The Journal of
the Korean Journal of Metals and Materials

The Journal of
the Korean Journal of Metals and Materials

Monthly
  • pISSN : 1738-8228
  • eISSN : 2288-8241

Editorial Office





Anode electrode, Lithium-ion batteries, N-doped carbon nanotubes, Nano-silicon, Red phosphorus, Silicon-red phosphorus composite

1. INTRODUCTION

Silicon is considered a promising anode material for lithium-ion batteries (LIBs) because of its theoretical capacity of 3,579 mAhg-1, abundance and availability [1]. The demand for portable energy storage systems is increasing steadily across critical sectors, including military, pharmaceutical, medical, and space applications [2-7]. However, its commercial use is not without challenges, primarily its over 300% volume expansion during lithiation, which can lead to electrode pulverization and solidelectrolyte interphase (SEI) instability [8-11]. Strategies to address these issues include reducing the silicon particle size and designing structures to minimize cracking. Red phosphorus is also a viable alternative: it is inexpensive, readily available, and has a theoretical specific capacity of 2,596 mAh g-1 [12,13]. Red phosphorus also experiences significant volume expansion (over 300 %) during charging and discharging, leading to rapid capacity decay and electrode pulverization. Its low electrical conductivity (1×10-12 Scm-1) further exacerbates capacity loss [14,15]. However, when combined with carbon, red phosphorus shows improved capacity and cycle stability [16]. Carbon nanotubes (CNTs), known for their high conductivity and large surface area, can enhance the performance of silicon anodes. Nitrogen-doped carbon nanotubes (NCNTs) improve Li transport by creating defect sites (N5, N6) that open pathways and lower the migration barrier (~1.3 eV). Nitrogen doping enhances Li adsorption via increased charge density and lithiophilicity, while the porous, conductive network supports efficient ion/electron transport, boosting capacity, rate, and stability [17,18].

Composite anodes have been made from silicon (Si), phosphorus (P), and carbon nanotubes (CNT) to leverage the unique electrochemical and physical properties of each material [19-21]. Nitrogen-doping of CNTs (NCNT) improves their conductivity and electrochemical performance, creating a more efficient pathway for lithium-ion diffusion and enhancing long-term cycling stability [22-24]. However, despite these advancements, the CNT/Si composites structurally degrade over time, including the weakening of the bonds between CNTs and silicon particles, resulting in gradual capacity fading, which remains an issue [25-27]. Red phosphorus (P) has recently gained attention as a promising additive to further enhance the cycling stability and capacity retention of silicon-based anodes. When combined with silicon, red phosphorus can help address the issue of volume expansion and stabilize the solid electrolyte interphase (SEI) layer [28]. This study elucidates a straightforward approach to synthesizing nitrogen-doped carbon nanotubes (NCNTs). The desired NCNTs were subsequently blended with silicon/red phosphorus and subjected to low-temperature heat treatment, forming the Si/P@NCNT composite. Experimental results demonstrate that nitrogen doping significantly enhances the capacity of the CNTs and strongly interacts with the silicon and phosphorus composite, thereby improving the electrochemical performance of the phosphorus-based electrodes. This enhancement is manifested in increased capacity and cycling stability, underscoring the potential of the Si/P@NCNT hybrid composite for advanced lithium-ion battery applications.

This material design is guided by a synergistic strategy: both silicon and red phosphorous have high theoretical capacities, offering high specific capacities, while phosphorus contributes SEI stabilization and buffers volume changes, and nitrogen-doped CNTs provide a conductive, flexible framework that enhances Li transport and accommodates mechanical strain collectively improving both initial Coulombic efficiency and long-term cycle life.

2. EXPERIMENTAL

Materials and Methods

Si powder (325 mesh, Sigma Aldrich, 99% trace metals base), red phosphorus powder (100 mesh, 98% trace metals basis, Sigma Aldrich), multi-walled carbon nanotubes (Hanwha Nanotech Corp. CM-100, diameter: 10 nm - 14 nm), melamine (DAEJUNG, 5652-4100), N-Methyl-2-pyrimidinamine (NMP) and ethanol solvent (Sigma-Aldrich, 99.5%) were purchased and used without further purification.

Materials Preparation

The three components of the composite material, nano silicon (Si), red phosphorus (P), and nitrogen-doped carbon nanotubes (NCNT), were acquired independently using the physical and chemical methods outlined below and then were utilized to create the finished composite material Si/P@NCNT.

