The Journal of
the Korean Journal of Metals and Materials

The Journal of
the Korean Journal of Metals and Materials

Monthly
  • pISSN : 1738-8228
  • eISSN : 2288-8241

Editorial Office





Solution Processing, Oxide Semiconductor, Indium Oxide Thin Films, Pulsed UV–Assisted Annealing, Low-Temperature Processing, Thin-Film Transistors, Field-Effect Mobility

1. INTRODUCTION

Over the past few decades, oxide thin-film transistors (TFTs) have been extensively studied as promising candidates for nextgeneration electronic devices, owing to their excellent electrical properties and high operating stability. In particular, oxide TFTs are well-suited for use as switching or driving components in advanced flexible displays [1-3]. Various oxide-based semiconductors—including indium oxide (In2O3), zinc oxide, indium gallium oxide, and indium gallium zinc oxide—have been widely explored for TFT applications [4-7]. Among these, In2O3 TFTs have garnered considerable attention due to their exceptionally high electron mobility [8,9].

Compared with conventional fabrication techniques, solution-based processing has emerged as a cost-effective and scalable alternative, offering advantages such as large-area deposition and simplified equipment requirements [10,11]. However, its widespread adoption is limited by the high annealing temperatures typically required, and thus compatibility with flexible plastic substrates. To address this challenge without compromising device performance, several low-temperature fabrication techniques—such as dip-coating, high-pressure annealing, and laser sintering—have been investigated [12-14]. Additionally, additive-based approaches such as electrodynamic jet processing have also been explored for low-temperature oxide TFTs [14]. Nevertheless, these methods often involve extended processing durations and sophisticated equipment, leading to increased costs and limited scalability.

Recently, pulsed ultraviolet (UV)-assisted thermal annealing has emerged as an advanced technique for thin-film fabrication. By combining the energy of UV light with thermal treatment, this method facilitates the efficient structural modification of oxide films. Compared to other low-temperature approaches, pulsed UV-assisted thermal annealing offers rapid performance enhancement at reduced processing temperatures [15]. In particular, it enables effective precursor decomposition and crystallization within a short time, under ambient conditions, and at substrate temperatures as low as 200 °C—features that are highly advantageous for flexible and scalable device applications. These benefits make pulsed UV-assisted annealing especially suitable for solution-processed oxide semiconductors, compared to more complex methods like microwave or laser annealing. In this study, we employed pulsed UV-assisted thermal annealing to rapidly fabricate In2O3 thin films at low temperatures. The resulting films were then characterized in terms of their morphology, chemical composition, and the electrical performance of the fabricated TFT devices.

2. EXPERIMENTAL

For the semiconductor layer, a 0.2 mol In2O3 precursor solution was prepared by dissolving indium nitrate hydrate (In(NO3)3·xH2O, Sigma-Aldrich) in 2-methoxyethanol (2-ME, Sigma-Aldrich), followed by stirring at 350 rpm on a hot plate at 75 °C for 5 hours. Prior to oxide deposition, the substrates were sequentially ultrasonicated in acetone, isopropanol, and deionized water, and then treated with O2 plasma to enhance surface hydrophilicity. The precursor solution was filtered through a 0.2 μm PTFE filter and spincoated at 5000 rpm for 35 seconds onto 100 nm-thick SiNx/p+–Si substrates. The coated substrates were subsequently prebaked at 80 °C for 5 minutes to remove residual solvents and organic compounds.

Hard baking was then carried out using two distinct annealing methods. In the conventional thermal annealing process, the prebaked films were placed in an air furnace and annealed at 300 °C for 30 min. In the alternative method, pulsed UV-assisted thermal annealing was performed on a hot plate at 200 °C under pulsed UV irradiation (15 Hz, 100% power, 10 cm distance) for 5 min in ambient air. Finally, aluminum source and drain electrodes were deposited by thermal evaporation under a vacuum of 10-6 Torr using a shadow mask. The channel length (L) and width (W) of the resulting TFTs were 80 μm and 2000 μm, respectively.

