The Journal of
the Korean Journal of Metals and Materials

The Journal of
the Korean Journal of Metals and Materials

Monthly
  • pISSN : 1738-8228
  • eISSN : 2288-8241

Editorial Office


  1. 국립순천대학교 신소재공학과 (Department of Materials Science and Metallurgical Engineering, Sunchon National University, Republic of Korea 57922)



316L stainless steel, Plasma arc welding, Acid pickling, Microstructure, Mechanical property

1. 서 론

스테인리스강은 10.5 wt% 이상의 Cr을 포함한 합금강으로, Ni 등 금속 원소를 다량 함유하여 탄소강보다 우수한 내식성을 가진다[1]. 0.03 wt% 이하의 C 및 2–3wt%의 Mo가 첨가된 316L 스테인리스강은 Cl- 이온이 존재하는 환경에서도 우수한 내식성을 보이며, 용접 시 탄화물 석출이 억제되어 입계 부식 저항성도 뛰어나다. 또한, 우수한 고온 강도, 인성을 가져 식품, 화학, 의료, 건설, 기계, 원자력 등 다양한 산업분야에서 활용된다[2-7].

플라즈마 아크 용접(plasma arc welding, PAW)은 단일 패스로 작업 시간 단축을 통한 효율적이며, 모재에 대한 열 입력 감소로 열변형 억제가 가능한 용접 방법이다[6]. PAW 공정에서의 입열량은 316L 스테인리스강 용접부의 미세조직 및 기계적 특성에 큰 영향을 미친다[7]. 예를 들어, 높은 용접 전류와 낮은 용접 속도는 열 입력을 증가시킨다. 이로 인해 낮아진 응고 속도는 조대한 수지상과 높은 분율의 δ-페라이트를 형성시키며, 최종적으로 기계적 특성이 저하된다[8,9]. 추가적으로, 부적합한 용접 전류와 속도에 의한 급격한 온도 변화는 용접부 및 HAZ(heat-affected zone)에 잔류 응력을 유발하여 균열 발생을 촉진한다. 또한, HAZ에서 과도한 경화를 일으키고 불균일한 미세조직을 형성하여, 최종적으로 부품의 치수 안정성을 저하시킬 수 있다[10,11].

용접 후열처리는 용접부의 미세조직 불균일성을 감소시킬 수 있는 효과적인 방법이다. 오스테나이트계 스테인리스강을 700–1250 °C의 공기 중 열처리하면, 용접 중 고온에서 형성된 δ-페라이트를 안정한 오스테나이트로 변태시켜 균일한 미세조직을 얻을 수 있다. 반면, 산화로 인해 Cr2O3, (Fe, Cr)3O4 스피넬 등 Fe, Cr 산화물이 표면에 형성된다[12]. Cr2O3의 형성에 의해 모재 내 Cr 농도가 12 wt% 미만으로 감소하면 (Cr 고갈층 형성), 부동태 층의 재형성이 어렵고 국부 부식이 발생할 수 있다[12,13]. Cr 고갈층을 제거하고 미려한 표면을 얻기 위해 후열처리 다음으로 산세 공정이 수반된다[12]. 스테인리스강의 산세는 일반적으로 H2SO4, HCl, HF, HNO3 또는 이들의 혼합 용액을 사용한다[14-20]. HCl은 강한 산성으로 Cr2O3 제거에 효과적이지만 염화물 부식의 위험이 있으며, HF는 SiO2를 포함하는 산화층의 제거에 필수적이나 독성이 강해 인체 노출 시 신경계 손상을 유발할 수 있다. HNO3는 염화물이 없어 국부 부식 위험이 낮지만, NOx 배출 문제로 인해 사용이 감소하는 추세이다. 저비용의 H2SO4는 주로 저합금강의 산세에 활용되거나, HF와 HCl 등 산의 산세 성능 향상을 위한 혼합제로 사용된다. 따라서 산업 현장에서는 경제성과 환경 규제를 모두 고려한 혼합 산 용액의 사용이 늘어나고 있다.

기존 연구들은 대부분 실험실 규모에서 스테인리스강의 미세조직과 기계적 특성에 미치는 특정 용접 공정변수의 영향만을 개별적으로 조사하였다[6,10,11,21,22]. 반면, PAW 공정과 뒤따르는 용접 후열처리, 산세 거동을 연계하여 산업 현장 대형 부품의 미세조직과 기계적 특성에 미치는 영향을 체계적으로 분석하거나, 이 결과를 산업 현장에 적용할 수 있는 실용적인 연구는 부족하다. 본 연구에서는 PAW 용접 전류와 속도가 316 L 스테인리스강의 미세조직 및 인장 특성에 미치는 영향을 고찰하고, 이어지는 용접소재의 산세 거동을 분석하였다. 316 L 스테인리스 강관을 PAW로 250–300 A의 용접 전류와 50–60 cm/min의 용접 속도 범위에서 조관하였다. 용접 조건에 따른 용접부의 미세조직을 관찰하고, 기계적 특성을 평가하였다. 또한, 후열 처리에서 형성된 표면 산화층을 분석하고, 산세 시간과 사이클에 따른 산세 거동을 평가하여 산 용액의 성능을 예측할 수 있는 모델을 제안하였다.