2.1. Synthesis of Si/P composite

A mixture of 55% silicon powder (325 mesh) and 45% red phosphorus was placed in a high-energy ball milling vial made of high-density polyethylene. The required number of zirconium balls were added for a 50:1 ball-to-powder mass ratio. The vial was then closed and placed in a ball mill, where milling was conducted for 8hrs at room temperature. After milling, the resulting silicon, phosphorus powder, and zirconium balls were sieved for approximately 1hr to collect the powder. The silicon/phosphorus mixture was then dispersed in ethanol using ultrasonication. After this, the solvent was evaporated, and the mixture was heated in an argon atmosphere for 2 hrs at 260°C.

2.2. Preparation of N-doped CNTs

The following process prepared n-doped CNTs: Initially, 200 mg of melamine was dissolved in hot water and mixed well until it became a transparent solution. After adding 100 mg of CNTs, magnetic stirring was done on a heated plate over low heat for 2 hrs. The oven was used to air dry the thickened mixture. Later, the dried sample was heated for one hour at a rate of five degrees Celsius per minute in an N2 environment at 900 degrees Celsius. After heat treatment, the sample was gathered and given the designation NCNT.

2.3. Preparation of Si/P@NCNT

The Si/P@NCNT composites were prepared using different NCNT-to-Si/P ratios of 90:10, 80:20, 70:30, respectively. The materials were mixed in a mini ball mill with NMP solvent for about 20 min. and subsequently annealed for 2hrs at 200°C in an argon atmosphere. A step by step schematic illustration of the synthesis process is provided in Figure 1. The composites are denoted as Si/P@NCNT1, Si/P@NCNT2, and Si/P@NCNT3, respectively.

Material Characterization

The crystallographic structure of the prepared material was analyzed by X-ray diffraction (XRD) utilizing a Rigaku D/MAX-2200 Ultima device that has Cu-Kα radiation (λ=1.54056 Å) in the range of 5°<2θ<90° operating at 30kV and 40mA. The surface morphology was surveyed by scanning electron microscopy (SEM, JSM7000F) and highresolution transmission electron microscopy (HR-TEM, JEM-2100F). TEM specimens were prepared by dispersing the powder in ethanol with an ultrasonic bath and depositing the suspension onto a copper grid with a holey carbon support film. Further, thermo-gravimetric analysis (TGA) was carried out from 25° C to 900°C in air.

Electrochemical Measurements

The electrochemical capabilities of all composites were investigated using 2032R button-type coin cells. To prepare the working electrode, 80% of the fabricated active material was combined with 10% Super P carbon as a conductive supplement and 10% polyvinylidene fluoride (PVDF) as a binder in N-methyl pyrrolidone (NMP). All components were mixed using a mini ball milling machine for approximately 15 minutes. The resulting slurry was then evenly coated onto copper foil using a doctor blade set to a thickness of 15 μm.

Later, the electrode was dried in a drying oven at 100°C for 6 h to evaporate the NMP solvent. After drying, an electrochemical analysis was conducted by punching 14 mm electrodes out of the foil. The active material's estimated mass loading was 1.2 mg. All the coin cells were manufactured in an argon atmosphere inside a glove box. Metallic lithium was utilized as a counter electrode, and polypropylene film was used as a separator (Celgard 2400). For the electrolyte, 1M LiPF6 in ethylene carbonate (EC) and diethyl carbonate (DEC) with a v/v ratio of 1:1 was used. Every cell was investigated within a voltage range between 0.01 V and 2.0 V. Current densities ranging from 100 mAg-1 to 5000 mAg-1 were used to measure the rate capability. A current density of 100 mAg-1 was used to test the cyclability. Cyclic voltammetry (CV) was investigated over a voltage range of 0.01 to 2.0 V at a scan rate of 0.1 mV s-1. Electrochemical impedance spectroscopy (EIS) was conducted using an electrochemical workstation (CHI760E, CH Instruments Inc., Shanghai, China) over a frequency range of 1 MHz to 10 kHz to investigate the redox behavior of the electrode. Electrochemical impedance spectroscopy (EIS) measurements were performed between 100 kHz and 0.01 Hz. During the electrochemical tests, the data for the composites was calculated based on the total mass of the Si/P@NCNT materials in the electrode. The mass of the active material was measured to calculate the specific capacities of the working electrodes. To examine the morphology of the electrodes after cycling, SEM analyses were performed on the Si/P@NCNT composite electrodes collected after 10 and 100 cycles. These electrodes were washed with a propylene carbonate (PC) solvent prior to analysis.