3. RESULTS AND DISCUSSION

To investigate the thermal behavior of the In2O3 thin film, thermogravimetric analysis (TGA) was performed on the synthesized In(NO3)3·xH2O precursor solution at a heating rate of 10 °C/min, ranging from room temperature to 600 °C under a nitrogen atmosphere. As shown in Fig 1, an initial weight loss observed between room temperature and 100 °C corresponds to the dehydration of the In(NO3)3·xH2O precursor. A gradual decrease in weight between 100 °C and 300 °C was also observed, likely due to the thermal decomposition of residual nitrate species. Above 300 °C, the weight stabilized at approximately 2.9%, indicating the formation of In2O3. Based on the TGA results, In2O3 thin films were fabricated via thermally annealing the In(NO3)3·xH2O precursor solution at 300 °C.

To investigate the influence of different thermal annealing methods on the optical properties of the In2O3 thin films, UV–Vis spectroscopy was performed on samples prepared under various conditions. Fig 2 (a, b) presents the optical transmittance and absorbance spectra, respectively, of the In2O3 thin films fabricated under different conditions: a bare quartz substrate, a spin-coated film without thermal treatment, a prebaked film at 80 °C for 5 min, and films annealed in an air furnace at 300 °C for 30 and 60 min, and a film treated with pulsed UV-assisted annealing at 200 °C for 5 min. All samples exhibited high optical transmittance of approximately 90% in the visible range. As shown in Fig 2 (b), both the air-furnace-annealed and pulsed UV-annealed films displayed strong absorption below approximately 350 nm. Furthermore, Fig 2(a, b) reveal that in the ultraviolet region (wavelengths shorter than the visible range), an increase in annealing temperature results in decreased transmittance and increased absorbance. This trend is consistent with previous reports [16,17] and is likely attributed to the growth of In2O3 crystallite size induced by high-temperature annealing. These findings indicate that pulsed UV-assisted thermal annealing facilitates rapid and efficient formation of In2O3 films with desirable optical properties at relatively low processing temperatures.

Based on the absorbance spectra, the absorption coefficient (α) of each film was calculated using the following equation:

α = 2.303 × l o g 1 T d

where α is the absorption coefficient, T is the transmittance and d is the thickness of the prepared film, respectively. The optical bandgap (Eg) was estimated from Fig 2 (b) using the Tauc relation [18].

α h v 2 h v - E g

where h is Planck’s constant and v is the frequency of the incident photon. As shown in Fig 2 (c), the direct bandgaps of the In2O3 films annealed in an air furnace at 300 °C for 30 and 60 minutes were approximately 3.76 eV and 3.74 eV, respectively. In contrast, the film treated with pulsed UV-assisted annealing at 200 °C for 5 minutes exhibited a wider direct bandgap of approximately 3.91 eV. These results indicate that pulsed UV-assisted annealing effectively suppresses the bandgap narrowing that is typically observed at higher annealing temperatures, thereby providing an efficient low-temperature processing route for transparent and wide-bandgap In2O3 thin films.

To examine the effects of UV-assisted thermal annealing on the crystallinity of the fabricated films, grazing incidence X-ray diffraction (GIXRD) measurements were performed on In2O3 thin films subjected to both conventional and UV-assisted thermal annealing. Fig 3 presents the GIXRD patterns of the Si substrate and the In2O3 films treated by the two annealing methods. As shown in Fig 3 (a), a sharp diffraction peak at approximately 54.5° within the 2θ range of 50–60° originates from the Si (100) substrate [19]. This peak is also observed in Fig 3(b, c), indicating signal overlap between the substrate and the film signals in this region. Additionally, the peak near 30.6° in Fig 3 (b, c) corresponds to the (222) plane of cubic In2O3, confirming successful crystallization of the films under both annealing conditions [20]. The position of the (222) peak remains nearly unchanged, suggesting that the In2O3 crystal phase is preserved regardless of the annealing method. However, the intensity of the (222) peak varies significantly: the film annealed using a conventional air furnace at 300 °C for 30 minutes (Fig 3 (b)) exhibits the highest intensity, suggesting superior crystallinity. In contrast, the UV-assisted annealed film (Fig 3 (c)), treated at a lower temperature of 200 °C for just 5 minutes, shows a weaker (222) peak, although crystallization is still evident. These findings suggest that UV irradiation can promote crystallization even under mild annealing conditions, underscoring the potential of UV-assisted processes for the low-temperature fabrication of crystalline In2O3 thin films.