2. 실험 방법

두께 5mm의 316L 스테인리스강 판재(POSCO, Republic of Korea)를 연구에 사용하였으며, 표 1에 화학 조성을 나타내었다. 외경 406.4 mm, 길이 3,000mm의 강관은 PAW와 이어지는 가스 텅스텐 아크 용접(220 A, 19V, 20 cm/min)을 통해 제조하였다. 용가재는 AWS A5.9 규격을 참조하여 1.2 mm 직경의 316L 스테인리스강 (KISWEL, Republic of Korea) 와이어를 사용하였다. 용접 전류(250–300 A)와 속도(50–60 cm/min)를 변화시킨 PAW 공정 변수를 적용하였으며, 해당 수치를 표 2에 제시하였다. 입열량은 전류×전압 속도식을 통해 계산하였다. 용접된 강관은 공기 중 1050 °C에서 11분간 열처리 후 수냉하였다. 산세 시험에서는 강관 용접부를 중심으로 가로 30 mm, 세로 30mm, 높이 5mm의 크기로 절단한 소형 시편을 사용하였다. 60 °C로 유지된 200mL의 혼합 산 용액(8 vol% HF, 10 vol% H2SO4, 82 vol% 증류수)에 시편을 침지하였으며, 반응 촉진을 위해 열처리 시 강관 표면에서 분리된 산화층 스크랩 10g을 용액에 첨가하였다. 산업 현장의 산세 공정 중 고압수 세척을 모사하기 위해, 50분간 침지 이후부터 매 10분마다 시편의 표면을 솔로 문질러 잔류 산화층을 제거하였다. 그림 1은 Fe2O3 및 Fe3O4로 구성된 산화층 스크랩의 X-선 회절 패턴을 나타낸다.

용접 후 미세조직, 열처리 후 단면 분석을 위해, #400 SiC 연마지, 3 μm 다이아몬드 서스팬션, 0.04 μm 콜로이달 실리카로 시편을 연마하였다. 이후 광학현미경(OM, Eclipse MA 100N, Nikon, Japan), 전계방사형 주사전자현미경(FESEM, JSM-7610F Plus, JEOL, Japan), 전자 후방산란 회절 분석기(EBSD, EDAX Velocity Super, Gatan Ametek, United States)를 활용하여 미세조직을 분석하였다. 에너지 분산 X선 분광기(EDS, Ultim Max, Oxford Instruments, United Kingdom)을 활용하여 산화층의 화학 조성을 조사하였다. 용접부가 중앙에 위치한 인장 시편(ASTM E8/E8M[23])의 기계적 특성을 10-3 s-1의 변형률 속도에서 만능 재료시험기(DTU-900HCS, Daekyung Tech, Republic of Korea)를 통해 평가하였다. 산세 중 시편 질량은 매 10분마다 측정되었으며, 산세 완료는 육안으로 판단하였다. X-선 회절분석기(XRD, D8 Discover, Bruker, Germany)와 SEM을 사용하여 산세 전후 시편 표면층을 분석하였다.

3. 결과 및 고찰

3.1. 미세조직과 기계적 특성에 미치는 용접 전류 및 용접 속도의 효과

표 2의 용접조건으로 제조된 강관의 용접부 미세조직을 그림 2에 나타내었다. 밝은 부분은 오스테나이트이고, 어두운 부분은 수지상 구조의 δ-페라이트이며, 등축정 결정립은 관찰되지 않았다. 이러한 미세조직은 가장 높은 온도 구배 방향으로 하부구조가 성장하였다는 것을 의미한다[24]. 용접 조건에 따라 수지상 구조의 δ-페라이트 크기와 간격이 뚜렷하게 달라지는데, 이는 냉각 속도와 관련이 있다[8,9,25-28]. 낮은 냉각 속도는 높은 입열량에서 유발되며, 조대한 수지상을 형성한다. 반면, 낮은 입열량은 급격한 냉각을 일으키고 미세한 조직을 발현한다. 높은 입열량을 나타내는 조건 2, 3, 6에서는 조대한 δ-페라이트(2차 수지상간격 : 평균 6.9–9.7 μm)가 확인된다. 반대로, 낮은 입열량을 나타내는 조건 4, 7, 8에서는 조밀한 δ-페라이트(2차 수지상간격 : 평균 3.7–4.9 μm)가 관찰된다.

용접 조건과 무관하게 skeletal 및 lath 형상의 δ-페라이트가 동시에 관찰되지만, 그림 3에 나타난 바와 같이 δ-페라이트의 분율은 용접 조건에 영향을 받는다. 용접 속도를 기준으로 용접 조건을 나열하면, 조건 1–3 (50 cm/min), 4–6 (55 cm/min), 7–9 (60 cm/min) 구간으로 구분할 수 있다. 각 조건 구간에서 용접 전류가 증가함에 따라 δ-페라이트의 분율은 감소한다. 용접 속도가 증가할수록 δ-페라이트의 분율도 증가한다. 입열량이 가장 높은 조건 3에서 δ-페라이트가 가장 적고(7.5±1.1 vol%), 입열량이 가장 낮은 조건 7에서 가장 많다(9.7±1.8 vol%). 한편, 용접 속도는 다르지만 입열량이 동일한 조건 1, 5, 9에서는 δ-페라이트의 분율은 약 8.6 vol%로 유사하게 측정되었다. 304L 스테인리스 강의 δ-페라이트의 분율에 미치는 PAW 전류의 영향을 연구한 결과에 따르면, 75 A에서 125 A로 용접 전류가 증가할수록 δ-페라이트 분율은 11 vol%에서 8 vol%로 감소하였다[28]. 이는 본 연구에서 나타난 용접 전류에 따른 δ-페라이트 분율 변화(10 vol%에서 7 vol%로 감소)와 같은 경향을 나타낸다.

그림 4는 용접 조건 7과 9로 제조된 강관의 용접부 EBSD 분석 결과를 나타낸다. 역극점도를 보면, 용접부에서는 열이 방출된 방향을 따라 결정립이 성장한 것을 확인할 수 있다. 그리고 용접부의 평균 결정립 크기는 243.3(조건 7), 293.4(조건 9)μm로, 26.9(조건 7), 11.5(조건 9) μm의 크기를 가지는 모재 대비 조대하다. 또한, 그림 4a, b의 HAZ의 결정립 크기를 비교해보면, 용접 조건 9로 제조된 시험편이 더 큰 결정립을 가지는데, 이는 용접 조건 7보다 높은 용접 전류로 용접부에 가해진 열량이 높았고, 느린 냉각 속도에 따라 결정립이 성장할 수 있는 충분한 시간이 주어졌기 때문이다. 이는 그림 2에서 확인된 입열량에 따른 2차 수지상간격의 경향과도 일치한다.