3. RESULT AND DISCUSSION

Figure 2a and 2b display the XRD patterns of NCNT, Si/P, and the corresponding Si/P@NCNT composites. Figure 2a shows the diffraction peaks of Si/P composite. The diffraction peaks of Si and P at 2θ = 28.4°, 47.4°, 56.2°, 69.2° and 79.5° correspond to the Si lattice planes (111), (220), (311), (400), and (331) [29,30], and the patterns of P showed three characteristic peaks at 15.3° and 33.1°and 55°, corresponding to the (013), (318), and (004) planes (JCPDS No. 44-0906), implying a medium-range-ordered structure of red phosphorous [31,32], respectively. Interestingly, pure P characteristic peaks of ~ 33.1° changed their position at ~37° and NCNT showed three characteristic peaks at 26°, 41° and 43°, corresponding to the (002), (100) and (101) planes, which is similar to CNT. It can be said that nitrogen doping does not result in any discernible changes to the crystal structure of carbon nanotube (CNT) [33]. Figure 2b shows the XRD patterns of the three composites, Si/P@NCNT1, Si/P@NCNT2, and Si/P@NCNT3. Interestingly, unlike pure red phosphorus, the Si/P@NCNT composite does not exhibit the characteristic XRD peak of crystalline red phosphorus at ~15.3°, suggesting that the phosphorus has transformed into an amorphous phase during annealing above its melting point (~150 °C). However, this observation alone does not confirm the insertion of phosphorus into the NCNT structure. We assume that a portion of this amorphous phosphorus integrates into the structures of the nitrogen-doped carbon nanotubes (NCNT) and between the aggregated silicon particles. Some of the remaining phosphorus may retain an amorphous form on the surface.

The microstructures of the Si/P@NCNT composites were analyzed using SEM and EDS (Figure 3). The SEM images revealed the morphology of the Si/P@NCNT composites, demonstrating the integration of nitrogen-doped carbon nanotubes (NCNTs) with aggregated silicon particles with fused red phosphorus. The elemental compositions shown in the insets of Figure 3 confirm the presence of silicon and carbon (NCNTs), as well as phosphorus within the composites. An increase in NCNT content was observed in samples Si/P@NCNT1 to Si/P@NCNT3, as shown in Figure 3c, d. Additionally, Figure 3(e-h) presents SEM microstructures of the samples analyzed across other regions of each sample’s SEM grid, revealing a similar morphology for Si/P@NCNT composites across all samples, with NCNTs and red phosphorus aligned with each other.

Scanning Transmission Electron Microscopy (STEM) combined with Energy-Dispersive X-ray Spectroscopy (EDX) analysis was conducted, revealing the presence of silicon (Si), carbon (C), phosphorus (P), and a small amount of nitrogen (N) in the Si/P@NCNT2 (Figure 4a). Phosphorus is present in an amorphous state, as a result of the heat treatment during sample preparation, and is fused and dispersed across the Si/NCNT structures. The silicon nanoparticles are aggregated into microbundles, with nitrogen-doped carbon nanotubes (NCNTs) interspersed throughout. The EDX results indicate a strong coupling between silicon and phosphorus, suggesting the formation of composites incorporating NCNTs, thereby exhibiting the characteristics of Si/P/NCNT hybrid structures (see Figure 4b). In Figure 4c, the green arrows indicate NCNTs intruded within the composites, while the arrows also point to the amorphous phosphorus bundles within the composite. Figure 4c displays a high-magnification micrograph of a selected portion of the sample from image (b). The silicon particles are marked with red circles, revealing lattice fringes with a dspacing of approximately 0.3 nm, corresponding to the (111) orientation of crystalline silicon [34,35].

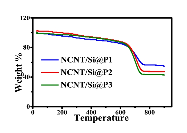
Figure 5 shows the TGA thermogram of the Si/P@NCNT hybrids with different NCNT to Si/P mass ratios. The thermograms indicate that the composites begin to lose weight between 650°C and 750°C, generally suggesting that carbon nanotube-based composites achieve better thermal stability because they can easily form compact char during thermal degradation.The results indicate that adding carbon nanotubes will raise the temperature of maximum thermal degradation. The higher composite thermal stability may be due to an increase in the degree of cross-linkage as well as a change in the phase of P and crystallinity of the matrix materials. However, in this study, the composites were heated to around 200°C in an argon atmosphere. At this temperature, the TGA curves of our composites remained stable, with no significant oxidation or reduction, indicating there was no transition of silicon and red phosphorus in the composites.