The effects of the different thermal annealing methods on the surface morphology and structure of In2O3 films were investigated using AFM and SEM. Fig 4 (a, c) shows the AFM and cross-sectional SEM images, respectively, of the film annealed in an air furnace at 300 °C for 30 min. Fig 4 (b, d) presents the corresponding results for the film annealed at 200 °C for 5 min using pulsed UV-assisted thermal annealing on a hot plate. As shown in the AFM images [Fig 4 (a, b)], the root-mean-square (RMS) surface roughness of the conventionally annealed film was 297 pm, whereas the UV-assisted annealed film exhibited a lower RMS roughness of 224 pm, indicating a smoother and more uniform surface. Similarly, the cross-sectional SEM images [Fig 4 (c, d)], show that the film thicknesses were approximately 22 nm and 17 nm for the conventional and UV-assisted annealing methods, respectively. These results confirm that the choice of annealing method significantly affects both the surface morphology and the thickness of the resulting In2O3 thin films.

Fig 5 (a, b) shows the XPS core-level spectra of the In 3d and O 1s regions, respectively, for In2O3 thin films prepared using conventional air furnace annealing and pulsed UV-assisted thermal annealing. As shown in Fig 5 (a), the In 3d spectrum of the furnace-annealed film exhibits two primary peaks at 451.5 eV and 443.9 eV, corresponding to In 3d3/2 and In 3d5/2, respectively, confirming the presence of indium in the In(III) oxidation state [21]. Compared to the furnaceannealed film, the In 3d spectrum of the UV-assisted annealed film showed no significant differences in binding energy positions or peak intensities, indicating the indium had similar chemical states in both samples. In the O 1s spectra shown in Fig 5 (b), both films exhibit two distinct peaks: one near 529.1 eV, attributed to lattice oxygen, and another in the 530.2-533.1 eV range, associated with oxygen-related defects and surface-adsorbed oxygen species [22]. These results suggest that the chemical composition and bonding states of the In2O3 films remain largely unaffected by the choice of annealing method, indicating that pulsed UV-assisted thermal annealing preserves the chemical integrity of the films. Although previous studies on UV-assisted thermal annealing have reported a shift in the binding energy to lower values, implying UV-induced modifications to the film's chemical states at low temperatures [23], no significant shift was observed in this study, likely because of the relatively short duration of the pulse UV irradiation.

Fig 6 illustrates the carrier concentration of In2O3 films prepared by two different thermal annealing methods. When the annealing time was increased from 4.37 × 1014 to 9.56 × 1015 cm-3 the annealing time increased from 30 min to 1 h. In contrast, using the pulsed UV-assisted thermal annealing method, the annealing temperature was reduced from 300 °C to 200 °C, and the annealing time was significantly shortened to 5 minutes. Nevertheless, the carrier concentration increased markedly to 2.75 × 1016 cm-3, attributed to the effect of pulsed UV irradiation, which effectively enhanced the carrier generation in the film. A similar trend was reported by Tsay et al., who observed increased carrier concentrations in metal oxide thin films after prolonged UV irradiation [24].

The increase in carrier concentration after UV-assisted annealing is attributed to the formation of oxygen vacancies and improved precursor decomposition triggered by high-energy UV photons. UV irradiation promotes the dissociation of both surface-adsorbed and lattice oxygen, generating oxygen vacancies and free electrons, which enhance n-type conductivity. Additionally, accelerated formation of M-O-M networks under UV exposure contributes to better film densification and electrical activation, even at low processing temperatures [25].

