristic of metallic Au⁰. (i) Relative atomic ratios of O_ads/O_latt and quantitative Au contents derived from XPS fitting, summarizing the surface chemical evolution after Au incorporation.

../../Resources/kim/KJMM.2025.63/kjmm-2025-63-12-986f4.jpg
Fig. 5.

Temperature-dependent H2S sensing of pristine ZnO and Au-ZnO sensors (10 ppm). (a–d) Dynamic response–recovery traces recorded at 100, 150, 200, and 250 °C (left→right) for ZnO and Au-ZnO samples measured under identical conditions; baseline in air, H2S exposure intervals indicated in the curves. (e) Summary of steady-state response (Ra/Rg) versus operating temperature for each sensor, extracted from panels (a–d), highlighting the temperature dependence of H2S response.

../../Resources/kim/KJMM.2025.63/kjmm-2025-63-12-986f5.jpg
Fig. 6.

(a, b) Dynamic response of Au-ZnO 2 to a 0.2–10 ppm H2S concentration range at 200 °C. (c) Dual-regime fitting. (d) Reproducibility test results of Au-ZnO 2 under repeated H2S exposure, confirming stable cycling performance. Selectivity (e) toward H2S, against various gases, and (f) different relative humidity (RH) conditions.

../../Resources/kim/KJMM.2025.63/kjmm-2025-63-12-986f6.jpg
Fig. 7.

Schematic illustration of the H2S sensing mechanism. (a) Pristine ZnO surface without Au nanoparticles. (b) Au-ZnO surface showing the catalytic role of Au nanoparticles. (c) Spillover effect, in which Au catalyzes H2S dissociation, and the intermediates migrate to ZnO for surface reactions. (d) Simplified band diagram of Au-ZnO.

../../Resources/kim/KJMM.2025.63/kjmm-2025-63-12-986f7.jpg
Table 1.

Responses of the ZnO and Au-ZnO (1–3) sensors to 10 ppm of H2S at different temperatures (100–250 °C).

Response (Ra/Rg)
Temperature (℃) ZnO Au-ZnO 1 Au-ZnO 2 Au-ZnO 3
100 1.70 1.93 7.90 4.82
150 2.89 5.09 5.52 3.60
200 4.84 50.59 419.13 130.37
250 5.03 2.39 28.63 19.77
Table 2.

Responses of the Au-ZnO 2 sensor to various H2S concentrations (0.2–10 ppm) at 200 °C.

Response (Ra/Rg)
H2S (ppm) Au-ZnO 2 H2S (ppm) Au-ZnO 2
10 419.13 1 9.36
8 412.90 0.8 6.61
6 368.55 0.6 5.74
4 94.85 0.4 4.56
2 33.56 0.2 2.70
Table 3.

Response and recovery times of the Au-ZnO 2 sensor to H2S (0.2–1.0 ppm) at 200 °C.

H2S (ppm) Response time (s) Recovery time (s)
0.2 436.29 223.99
0.4 417.43 422.45
0.6 452.30 376.63
0.8 465.25 347.24
1.0 471.97 345.29