Cyclic voltammetry (CV) experiments were conducted within a voltage range of 0.01 to 2.0 V to investigate the electrochemical behavior of the Si/P@NCNT1, Si/P@NCNT2, and Si/P@NCNT3 electrodes, as shown in Figure 6 for the first three cycles, respectively. During the first lithiation in the cathodic scan, the NCNTs exhibit a distinct reduction peak around ~0.16 V, attributed to the electrolyte's breakdown process and the solid electrolyte interphase (SEI) layer's formation. From the second cycle onwards, the SEI layer stabilizes, and a characteristic peak at 0.02 V for NCNT is associated with the lithium-ion intercalation process within the carbon electrode and the activation of carbon [36]. The main peak observed around 0.28 V in the anodic scan suggests a delithiation process involving carbon [37].

In the electrochemical stability measurements, the typical cyclic voltammetry (CV) curves for the Si/P@NCNT electrodes are illustrated in Figure 6a, b, and c. During the initial discharge, a broad voltage range between approximately ~1.9 V and ~0.66 V showed signals related to electrolyte breakdown and surface reactions. However, SEI formation usually occurs below about ~0.8 V and is more accurately evaluated by the first-cycle Coulombic efficiency and capacity loss rather than specific voltage peak. As a result, Si/P@NCNT has much higher electrolyte/electrode interfacial regions, which promotes the production of SEI layers and the electrolyte breakdown process [38]. The other sharp peaks at ~1.19 V and ~0.011 V vs. Li/Li+ were observed for all of the Si/P@NCNT electrodes and are related to lithium-ion alloying reaction into Si, P, and the evolution of meta stable amorphous LixSi and LixP phases (where x = 1–3) [37]. In the anodic scan, peaks at ~0.3 V, ~0.51V and 1.13V vs. Li/Li+ for the Si/P@NCNT electrode are the characteristic peaks of the two-step dealloying of the LixSi and LixP phase to amorphous Si and P, respectively. This phenomenon is frequently seen in Si and P-based anodes [39]. The peak at 0.011 V indicates lithium-ion insertion into the Si/P@NCNT electrodes. Three peaks were noted at approximately 0.3 V, 0.51 V, and 1.13 V during the anodic scan, indicating a stepwise delithiation process.

The galvanostatic charge/discharge profiles of the Si/P@NCNT1, Si/P@NCNT2 and Si/P@NCNT3 electrodes for the 1st, 2nd, and 100th cycles with a 100 mAg-1 current density are presented in Figure 6. All three of the Si/P@NCNT composites electrodes showed a notable voltage plateau around 0.7 V during the first discharge curve, probably as a result of a solid-electrolyte interphase (SEI) layer forming. The long discharge plateau below 0.011 V in the first cycle of all the composite electrodes signifies the alloying reaction of lithium with crystalline Si, P, and the LixSi, LixP phase formation. The discharge plateaus were shifted to ~0.65 V in the following cycles due to the typical Si and P transformation from crystalline to amorphous. The long charge plateau over 0.5 V indicates the de-alloying process of the LixSi and LixP phase to amorphous Si and P [40,41]. The Si/P@NCNT electrode (see Figure 6e) exhibited a more pronounced curve at this voltage. In subsequent cycles, the plateau fades, replaced by gradually sloping discharge curves that indicate lithiation and delithiation processes in the NCNT. These profiles align with the corresponding cyclic voltammetry (CV) curves. Importantly, the Si/P@NCNT composites have higher initial capacities than Si/P and NCNT, suggesting that the combination with NCNT enhances its electrical conductivity, allowing it to attract more lithium ions. The combination of Si/P@NCNT increases side reactions with the electrolyte, resulting in a thicker SEI film and a larger irreversible capacity during the first cycle. Thus, the Si/P@NCNT offers significantly higher reversible capacities, making it a superior option for improved battery performance. These charge/discharge profiles agree with their respective CV results.

The charge-discharge cycling performances of the NCNT, Si/P, Si/P@NCNT1, Si/P@NCNT2 and Si/P@NCNT3 electrodes are shown in Figure7a and b. The first discharge/charge capacities of the NCNT, Si/P, Si/P@NCNT1, Si/P@NCNT2 and Si/P@NCNT3 electrodes were 304/235, 1166/247, 1516/522, 2025/685 and 1356/446 mAh g-1 with their corresponding CEs of 77%, 31%, 36%, 35% and 33%, respectively. The increase in irreversible capacity is associated with the SEI layer formation on the electrode’s surface. The poorer initial coulombic efficiency (ICE) for Si/P@NCNT could be attributed to the decomposition of electrolyte and accumulation of Li+ ions by the blended NCNT carbon matrix. But for the second cycle, the discharge/charge capacities of the respective electrodes were 215/203, 274/254, 529/477, 695/587 and 450/416 mAh g-1 with CEs of 96%, 92%, 90%, 90% and 92%, respectively, which is indicative of excellent reversible performance. The CE steadily increased with cycling and is stabilized at above 98% for all electrodes. After 100 cycles, the observed specific capacities were about 295/294, 208/207, 362/370, 521/515 and 321/318 mAh g-1, respectively with CEs exceeding 99% (as shown in Figure7a and Figure7b). Based on cycling performance, Si/P@NCNT2 demonstrated superior initial discharge capacity and cycling stability compared to all other electrodes studied. The enhanced electrochemical characteristics can be attributed to the ability of nitrogen-doped carbon to facilitate effective silicon and phosphorus adsorption, both chemically and physically.