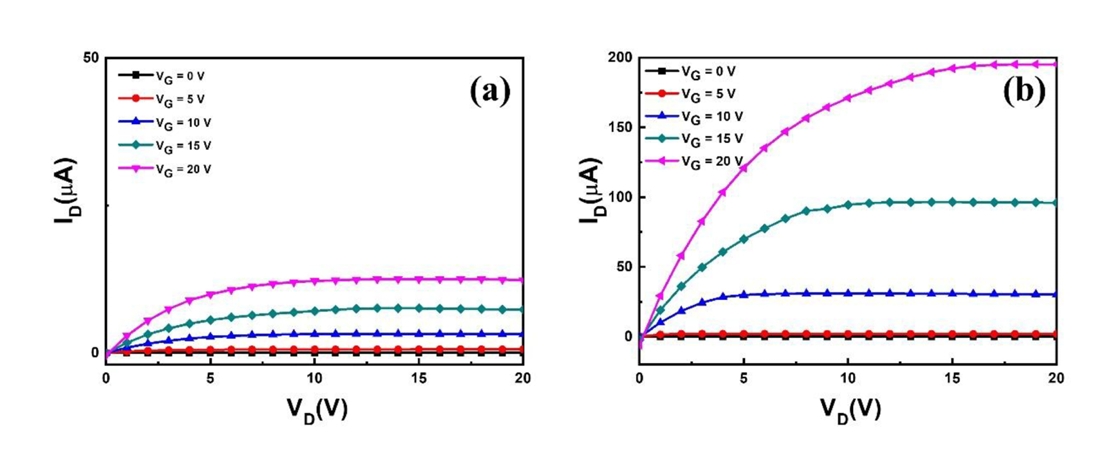
To investigate the effect of pulsed UV-assisted thermal annealing on the electrical properties of metal oxide thin-film devices, In2O3 TFTs with bottom-gate/top-contact structures were fabricated using different annealing methods. Fig 7 (a,b) presents the output characteristics of TFTs prepared via conventional air-furnace annealing and pulsed UV-assisted thermal annealing, respectively. The output characteristics were measured under ambient air conditions by sweeping the drain voltage (VD) from 0 to 20 V in 1 V increments at various constant gate voltages (VG). The TFTs fabricated using both annealing methods exhibited clear pinch-off behavior and excellent current saturation, indicating an nchannel enhancement-mode operation.

Fig 8 (a,b) shows the transfer characteristics of the two TFTs. Transfer measurements were conducted by varying VG from –10 V to 30 V in 1 V steps under a fixed VD of 15 V. The TFTs prepared via pulsed UV-assisted annealing exhibited higher drain currents (ID) in both the output and transfer characteristics. This improvement is attributed to the increased carrier concentration of the semiconductor layer, as confirmed by Hall effect measurements.

Table 1 summarizes the extracted electrical parameters of the fabricated In2O3 TFTs. The on/off current ratios (Ion/Ioff), derived from the ID–VG curves in Fig 8 (a, b), are approximately 2.67 × 106 and 3. 88 × 107, respectively. The threshold voltages (VTh), extracted by linear extrapolation of the √ID–VG curves, are 3.90 V and 4.74 V, respectively.

The field-effect mobility (μsat) in the saturation regime was calculated using the following equation:

I D = W μ C i 2 L V G - V T h 2

where Ci is the gate dielectric capacitance per unit area, and W and L are the channel width and length, respectively.

It is evident that pulsed UV-assisted thermal annealing significantly improves the transistor performance, achieving an enhanced μsat of 1.38 cm2/V·s and a higher on/off current ratio of approximately 107. These results demonstrate that pulsed UV-assisted thermal annealing enables the fabrication of high-performance semiconductor devices at low temperatures and short processing times. Similar findings were reported by Kim et al., who improved the electrical performance of TFTs I by extending the pulsed UV treatment duration, ultimately achieving a device performance comparable to that of conventionally prepared devices [15].

As shown in Fig 9, a clockwise hysteresis was observed in the transfer curves, and the VTh shifted in the positive direction when the VG sweep direction was reversed. Although pulsed UV-assisted thermal annealing enhanced the electrical performance of the devices, the magnitude of the VTh shift was significantly larger compared to that observed in devices fabricated using conventional annealing. Contact angle measurements revealed that the semiconductor surface treated via pulsed UV-assisted annealing exhibited more hydrophilic characteristics than that treated with conventional thermal annealing. This increased hydrophilicity promotes the adsorption of water molecules from the ambient environment, leading to reduced electrical stability. In addition to increased surface hydrophilicity, it is possible that the short annealing duration in the UV-assisted process may lead to residual bulk trap states or higher porosity in the semiconductor layer, which could also contribute to the observed hysteresis and Vth instability. Therefore, although pulsed UV-assisted annealing improves device performance, additional surface passivation is essential to ensure long-term operating stability.