그림 5는 용접 조건에 따른 인장시험 결과를 나타낸다. 같은 용접 속도를 가지는 용접 조건 구간에선, 용접 전류가 증가할수록 강도와 연신율은 감소하는 경향이 관찰된다. 또한, 용접 속도가 증가함에 따라 강도와 연신율도 증가한다. 316L 스테인리스강 용접부의 기계적 특성은 크게 용접부 내 δ-페라이트의 분율, 결함, 결정립 크기에 영향을 받는다[25,29]. 기존 연구에 따르면 δ-페라이트의 분율이 증가할수록, 연성과 균열 저항성은 증가하지만 강도는 낮아진다[25,30]. 또한, 높은 용접 속도에서는 용접부 내 결함을 형성시켜 낮은 강도를 나타낸다[29,31-33]. 그리고, Hall-Petch 방정식에 따라, 결정립 크기(또는 2차 수지상 간격)가 줄어들수록 강도가 증가한다[34]. 연신율 또한 결정립 미세화로 인해 증가한다고 알려져 있다[35]. 본 연구에서 용접 조건에 따른 δ-페라이트 분율의 차이는 최대 3 vol%이다. 반면, δ-페라이트의 분율에 따른 기계적 특성 변화를 보고한 연구에서 고려한 분율 범위는 1.2–8 vol%이다[25]. 본 연구의 용접 조건에 따라 관찰되는 δ-페라이트 분율의 범위가 문헌 결과 대비 상대적으로 낮기 때문에, δ-페라이트의 분율이 기계적 특성에 미치는 영향은 미미할 것으로 예상된다. 또한, 그림 2에서 확인하였듯이, 모든 용접 조건에서 균열 등 용접부 내 결함이 관찰되지 않았기에, 용접 결함에 의한 강도 저하도 무시할 수 있다. 반면, 용접 조건에 따라 2차 수지상 간격의 크기가 최대 2.6배 이상 차이를 나타내므로 (그림 2), 그림 3의 용접 조건에 따른 기계적 특성 변화는 조직 미세화에 기인한 것으로 판단된다.

모든 용접 조건에서 인장 시편의 파단은 모재가 아닌 용접부에서 발생하였다. 그림 6은 입열량이 가장 높은 용접 조건 3(그림 6a)과 가장 낮은 용접 조건 7(그림 6b)의 파단면을 나타낸다. 두 파단면 모두 딤플(dimple)이 지배적으로 관찰되며, 연성 파괴가 주 기구임을 알 수 있다. 조건 7보다 3에서 더 큰 크기의 딤플과 기공도 확인된다. 변형 전 용접부 내 기공을 이미지 분석한 결과, 모든 조건에서 0.1 vol% 이하의 기공률이 측정되었다. 하지만 그림 6a의 삽입 그림(inset)에서 보이듯이, 용접 조건 3으로 제조된 시험편에서는 일부 영역에서 수십 미크론 이하 직경의 기공이 관찰되었다. 용접 조건 3은 가장 입열량이 높은 조건이기 때문에, 응고되는 과정에서 용융 풀(melt pool) 내 미세 기공이 생성된 것으로 판단된다. 따라서, 미세 기공은 인장 시험 중 응력 집중의 기점으로 작용하였을 것이다. 추가로, 파괴 후 관찰되는 딤플의 크기는 변형 전 금속의 결정립 크기에 비례한다[35]. 또한, 큰 결정립을 가지면 게재물 등 특정 위치에 보이드(void)의 핵생성과 성장이 집중되고 국부적인 소성변형이 뒤따른다. 반면, 작은 결정립의 경우 균일한 보이드의 핵생성, 성장을 통해 딤플을 형성한다[36]. 또한, 작은 결정립은 전위 활주(glide)와 결정립계 미끄러짐(sliding)과 이동(migration)을 동반하기에, 큰 결정립 대비 상대적으로 높은 변형률에서 보이드의 형성이 보고된다[37]. 따라서 작은 결정립은 두 용접 조건으로 제조된 인장 시편 모두 연성 파괴 거동을 나타냈지만, 조건 7로 제조된 시편이 상대적으로 적은 미세 기공과 미세한 결정립을 가지기 때문에 높은 강도와 연신율을 나타내는 것으로 사료된다.

PAW 공정 변수의 영향을 다룬 과거 연구는 주로 실험실 단위에서의 마이크로(micro) PAW[32, 38-40]에 초점을 맞추어 진행되었으며, 얇은 두께(0.5–0.8 mm)의 판재를 용접하기 위해 상대적으로 낮은 용접 전류(8–12 A)와 속도(15–28.2 cm/min)의 영향을 분석하였다. 반면, 산업 현장의 PAW 공정으로 제조한 대형 강 부품(두께 5mm 이상)을 연구한 문헌에서는 215 A 및 13 cm/min[41], 120–180 A 및 18–26 cm/min[42], 158 A 및 16 cm/min[43]의 용접 전류와 속도를 다루었으며, 본 연구와 비교하여 용접 전류는 비슷하지만 용접 속도는 2배 이상 낮다. 이 때 측정된 인장강도와 모재 대비 용접부 강도 비는 각각 557–625 MPa, 1.01–1.29[41, 43]이며, 본 연구에서 얻어진 수치(인장강도 605 MPa, 모재 대비 용접부 강도비 1.03)와 유사하다. 이 결과는 기존 연구와 비교하여도 본 연구에서 도출된 용접 조건으로 건전한 용접부를 확보할 수 있다는 것을 의미한다. 게다가 산업 현장의 생산 효율을 고려하면, 본 연구의 높은 용접 속도는 기 보고된 조건들보다 2배 이상의 높은 효율을 달성할 수 있을 것이다.