Furthermore, we believe that this composition represents the optimal hybrid configuration, allowing for a well-aligned distribution of Si/P with the NCNTs, which plays a crucial role in the improved performance of the Si/P@NCNT electrodes. In contrast, the excess electrically insulating Si/P present in Si/P@NCNT3 hinders its electrochemical performance.

The rate capability of all the electrodes studied here was evaluated at a wide range of applied current densities from 100 to 5,000 mA g-1 in the voltage range of 0.01-2.0 V, and the results are displayed in Figure 7c. As the applied current density increases, the specific capacities decrease. Among all, the Si/P@NCNT2 electrode is notable for having a greater specific capacity of 1890 (1st cycle), 502, 407, 266, 167, 116, and 93 mAh g-1 at 100, 200, 500, 1000, 1,600, 3,200 and 5,000 mA g-1 current densities, respectively. It is noteworthy that upon returning the discharge current density to 200 mAgg-1, the reversible capacity (454 mAh g-1) is largely restored. The Si/P@NCNT2's reasonable rate capability is attributed to its exceptional electrical conductivity and remarkable capacity to handle volume expansion, which could be enhanced by nitrogen doping [42]. Next to it, the Si/P@NCNT1 electrode exhibited reversible discharge capacities of 1458, 348, 207, 172, 146, 101, and 81 mAhg-1 at 100, 200, 500, 1000, 1600, and 5000 mA g-1 current densities, respectively. Lastly, the Si/P@NCNT3 electrode exhibited reversible discharge capacities of 1255, 248, 136, 139, 117, 80, and 66 mAh g-1 at 100, 200, 500, 1000, 1600, and 5000 mA g-1 current densities, respectively. Even at the higher current rates of 500 and 1000 mA g-1, the capacities for all three composites remained more than 204, 407, and 136 mAhg-1, which are almost 3, 6, and 2-fold higher than the capacity exhibited by the NCNT and Si/P studied here, at 500 mAg-1, respectively (Figure 7c). Also, a similar high-capacity trend was exhibited for the regained capacities of the Si/P@NCNT2, Si/P@NCNT1 and Si/P@NCNT3 after cycling at different current densities. The Si/P@NCNT3 electrode showed a little bit lower specific capacity compared to the other two composite electrodes. This lower cycling and rate performance results from the pulverization of silicon and phosphorus particles during electrode degradation. The formation of Li₃Si and Li₃P leads to substantial volume expansion, resulting in microcracks on the electrode surface, which contributes to low cycle retention. Optimizing the Si/P content to 10% and 20% by weight with nitrogen-doped carbon nanotubes (NCNTs) enhances the cycling capability of Si/P@NCNT1 and Si/P@NCNT2 by providing a conductive network and effective strain relaxation. However, increasing the Si/P content to 30 wt.% in Si/P@NCNT3 hindered performance and stability by disrupting charge transport and potentially causing phase separation, which compromises the material's structural integrity. The rate capability results suggest that the combination of NCNTs and Si/P plays a significant role in providing electrical conductivity and structural flexibility. Furthermore, the robust matrix of Si/P@NCNT effectively prevents the escape of small active silicon particles, thereby creating more active sites for lithium interaction.

The high-rate capability of the Si/P@NCNT composites was evaluated at a current density of 1,000 mAg-1 in the voltage range of 0.01-2.0 V, and the results are displayed in Figure 7d. The electrode-specific capacity gradually increased in the initial cycles. The initial discharge/charge capacities of the Si/P@NCNT1, Si/P@NCNT2, and Si/P@NCNT3 electrodes were 187/176, 264/248 and 148/139 mAh g-1 with CEs of 94.14%, 96.19%, and 93.79%, respectively. After 200 cycles, the electrodes NCNT/Si@P1, NCNT/Si@P2 and NCNT/Si@P3 electrodes exhibited specific capacities of about 216/214, 342/338 and 172/169 mAh g-1, respectively with CEs of 99.15, 99.82 and 98.67%, respectively (as shown in Figure 7d). These findings demonstrate the electrode's exceptional cyclic stability, even at greater current density.