4. CONCLUSIONS

In conclusion, this study demonstrates that pulsed UV-assisted thermal annealing is an effective low-temperature processing strategy for fabricating high-performance In2O3 thin films for TFT applications. Compared to conventional thermal annealing at 300 °C, pulsed UV-assisted annealing at 200 °C significantly improved film properties, including optical transparency, crystallinity, and carrier concentration. As a result, TFTs based on UV-annealed films exhibited superior electrical characteristics, such as higher drain currents and enhanced field-effect mobility. However, the increased hydrophilicity of the UV-annealed films highlights the need for additional surface passivation to ensure reliable device performance under ambient conditions. Despite this limitation, the pulsed UV-assisted annealing process offers a scalable, energy-efficient, and substrate-compatible route, making it well-suited for flexible electronics and temperature-sensitive applications. These findings advance the development of transparent oxide semiconductor technologies and support the sustainable and cost-effective manufacturing of next-generation electronic devices. These findings highlight not only the effectiveness of pulsed UV-assisted annealing as a low-temperature processing method, but also its potential for large-area, ambient, and flexible electronics manufacturing. The ability to achieve high electrical performance with minimal thermal budget makes this approach a promising candidate for next-generation oxide semiconductor device integration.

Notes

[1] ACKNOWLEDGEMENT

This research was supported by Hallym University Research Fund, 2024, Republic of Korea (HRF-202401-016).

REFERENCES

1 
He Y., Wang X., Gao Y., Hou Y., Wan Q., J. Semicond,39, 011005 (2018)Google Search
2 
Zhou Y., Roy V., Xu Z., Kwong H., Wang H., Lee C., Appl. Phys. Lett,98, 092904 (2011)Google Search
3 
Liang K., Wang Y., Shao S., Luo M., Pecunia V., Shao L., Zhao L., Zhao J., Chen Z., Mo L., Cui Z., J. Mater. Chem. C,7, 6169 (2019)Google Search
4 
Lee J., Moon J., Pi J., Ahn S., Oh H., Kang S., Kwon K., Appl. Phys. Lett,113, 112102 (2018)Google Search
5 
Lee H., Zhang X., Hwang J., Park J., Materials,9, 851 (2016)Google Search
6 
Yang C., Chang S., Chang T., Wei C., Juan Y., Chiu C., Weng W., IEEE Electron Device Lett,38, 572 (2017)Google Search
7 
Lim W., Kim S., Wang Y., Lee J., Norton D., Pearton S., Ren F., Kravchenko I., J. Electrochem. Soc,155, H383 (2008)Google Search
8 
Yap B. K., Zhang Z., Thien G. S. H., Chan K. Y., Tan C. Y., Appl. Surf. Sci. Adv,16, 100423 (2023)Google Search
9 
Yeom H., Ko J., Mun G., Park S., J. Mater. Chem,C4, 6873 (2016)Google Search
10 
Zhu L., He G., Lv J., Fortunato E., Martins R., RSC Adv,8, 16788 (2018)Google Search
11 
Choi C., Han S., Su Y., Fang Z., Lin L., Cheng C., Chang C., J. Mater. Chem. C,3, 854 (2015)Google Search
12 
Kim S., Park J., Lee H., Korean J. Met. Mater,62, 245 (2024)Google Search
13 
Kim W., Tak Y., Ahn B., Jung T., Chung K., Kim H., Sci. Rep,6, 23039 (2016)Google Search
14 
Rahman M., Lu Z., Kwon K., AIP Adv,8, 095008 (2018)Google Search
15 
Kim D., Park J., Hwang J., Kim H., Ryu J., Lee K., Baek K., Do L., Choi J., Electron. Mater. Lett,11, 82 (2015)Google Search
16 
Asogwa P., Ezugwu S., Ezema F., Superf. Vac,23, 18 (2010)Google Search
17 
Kumar G., Savariraj A., Karthick S., Selvam S., Balamuralitharan B., Kim H., Viswanathan K., Vijaykumar M., Prabakar K., Phys. Chem. Chem. Phys,18, 7284 (2016)Google Search
18 
Tauc J., Mater. Res. Bull,3, 37 (1968)Google Search
19 
Lee H., Zhang X., Kim J., Kim E., Park J., Materials,11, 2103 (2018)Google Search
20 
Azianty S., Saadah A. R., Boon T. G., Mater. Today: Proc,5, S186 (2018)Google Search
21 
Tetzner K., Isakov I., Regoutz A., Payne D., Anthopoulos T., J. Mater. Chem. C,5, 59 (2017)Google Search
22 
Liu H., Zhai H., Hu C., Yang J., Liu Z., Nanoscale Res. Lett,12, 466 (2017)Google Search
23 
Tsay C., Liang S., Mater. Sci. Semicond. Process,71, 441 (2017)Google Search
24 
Tsay C., Wu P., Ceram. Int,43, 11874 (2017)Google Search
25 
Glass D., Cortés E., Ben-Jaber S., Brick T., Peveler W. J., Blackman C. S., Howle C. R., Quesada-Cabrera R., Parkin I. P., Maier S. A., Nanomaterials,9, 1366 (2019)Google Search