3.2. 산세 거동

열처리와 산세는 강도와 연성이 높은 조건 7로 용접된 316L 스테인리스강 시편으로 진행하였다. 그림 7은 열처리 한 시편의 표면을 SEM으로 관찰한 사진이다. 열처리 후 모재 표면은 전체적으로 평탄하며 일부 영역에서 조대한 산화물 nodule이 국부적으로 관찰된다 (그림 7a). 또한, 결정립 내 대비 선택적으로 산화된 결정립계도 드러난다. 반면, 용접부는 전반적으로 거칠고 불균일한 산화층이 형성되었으며, 미세한 산화물 nodule이 각진 형태로 분포한다(그림 7b).

그림 8은 열처리 시편의 단면을 나타내는 SEM, EDS 분석 결과이다. 그림 8a, b는 각각 모재와 용접부의 단면으로 흰 점선을 기준으로 위는 산화층, 아래는 모재를 나타낸다. 모재에 형성된 산화층의 평균 두께는 4.9±1.0 μm이지만, 용접부의 산화층은 11.3±1.3 μm의 두께로 약 2.3배 이상 두껍다. 모재와 용접부 모두 산화층/금속 계면에서 균열은 발견되지 않았다. 일부 산화층 내부에서 균열이 관찰되었으나, 시편 준비 중 생성된 것으로 판단된다.

일정 온도에서 오스테나이트계 스테인리스강의 공기 산화 시, 산화층의 성장 거동은 금속의 조성과 결정립 크기에 영향을 받는다[44-46]. 용접에 의한 급격한 냉각으로 준평형 상태에서 적은 양의 δ-페라이트가 형성되면, 높은 확률로 미세 편석에 의해 Cr 결핍층이 생성된다[44, 45]. 모재에서는 산화 초기에 Cr 확산에 의해 치밀한 Cr2O3 부동태층을 우선적으로 균일하게 형성하여 지속적인 산화를 억제한다. 하지만 이러한 Cr 결핍층에서는 상대적으로 낮은 Cr 농도를 가지는 (Fe, Cr)3O4 스피넬이 내부 산화층으로 형성되고, Fe 이온의 외부 확산과 O 이온의 내부 침투를 효과적으로 억제하지 못해 두꺼운 Fe-rich 산화층이 형성된다. 이러한 결과는 기존 연구에서도 보고된 바 있다[45]. 또한, 그림 6에 나타나듯이, 용접부의 결정립 크기(평균 243.3 μm)는 모재의 그것(평균 26.9 μm) 대비 9배 이상 크다. 결정립의 크기와 Cr의 유효확산계수(Deff)는 다음 식과 같이 표현된다[47].

(1)
D e f f = D L + 2 δ d ( D G B + D L ) D L + 2 δ d D G B

DL, DGB는 각각 결정립계 및 체적 확산계수를 의미하며, δd는 각각 결정립계의 너비와 결정립 크기이다. 결정립의 크기가 줄어들수록 결정립계가 차지하는 부피는 증가하여, Cr의 확산이 활발하게 일어난다. DGB/DL는 105[48], δ는 0.5 nm[49]로 가정하고 모재와 용접부의 유효 확산계수비를 계산한 결과, 용접부보다 모재에서 Cr이 3.34배 더 빠르게 확산하는 것으로 예상된다. 이렇게 용접부에 존재하는 Cr 결핍층과 결정립계를 따른 Cr의 느린 확산으로 보호적인 Cr 산화물 형성이 제한되어, 모재 대비보다 두꺼운 산화층이 생성된 것으로 판단된다.

그림 8의 EDS 선, 면 조성 분석 결과를 보면, 산화층은 크게 (Fe, Cr)3O4 스피넬층과 Ni-Fe 금속층이 혼합된 구조로 구분된다. (Fe, Cr)3O4 스피넬이 산화 중 모재 내부로 성장함에 따라 상대적으로 낮은 산소 친화도를 가지는 Ni이 방출되기 때문에[50], Ni-Fe 금속이 (Fe, Cr)3O4 스피넬에 둘러 싸인다. 또한, 열역학 계산에 따르면 (Fe, Cr)3O4 스피넬을 형성하는 산소 분압은 Ni-Fe 금속을 산화시키기에 낮은 수준이다[51].

그림 9은 최대 60 분의 산세 과정 후 시편 앞면과 뒷면의 표면 형상을 나타내는 사진이다. 산세를 진행하지 않은 초기 시편의 표면 산화로 인한 어두운 표면은, 첫 20분간 산세 중 벗겨지기 시작한다. 앞, 뒷면의 모재 산화층은 쉽게 제거되지만, 용접부(그림 9의 빨간색 사각형)는 상대적으로 느리게 제거된다. 이는 그림 8b에서 나타나듯이 모재보다 용접부 표면에 더 두껍게 형성된 산화층에 기인한다. 30–40분간 추가적인 산세를 진행함에 따라 모재의 산화층은 대부분 제거된다. 하지만, 특히 용접부 토우(weld toe) 인근영역에는 여전히 산화층이 잔존하는데, 곡률로 인해 산 용액에 노출되는 면적이 작기 때문이다. 50분간 산세 이후부터 표면을 솔로 문질렀으며, 60분 산세 및 솔질 후 산화층은 육안으로 관찰되지 않았다. 추가적으로, X-선 회절 분석을 통해 산세 전후 표면층을 분석하였다(그림 10). 용접 후열처리 이후에 표면에는 Fe3O4와 Fe2O3가 관찰되었지만, 산세 후에는 모재인 오스테나이트만 나타난다.