Electrochemical impedance spectroscopy (EIS) was employed to study the Li+ kinetics between the electrode and electrolyte for the Si/P@NCNT, Si/P, and NCNT samples, which were tested from 100 kHz to 0.01 Hz. Figure 8a and b present the Nyquist plots for all three electrodes, both before and following ten cycles. In the medium to highfrequency range, each electrode demonstrated a depressed semicircle, indicative of the charge transfer resistance (Rct) at the electrolyte and electrode interaction. Moreover, the lowfrequency region exhibited an inclined line for all three electrodes, pointing to the Li+ diffusion process. The equivalent circuit model shown in Figure 8c includes solution resistance (Rₛ), SEI layer resistance (RSEI), charge transfer resistance (Rct), constant phase elements (CPE₁, CPE₂), and Warburg impedance (Wb). The fresh electrodes exhibited relatively high charge transfer resistance values, specifically 195 Ω, 325 Ω, and 278 Ω for the Si/P@NCNT1, Si/P@NCNT2, and Si/P@NCNT3 composites, respectively, and 181 Ω and 376 Ω for the NCNT and Si/P electrodes, respectively. After ten cycles, there was a significant reduction in the Rct values, likely due to enhanced Li+ kinetics and better electrolyte wetting within the electrode materials. Among the electrodes tested, the NCNT electrode exhibited the lowest resistance values. However, the Si/P@NCNT composite electrodes displayed higher resistance values than the NCNT. Notably, the Si/P@NCNT2 electrode, identified as the best performer, had higher resistance than NCNT but lower than that of the Si/P electrode.

These results underscore the importance of improving conductivity and facilitating charge transfer reactions. The substantial charge contribution from the Si/P composite and the NCNTs enhances structural stability, which is essential to achieve superior electrochemical performance. The Si/P electrode, which lacks NCNTs, exhibited a high resistance value, emphasizing the increased resistance associated with the absence of NCNTs, ultimately leading to inferior electrochemical performance. Table 1 provides a comparison of the electrochemical performance of our red P-silicon/NCNTs hybrid anodes with the literature.

4. CONCLUSION

In conclusion, the Si/P@NCNT composite, synthesized through a simple and scalable method, represents a promising anode material for lithium-ion batteries. Incorporating nitrogen-doped carbon nanotubes (NCNTs) with silicon and red phosphorus significantly enhances the electrochemical performance of the composite. The synergy among NCNTs, silicon, and red phosphorus contributes to superior specific capacity, enhanced cycling stability, and exceptional rate capability, surpassing the performance of traditional anode materials. NCNTs act as conductive scaffolds, facilitating efficient electron and ion transport while providing structural stability during the significant volume expansion and contraction of silicon and red phosphorus. This improves mechanical integrity and reduces capacity fading over multiple charge-discharge cycles. Furthermore, red phosphorus, known for its high theoretical capacity, benefits from the conductive and protective matrix of NCNTs and silicon, promoting uniform distribution and enhanced electrochemical reactions. Additionally, the low-cost, scalable synthesis method ensures the practical feasibility of this composite for large-scale applications in energy storage technologies. The combination of NCNTs, silicon, and red phosphorus offers a practical pathway to achieving high-performance anode materials designed for next-generation lithium-ion batteries applications, with the potential for further optimization to meet the increasing demands for efficient and durable energy storage solutions.

Notes

[1] ACKNOWLEDGEMENTS

The Ministry of Education provided funding for this work through the National Research Foundation of Korea (NRF) (grant 2021R1I1A3059637).