Figures and Table

Fig. 1.

Thermogravimetric analysis (TGA) curve of the synthesized In(NO)3·xH2O precursor solution, illustrating the weight loss behavior during heating from room temperature to 600 °C under a nitrogen atmosphere.

../../Resources/kim/KJMM.2025.63/kjmm-2025-63-10-812f1.jpg
Fig. 2.

Optical characterization of as-deposited and annealed In2O3 thin films: (a) UV–Vis transmittance spectra, (b) absorbance spectra, and (c) Tauc plots of direct bandgap estimation.

../../Resources/kim/KJMM.2025.63/kjmm-2025-63-10-812f2.jpg
Fig. 3.

GIXRD patterns of (a) a Si(100) substrate, (b) an In2O3 thin film annealed in air at 300 °C for 30 min, and (c) an In2O3 thin film annealed at 200 °C for 5 min under pulse UV irradiation. The diffraction peak near 30.6° corresponds to the (222) plane of cubic In2O3, while the peak at approximately 54.5° originates from the Si substrate and appears in all patterns.

../../Resources/kim/KJMM.2025.63/kjmm-2025-63-10-812f3.jpg
Fig. 4.

AFM images of In2O3 thin films prepared by (a) conventional thermal annealing, and (b) pulse UV-assisted thermal annealing. Cross-sectional SEM (c) conventional thermal annealing, and (d) pulse UV-assisted thermal annealing.

../../Resources/kim/KJMM.2025.63/kjmm-2025-63-10-812f4.jpg
Fig. 5.

XPS core-level spectra of In2O3 thin films prepared via conventional thermal annealing and pulse UV-assisted thermal annealing: (a) In 3d region and (b) O 1s region.

../../Resources/kim/KJMM.2025.63/kjmm-2025-63-10-812f5.jpg
Fig. 6.

Variation in the carrier concentration of solution-processed In2O3 films prepared by different thermal annealing methods.

../../Resources/kim/KJMM.2025.63/kjmm-2025-63-10-812f6.jpg
Fig. 7.

Output characteristics of In2O3 TFTs fabricated by (a) thermal annealing at 300 °C for 30 minutes in an air furnace and (b) pulsed UV-assisted thermal annealing at 200 °C for 5 minutes on a hot plate.

../../Resources/kim/KJMM.2025.63/kjmm-2025-63-10-812f7.jpg
Fig. 8.

Transfer characteristics of In2O3 TFTs fabricated by (a) thermal annealing at 300 °C for 30 minutes in an air furnace and (b) pulsed UV-assisted thermal annealing at 200 °C for 5 minutes on a hot plate.

../../Resources/kim/KJMM.2025.63/kjmm-2025-63-10-812f8.jpg
Fig. 9.

Hysteresis characteristics of In2O3 TFTs fabricated by (a) thermal annealing at 300 °C for 30 minutes in an air furnace and (b) pulsed UV irradiation at 200 °C for 5 minutes on a hot plate.

../../Resources/kim/KJMM.2025.63/kjmm-2025-63-10-812f9.jpg
Table 1.

Summary of the electrical parameters of In2O3 TFTs prepared by conventional thermal annealing and pulsed UV-assisted thermal annealing.

Thermal Annealing Method Threshold Voltage [V] Field Effect Mobility [cm2/V·s] On/Off Ratio
Air Furnace 3.90 0.16 2.67×106
Pulse UV + Hot Plate 4.74 1.38 3.88×107