산세 시간에 따른 모재(그림 11)와 용접부(그림 12)의 표면 형상을 SEM으로 관찰하였다. 모재의 표면을 보면, 초기 10분간 산세에도 불구하고 표면에 산화층이 존재한다(그림 11a). 산화층 내부로 형성된 균열이 산세 전(그림 7a)과의 차이점인데, 이러한 균열은 산 용액이 금속 표면으로 침투하는 경로로 작용한다. 산세 시간이 40분까지 증가할수록, 표면 산화층은 점점 제거되고 모재가 드러난다(그림 11b, c, d). 특히, 모재의 미세한 결정립계가 두드러지는데(그림 11의 노란색 화살표), 이는 상대적으로 높은 에너지를 가지는 결정립계가 우선적으로 용해(입계 부식)되기 때문이다. 그림 11e, f에서 보이듯이, 산세 시간이 증가할수록 잔존하던 산화층은 제거되고 결정립계 용해가 현저히 촉진된다. 또한, 50분 이후부터는 일부 결정립 내 다공질 구조의 표면이 관찰되며 (그림 11e, f의 주황색 화살표), 이는 HF가 혼합된 산 처리로 인해 형성된 Cr 결핍층이 선택적으로 용해되는 현상으로 해석된다. 이러한 거동은 산화층 제거 이후 모재가 Cr 결핍층에 비해 상대적으로 낮은 부식전류밀도를 가지기 때문으로 판단된다[18]. 추가적으로, 그림 8에서 관찰되는 산화층 내부의 방출된 Ni은 H2SO4와 반응하여 NiSO4와 H2를 형성한다[15]. (Fe, Cr)3O4 스피넬과 Ni 계면에서 생성된 H2는 산화층 제거를 가속할 것으로 예상된다.

그림 12에 나타난 용접부의 산세 중 표면 변화를 살펴보면, 모재와 마찬가지로 10분간 산세 시 표면 산화층에 균열 형성이 관찰된다. 산세 시간이 30분으로 증가함에 따라, 잔존하던 대부분의 산화층은 제거된다. 또한, 용접부의 조대한 결정립을 따라 결정립계가 뚜렷하게 드러난다. 하지만, 모재와는 다르게 20분간의 산세 이후부터 Cr 결핍층의 선택적 용해가 관찰되며, 산세 시간이 증가함에 따라 더욱 뚜렷해진다. 용접부는 빠른 냉각으로 생성되는 δ-페라이트로 인해, 모재 대비 Cr 결핍층이 상대적으로 높은 분율로 존재하며[44,45], 이로 인한 낮은 내부식성으로 인해 보다 광범위한 용해가 발생된 것으로 판단된다. 그림 11f12f에 나타난 모재와 용접부의 60분간 산세 후 미세조직은, 그림 10의 X-선 분석 결과와 잘 부합한다.

산 용액의 조성 및 농도, 온도, 산세 시간, 용액 내 용해된 금속 이온 농도는 산세에서 중요한 공정 변수이다[12]. 산업 현장에서 실시되는 반복적인 산세 공정은 산 용액 내 금속 이온 농도를 지속적으로 증가시켜, 용액의 산세 성능을 저하시킨다. 산세 공정의 효율 향상을 위해서는 우선적으로 산세 사이클에 따른 용액 성능 분석이 필수적이다. 따라서 하나의 시편을 산세한 후, 동일한 산 용액을 사용하여 새로운 시편을 연속적으로 산세하는 방식으로 산세 사이클에 따른 시편의 질량 감소와 산세 완료 시간의 변화를 관찰하였다.

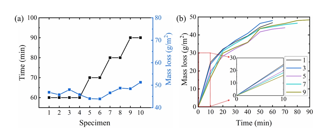
그림 13a는 시편 개수에 따른 산세 시간 및 최종 질량 감소를 나타낸다. 1–4번 시편은 산세 완료에 60분이 소요되었으며, 이후 5–6, 7–8, 9–10번 시편은 각각 70, 80, 90분이 소요되어 계단식으로 증가했다. 단위 면적당 질량 감소는 최소 43.8 g/m2, 최대 51.3 g/m2의 일정 범위로 측정되는데, 이는 시편의 산화층 두께 차이에 기인한 것으로 사료된다. 그림 13b는 산세 사이클별 시간에 따른 시편의 질량 감소를 나타낸 것으로, 시각적 이해를 위해 홀수 사이클의 질량 감소만 도식화하였다. 모든 산세 사이클에 서 초기 10분간 가장 높은 질량 감소가 나타났으며, 이후 시간 경과에 따라 감소 속도가 점차 둔화되며 포물선 형태의 질량 감소 거동을 보였다. 산 용액과 모재의 종류에 따라 차이는 있지만, 용액에 시편을 침지하는 경우, 시간에 따른 부식전위 변화를 3가지 단계로 구분할 수 있다[18]. 1단계는 높은 부식전위가 급격하게 감소하는 단계로, 산화층의 균열과 미세 채널(channel)을 통해 용액이 침투하여 산화층과 모재의 Cr 고갈층 계면으로 이동한다. 이때, Fe/산/Fe2O3, Cr/산/Cr2O3, (Fe, Cr)/산/(Fe, Cr)3O4와 같이 형성된 미세 셀(cell)이 부식전위에 영향을 미친다. 2단계에서는 모재 표면이 용액에 젖게 되면서 Fe/산/Fe2+와 함께 Cr/산/Cr2+, Ni/산/Ni2+ 미세 셀로 인해 가장 낮은 부식전위를 나타내며, 금속 산화가 주 반응이다. 이후 3단계에선, 산화층과 Cr 고갈층이 제거됨에 따라 부식 전위는 천천히 지속적으로 증가하며, 완전한 제거가 일어날 때 부식 전위는 모재의 부식 전위와 동일한 값을 나타낸다. 그림 13b의 초기 10분간의 빠른 질량 감소는 산화층의 제거가 발생하는 1, 2단계에 해당하며, 이후 산세 속도의 둔화는 3단계인 모재의 용해 과정을 반영한다. 이는 그림 9, 11, 12에서 관찰되는 표면층 형상 변화와도 일치한다. 추가적으로, 그림 13b의 삽입 그림에서 나타나듯이, 산세 사이클이 증가할수록 초기 10분의 기울기가 점차 변하는 것을 알 수 있다. 시간에 따른 질량 감소 그래프의 기울기는 산세 속도를 의미하는데, 1, 3, 5, 7, 9 사이클로 증가할수록 속도가 각각 2.48, 2.38, 1.99, 1.82, 1.61 g/m2/min로 서서히 감소한다. 증가하는 산세 사이클에 의해 용액의 산세 성능이 저하되고, 이는 산세 완료에 소요되는 시간이 60분에서 90분으로 증가하는 현상으로 나타난다.