REFERENCES

1 
Gonzalez A. Franco, Yang N.H., Liu R.S., J. Phys. Chem. C,121, 27775 (2005)Google Search
2 
Marsh J., Marsh R.A., J. Power Sources,26, 243 (1989)Google Search
3 
Park J.Y., Ullapu P.R., Choo H., Lee J.K., Min S.J., Cho Y.S., Eur. J. Org. Chem,32, 5461 (2008)Google Search
4 
Ullapu P.R., Min S.J., Chavre S.N., Cho Y.S., Angew. Chem. Int. Ed,48, 2196 (2009)Google Search
5 
Grey C.P., Hall D.S., Nat. Commun,11, 6279 (2020)Google Search
6 
Hong Jae-Young, Park Byoung-Nam, Korean J. Met. Mater,61, 84 (2023)Google Search
7 
Ryu Geon Hong, Son Changil, Suhling Jeffrey C., Lee Jiseok, Korean J. Met. Mater,61, 120 (2023)Google Search
8 
Teki R., Datta M.K., Krishnan R., Parker T.C., Kumta P.N., Koratkar N., Small,5, 2236 (2009)Google Search
9 
Wu H., Cui Y., Nano Today,7, 414 (2012)Google Search
10 
Park M.H., Kim M.G., Joo J., Kim K., Kim J., Ahn S., Cho J., Nano Lett,9, 3844 (2009)Google Search
11 
Chen Q., Zhu R., Liu S., Wu D., Fu H., Zhu J., He H., J. Mater. Chem. A,6, 6356 (2018)Google Search
12 
Chang W.C., Tseng K.W., Tuan H.Y., Nano Lett,17, 1240 (2017)Google Search
13 
Pang J., Bachmatiuk A., Yin Y., Trzebicka B., Zhao L., Fu L., Adv. Energy Mater,8, 1702093 (2018)Google Search
14 
Song J., Yu Z., Gordin M.L., Hu S., Yi R., Tang D., Wang D., Nano Lett,14, 6329 (2014)Google Search
15 
Ismagilov Z.R., Shalagina A.E., Podyacheva O.Y., Tkachev E.N., Carbon,47, 1922 (2009)Google Search
16 
Xiao K., Liu Y., Hu P.A., Yu G., Sun Y., Zhu D., J. Am. Chem. Soc,127, 8614 (2005)Google Search
17 
Zhao C., Lu Y., Liu H., Chen L., RSC Adv,9, 17299 (2019)Google Search
18 
Han H., Song Y., Zhang Y., Kalimuldina G., Bakenov Z., Nano Express,16, 105 (2021)Google Search
19 
Wang W., Epur R., Kumta P.N., Electrochem. Commun,13, 429 (2011)Google Search
20 
Park K.S., Min K.M., Seo S.D., Lee G.H., Kim D.W., Mater. Res. Bull,48, 1732 (2013)Google Search
21 
Xiao L., Sehlleier Y.H., Dobrowolny S., Mahlendorf F., Schulz C., Mater. Today: Proc,4, S263 (2017)Google Search
22 
He X., Zhao W., Li D., Cai P., Zhuang Q., Ju Z., New J. Chem,43, 18220 (2019)Google Search
23 
Gao Y., Qiu X., Wang X., Chen X., Gu A., Yu Z., Nanotechnology,31, 155702 (2020)Google Search
24 
Ouyang Y., Zhu X., Li F., Lai F., Wu Y., Miao Y.E., Liu T., Appl. Surf. Sci,475, 211 (2019)Google Search
25 
Su X., Wu Q., Li J., Xiao X., Lott A., Lu W., Wu J., Adv. Energy Mater,4, 1300882 (2014)Google Search
26 
Epur R., Ramanathan M., Datta M.K., Hong D.H., Gattu B., Kumta P.N., Nanoscale,7, 3504 (2015)Google Search
27 
Feng X., Yang J., Bie Y., Wang J., Nuli Y., Lu W., Nanoscale,6, 12532 (2014)Google Search
28 
Daali A., Zhao C., Zhou X., Yang Z., Xu G.-L., J. Solid State Electrochem,26, 1919 (2022)Google Search
29 
Nulu A., Nulu V., Sohn K.Y., Sci. Adv. Mater,12, 337 (2020)Google Search
30 
Venugopal N., Kim W.S., Yu T., Korean J. Chem. Eng,33, 1500 (2016)Google Search
31 
Xing T., Li L.H., Hou L., Hu X., Zhou S., Peter R., Chen Y., Carbon,57, 515 (2013)Google Search
32 
Lin X., Lu X., Huang T., Liu Z., Yu A., J. Power Sources,242, 855-859, (2013)Google Search
33 
Qian J., Wu X., Cao Y., Ai X., Yang H., Angew. Chem. Int. Ed,52, 4633 (2013)Google Search
34 
Zaug J.M., Soper A.K., Clark S.M., Nat. Mater,7, 890 (2008)Google Search
35 
Li J., Wang L., Ren Y., Zhang Y., Wang Y., Hu A., He X., Ionics,22, 167 (2016)Google Search
36 
Zhu Q., Méndez A. R. B., Cheng L., Diaz J. F., Sandoval E. M., Vlad A., Nano Sel,3, 864 (2022)Google Search
37 
Ramireddy T., Xing T., Rahman M. M., J. Mater. Chem. A,3, 5572 (2015)Google Search
38 
Jaumann T., Herklotz M., Klose M., Pinkert K., Oswald S., Eckert J., Chem. Mater,27, 37 (2015)Google Search
39 
Vorfolomeeva A.A., Stolyarova S.G., Asanov I.P., Nanomaterials,13, 153 (2023)Google Search
40 
Sun L., Zhang Y., Zhang D., Zhang Y., Nanoscale,9, 18552 (2017)Google Search
41 
Venugopal N., Kim W.S., Korean J. Chem. Eng,32, 1918 (2015)Google Search
42 
Nulu A., Nulu V., Sohn K.Y., Korean J. Chem. Eng,37, 1795 (2020)Google Search
43 
Nguyen T.P., Kim I.T., Nanomaterials,11, 626 (2021)Google Search
44 
Wang Q., Lian P., Wang B., Tang Y., Liu H., Mei Y., Ionics,24, 3393 (2018)Google Search
45 
X. Zhu, C. Yang, F. Xiao, J. Wang, X Su, J. Chem,39, 683 (2015)Google Search
46 
Eom J. Y., Kwon H. S., ACS Appl Mater Interfaces,3, 4 (2011)Google Search
47 
Rocky M.R.I., Nulu V., Sohn K.Y., Korean J. Chem. Eng,42, 1693 (2025)Google Search
48 
Rehman W., Huang H., Zain Yousaf M., Molecules,28, 2792 (2023)Google Search