그림 14는 전체 질량 감소로 계산된 산세 속도를 나타낸다. 이 결과는 산업 현장의 산세 공정 중 고압수 세척을 모사하기 위해 진행한 물리적 솔질에 따른 질량 변화가 반영되었다. 산세 사이클이 증가할수록 속도는 선형적으로 감소하는 경향을 보인다(그림 14a). 그림 14b에 제시된 시간에 따른 산세 속도 변화를 기반으로 도출된 일차 방정식은 다음과 같다.

(2)
r = - 4.07 × 10 - 4 t + 0.81

여기서 r은 산세 속도(g/m2/min), t는 시간(min)이다. 본 모델을 활용하여 산 용액의 사용 시간에 따른 산세 효율을 예측할 수 있으며, 이를 기반으로 실제 공정에서 산 용액의 교체 시점을 합리적으로 설정할 수 있을 것이다.

산세 시험은 가장 우수한 기계적 특성을 나타낸 용접 조건으로 제조된 시편을 사용하였지만, 그림 711의 결과를 활용하여 용접 조건에 따른 산세 거동의 변화를 예상할 수 있다. 소재에 가해지는 입열량이 감소할수록 미세한 조직이 얻어진다(그림 2). 결정립이 미세할수록 열처리 시 원활한 Cr 확산이 발생하므로[44-46,52], 보호적인 (Fe, Cr)3O4 스피넬이 모재 표면에 얇은 두께로 신속히 형성될 것이다. 이는 용접 조건 4, 7, 8에 해당한다. 반면, 높은 입열량을 가지는 조건 2, 3, 6에서는 상대적으로 느린 Cr 확산으로 두꺼운 (Fe, Cr)3O4 스피넬 층이 형성될 것이며, 나머지 조건 1, 5, 9는 중간 두께의 산화층을 가질 것으로 사료된다. 그림 9, 11, 12에 나타나듯이 산세 속도는 산화층의 두께에 정비례하기 때문에, 조건 4, 7, 8, 조건 1, 5, 9, 조건 2, 3, 6 순으로 산세 완료 시간이 증가할 것으로 판단된다.

본 연구는 산업 현장에서 사용하는 용접 조건에 따른 316L 스테인리스강의 미세조직 및 기계적 특성과 이어지는 산세 거동에 대해 연구하였다. 연구 결과는 용접 및 산세 공정 최적화를 위한 기초 자료로 활용될 수 있고, 공정에 소요되는 비용과 시간을 절감할 수 있다. 하지만 제안한 산세 속도 모델(식 2)은 질량 감소를 바탕으로 산세 성능을 예측하기 때문에, 보다 정확한 모델 개발을 위해서는 산 용액 내 금속 이온 농도를 실시간으로 측정하여, 산세 시간과 이온 농도를 복합적으로 고려한 모델 확립 연구가 필요할 것이다.

4. 결 론

본 연구에서는 316L 스테인리스 강의 미세조직과 기계적 특성에 미치는 PAW 전류 및 속도의 영향과 이어지는 산세 거동에 대해 고찰하였다. 용접 전류가 감소하고 용접 속도가 증가할수록 입열량이 감소하여, 미세한 조직과 높은 분율의 δ-페라이트가 형성된다. 특히, 입열량이 가장 낮은 250 A, 60 cm/min 조건에서 가장 높은 강도와 연성이 나타났으며, 파괴 후 균일한 딤플로 구성된 연성 파면이 관찰되었다. PAW로 용접한 기존 연구와 비슷하게 건전한 용접부 및 높은 강도가 측정되었고, 산업 현장에서 기존 대비 2배 이상의 높은 생산 효율을 달성할 수 있다. 1050 °C에서의 용접 후열처리 중 형성된 산화층은 (Cr, Fe)3O4 스피넬과 Ni-Fe 금속상으로 구성되며, 용접부에서 관찰되는 두꺼운 산화층은 모재 대비 조대한 결정립과 Cr 결핍층에 기인한 것 판단된다. 8 vol% HF, 10 vol% H2SO4, 82 vol% 증류수를 혼합한 산 용액을 사용한 산세 시험 결과, 시편 침지 시간 최소 60분에서 최대 80분 사이에 산세가 완료되었으며, 산세 시간에 따른 표면 형상은 크게 산화층 제거 후 입계 부식, 용해된 Cr 결핍층 형성으로 구분된다. 특히, 용접 시 기 형성된 Cr 결핍층의 존재로 용접부에서는 현저한 Cr 결핍층 용해가 관찰되었다. 산화층 내부의 방출된 Ni은 H2SO4와 반응하여 NiSO4와 H2를 형성하여 산화층 제거를 가속화할 것으로 사료된다. 산 용액의 산세 성능 평가 시험 결과, 산세 사이클이 증가할수록, 용액 내 증가하는 금속 이온 농도로 인해 산세 성능이 저하되고 이에 따라 산세 완료 시간이 증가하였다. 용접 조건에 따른 산세 거동을 예상한 결과, 산화층의 두께에 비례하여 조건 4, 7, 8, 조건 1, 5, 9, 조건 2, 3, 6 순으로 산세 완료 시간이 증가할 것이다. 또한, 산세 시간에 따른 산세 속도 변화를 기반으로 산 용액의 산세 효율을 예측할 수 있는 모델을 제안하였다. 본 연구 결과는 316L 스테인리스 강관 제조 시 활용되는 PAW의 공정 최적화 및 제품 표면 품질 향상을 위한 산세 공정의 산 용액 성능 평가를 위한 기초 자료로 활용될 수 있다. 향후 연구에서는 산 용액 내 금속 이온 농도 변화를 정량적으로 분석하여 제안한 모델을 정교화할 계획이다.

Notes

[1] 감사의 글

이 연구는 산업통상자원부(MOTIE)와 한국산업기술진흥원(KIAT)의 산업혁신인재양성지원사업(P0023676, HRD Program for Industrial Innovation), 한국산업기술기획평가원(KEIT)(20023954), 국립순천대학교의 RISE 2025 사업의 지원을 받아 수행되었습니다.

REFERENCES

1 
Moon J., Ha H.-Y., Kim K.-W., Park S.-J., Lee T.-H., Kim S.-D., Jang J. H., Jo H.-H., Hong H.-U., Lee B. H., Lee Y.-J., Lee C., Suh D.-W., Han H. N., Raabe D., Lee C.-H., Sci. Rep,10, 12140 (2020)Google Search
2 
Park J. P, Nam H., Jin Q.-Y., Lee W., Korean J. Met. Mater,61, 760 (2023)Google Search
3 
Rajani H. Z., Torkamani H., Sharbati M., Raygan S., Mater. Des,34, 51 (2012)Google Search
4 
Muhammed M., Mustapha M., Ginta T. L., Ali A. M., Mustapha F., Hampo C. C., Processes,8, 811 (2020)Google Search
5 
Lee W.-S., Lin C.-F., Chen T.-H., Luo W.-Z., J. Nucl. Mater,420, 226 (2012)Google Search
6 
Kim H. S., Lee J. P., Park D. K., Ahn I. S., J. Powder. Mater,20, 432 (2013)Google Search
7 
Tashiro S., Materials,17, 1348 (2024)Google Search
8 
Baisukhan A., Naksuk N., Insua P., Nakkiew W., Wisittipanit N., Materials,17, 3768 (2024)Google Search
9 
Serindağ H. T., Çam G., Int. J. Press. Vessels Pip,200, 104842 (2022)Google Search
10 
Kumar S., Shahi A. S., Mater. Des,32, 3617 (2011)Google Search
11 
Tandon V., Thombre M. A., Patil A. P., Taiwade R. V., Vashishtha H., Metallogr. Microstruct. Anal,9, 668 (2020)Google Search
12 
Liu F., Hwang Y., Nam S. W., Mater. Sci. Eng. A,427, 35 (2006)Google Search
13 
Li L. F., Celis J. P., Can. Metall. Q,42, 365 (2003)Google Search
14 
Buscail H., Messki S. El, Riffard F., Perrier S., Cueff R., Caudron E., Issartel C., Mater. Chem. Phys,111, 491 (2008)Google Search
15 
Dong H., Luo Z., Han Y., Liu Y.-M., Sun L., Zhai W.-Y., Coat,12, 127 (2022)Google Search
16 
Peng J., Li M., Adv. Mater. Sci. Eng,2020, 4562418 (2020)Google Search
17 
Li H., Zhao A., Adv. Mater. Sci. Eng,2019, 9754528 (2019)Google Search
18 
Xie Q., Shi P.-Y., Liu C.-J., Jiang M.-F., J. Iron Steel Res. Int,23, 778 (2016)Google Search
19 
Li L.-F., Caenen P., Daerden M., Vaes D., Meers G., Dhondt C., Celis J.-P., Corros. Sci,47, 1307 (2005)Google Search
20 
Huang C., Hsu C., Int. J. Adv. Manuf. Technol,34, 904 (2007)Google Search
21 
Covino B., Scalera J., Driscoll T., Carter J., Metall. Trans. A,17, 137 (1986)Google Search
22 
Sahu A., Bag S., Metall. Mater. Trans. A,51, 2192 (2020)Google Search
23 
Hsiao Y., Tarng Y., Huang W., Mater. Manuf. Process,23, 51 (2007)Google Search
24 
ASTM International, ASTM E8/E8M-16a, Standard Test Methods for Tension Testing of Metallic Materials, ASTM International, (2016)
25 
Lee W.-S., Liu C.-Y., Cheng C.-W., Lin C.-F., Metall. Mater. Trans. A,35, 1501 (2004)Google Search
26 
Nam T.-H., An E., Kim B. J., Shin S., Ko W.-S., Park N., Kang N., Jeon J. B., Metals,8, 26 (2018)Google Search
27 
Sabooni S., Karimzadeh F., Enayati M. H., Ngan A. H. W., Jabbari H., Mater. Charact,109, 138 (2015)Google Search
28 
Feng Y., Luo Z., Liu Z., Li Y., Luo Y., Huang Y., Mater. Des,85, 24 (2015)Google Search
29 
Huang H.-Y., Met. Mater. Int,16, 819 (2010)Google Search
30 
Köse C., Mater. Sci. Eng. A,855, 143966 (2022)Google Search
31 
Mannan S. L., Mathew M. D., Bull. Mater. Sci,19, 985 (1996)Google Search
32 
Cao L., Shao X., Jiang P., Zhou Q., Rong Y., Geng S., Mi G., Metals,7, 270 (2017)Google Search
33 
Prasad S., Pal S., Robi S., J. Manuf. Process,57, 957 (2020)Google Search
34 
Sadeghian M., Shamanian M., Shafyei A., Mater. Des,60, 678 (2014)Google Search
35 
Sabzi M., Mousavi Anijdan S. H., Chalandar A. R. B., Park N., Jafarian H. R., Eivani A. R., Mater. Sci. Eng. A,840, 142877 (2022)Google Search
36 
Qin W., Li J., Liu Y., Kang J., Zhu L., Shu D., Peng P., She D., Meng D., Li Y., Mater. Lett,254, 116 (2019)Google Search
37 
Shang X., Zhang H., Cui Z., Fu M. W., Shao J., Int. J. Plast,125, 133 (2020)Google Search
38 
Gao B., Wang L., Liu Y., Liu J., Sui Y., Sun W., Chen X., Xiao L., Zhou H., Scr. Mater,234, 115538 (2023)Google Search
39 
Batool S., Khan M., Jaffery S. H. I., Khan A., Mubashar A., Ali L., Khan N., Anwar M. N., Proc. Inst. Mech. Eng. L: J. Mater.: Des. Appl,230, 1005 (2015)Google Search
40 
Tseng K. H., Hsieh S. T., Tseng C. C., Sci. Technol. Weld. Join,8, 423 (2003)Google Search
41 
Prasad S., Pal S., Robi P. S., Soldag. Insp,27, 123 (2022)Google Search
42 
Harish T. M., Jerome S., Yadukrishna B., Kumar R. S., Midhun Suresh C., Ramesh K., Mater. Res. Express,6, 1165b1162 (2019)Google Search
43 
Franklin D. E. S., Vijay S. J., Mohanasundaram S., Kantharaj I., Gabriel D. J. H., Mater. Today: Proc,47, 6908 (2021)Google Search
44 
Grubiša L., Bajić D., Vuherer T., Procedia Struct. Integr,13, 430 (2018)Google Search
45 
Dadfar M., Fathi M. H., Karimzadeh F., Dadfar M. R., Saatchi A., Mater. Lett,61, 2343 (2007)Google Search
46 
Samanta S. K., Mitra S. K., Pal T. K., Mater. Sci. Eng. A,430, 242 (2006)Google Search
47 
Kim J.-H., Kim B. K., Kim D.-I., Choi P.-P., Raabe D., Yi K.-W., Corros. Sci,96, 52 (2015)Google Search
48 
Peng X., Yan J., Zhou Y., Wang F., Acta Mater,53, 5079 (2005)Google Search
49 
Atkinson A., Solid State Ion,12, 309 (1984)Google Search
50 
Fultz B., Frase H.N., Hyperfine Interact,130, 81 (2000)Google Search
51 
Su M., Zhao J., Gu C., Corros. Sci,220, 111294 (2023)Google Search
52 
Shen Z., Zhang J., Wu S., Luo X., Jenkins B. M., Moody M. P., Lozano-Perez S., Zeng X., Acta Mater,226, 117634 (2022)Google Search
53 
Kim J.-H., Kim D.-I., Suwas S., Fleury E., Yi K.-W., Oxid. Met,79, 239 (2013)Google Search