Figures and Table

Fig. 1.

Schematic illustration of the synthesis process of the Si/P@NCNT composite.

../../Resources/kim/KJMM.2025.63/kjmm-2025-63-10-828f1.jpg
Fig. 2.

XRD patterns of (a) NCNT and Si/P and (b) Si/P@NCNT composites.

../../Resources/kim/KJMM.2025.63/kjmm-2025-63-10-828f2.jpg
Fig. 3.

SEM and the elemental composition results by EDS and SEM of (a, e) Si/P, (b, f) Si/P@NCNT1, (c, g) Si/P@NCNT2, and (d, h) Si/P@NCNT3 composites, where C: Carbon, N: Nitrogen, Si: Silicon, and P: Phosphorus.

../../Resources/kim/KJMM.2025.63/kjmm-2025-63-10-828f3.jpg
Fig. 4.

Displaying the STEM, TEM, EDX, and HRTEM images of the Si/P@NCNT2 composite: (a) a STEM image of the Si/P@NCNT2 composite accompanied by the corresponding EDS spectra; (b) TEM image of a specific region of the Si/P@NCNT2 composite; (c) HRTEM image taken from a selected area of image (b); and (d) the elemental composition from the TEM-EDS analysis.

../../Resources/kim/KJMM.2025.63/kjmm-2025-63-10-828f4.jpg
Fig. 5.

TGA curves of the Si/P@NCNT composites.

../../Resources/kim/KJMM.2025.63/kjmm-2025-63-10-828f5.jpg
Fig. 6.

Cyclic voltammograms and charge-discharge curves for the initial three cycles of (a, d) Si/P@NCNT1, (b, e) Si/P@NCNT2, and (c, f) Si/P@NCNT3, respectively.

../../Resources/kim/KJMM.2025.63/kjmm-2025-63-10-828f6.jpg
Fig. 7.

Illustrates the following: (a, b) cycling performance with coulombic efficiency, (c) rate capability test, and (d) high-rate capability of NCNT, Si/P, Si/P@NCNT1, Si/P@NCNT2, and Si/P@NCNT3 electrodes, respectively.

../../Resources/kim/KJMM.2025.63/kjmm-2025-63-10-828f7.jpg
Fig. 8.

(a) Nyquist plots (a) Fresh electrodes (b) after ten cycles (c) equivalent circuit models.

../../Resources/kim/KJMM.2025.63/kjmm-2025-63-10-828f8.jpg
Table 1.

Electrochemical performance comparison of red P-silicon/NCNTs hybrid anodes for advanced LIB.

Composite materials Discharge capacity (mAh g-1) at current density (100 mA g-1); after specific number of cycles Initial specific capacity (mAh g-1) References
Si/P@NCNT2 515, 100 cycles 2025 This work
Si/P@NCNT1 370, 100 cycles ~1516 This work
Si/P@NCNT3 318, 100 cycles ~1356 This work
Ag Nanoparticle-Decorated MoS2 Nanosheets 510, 100 cycles ~900 [43]
Graphene/Graphite Nanosheet Composite 480, 100 cycles ~1000 [44]
Si-MWNT nanocomposite 500, 10 cycles ~1500 [45]
Single-walled carbon Nanotube/Silicon Composites 50, 50 cycles ~1400 [46]
N-Doped Graphite@Carbon/Red Phosphorous Composite 530, 100 cycles ~1486 [47]
Natural-Cellulose-Derived Tin-Nanoparticle/Carbon-Nanofiber Composite 430, 100 cycles ~580 [48]