Figures and Tables

Fig. 1.

X-ray diffraction pattern of the oxide scrab dissolved into the acid pickling solution.

../../Resources/kim/KJMM.2025.63/kjmm-2025-63-9-675f1.jpg
Fig. 2.

Optical images of the weld regions in the 316L stainless steel specimens fabricated by the various welding conditions. The C number (R number) in each image indicates the welding condition (its ranking of heat input).

../../Resources/kim/KJMM.2025.63/kjmm-2025-63-9-675f2.jpg
Fig. 3.

Volume fraction of δ-ferrite observed in specimens fabricated by various welding conditions.

../../Resources/kim/KJMM.2025.63/kjmm-2025-63-9-675f3.jpg
Fig. 4.

Inverse pole figure maps of 316L stainless steel samples welded by the welding condition (a) 7 and (b) 9.

../../Resources/kim/KJMM.2025.63/kjmm-2025-63-9-675f4.jpg
Fig. 5.

Tensile properties of the 316L stainless steel specimens fabricated by various welding conditions.

../../Resources/kim/KJMM.2025.63/kjmm-2025-63-9-675f5.jpg
Fig. 6.

Fracture surfaces of the 316 stainless steel specimens welded by the conditions (a) 3 and (b) 7, observed at two different magnifications. Black arrows in an optical inset image indicate small pores present in the weld.

../../Resources/kim/KJMM.2025.63/kjmm-2025-63-9-675f6.jpg
Fig. 7.

Surface oxide morphology of (a) base metal and (b) weld after heat treatment.

../../Resources/kim/KJMM.2025.63/kjmm-2025-63-9-675f7.jpg
Fig. 8.

SEM cross-sections of (a) base metal and (b) weld, elemental distributions along the thickness (c) base metal and (d) weld.

../../Resources/kim/KJMM.2025.63/kjmm-2025-63-9-675f8.jpg
Fig. 9.

Surface morphology changes of the 316L stainless steel samples after acid pickling for every 10 minutes.

../../Resources/kim/KJMM.2025.63/kjmm-2025-63-9-675f9.jpg
Fig. 10.

X-ray diffraction patterns of 316L stainless steels before and after acid pickling.

../../Resources/kim/KJMM.2025.63/kjmm-2025-63-9-675f10.jpg
Fig. 11.

Surface morphology changes on the base metal after acid pickling for (a) 10, (b) 20, (c) 30, (d) 40, (e) 50, and (f) 60 minutes. White dot lines are the boundaries between the oxide and metal surface. Yellow and orange arrows indicate grain boundary and Cr-depleted zone, respectively.

../../Resources/kim/KJMM.2025.63/kjmm-2025-63-9-675f11.jpg
Fig. 12.

Surface morphology changes on the weld after acid pickling for (a) 10, (b) 20, (c) 30, (d) 40, (e) 50, and (f) 60 minutes. White dot lines are the boundaries between the oxide and metal surface. Yellow and orange arrows indicate grain boundary and Cr-depleted zone, respectively.

../../Resources/kim/KJMM.2025.63/kjmm-2025-63-9-675f12.jpg
Fig. 13.

(a) Acid pickling time and mass loss as a function of specimen number and (b) mass loss of specimens at different pickling cycles with increasing pickling time.

../../Resources/kim/KJMM.2025.63/kjmm-2025-63-9-675f13.jpg
Fig. 14.

Acid pickling rate as a function of (a) specimen number and (b) time.

../../Resources/kim/KJMM.2025.63/kjmm-2025-63-9-675f14.jpg
Table 1.

Chemical composition of 316L stainless steel.

C Si Mn P S Cr Ni Mo Fe
wt% 0.03 1.00 2.00 0.045 0.03 18.00 12.00 2.00 Balanced
Table 2.

Plasma arc welding conditions used for fabricating 316L stainless steel pipes.

Condition Welding current (A) Welding voltage (V) Welding speed (cm/min) Heat input (J/mm/s)
1 250 27 50 810
2 275 27 50 891
3 300 27 50 972
4 250 27 55 736
5 275 27 55 810
6 300 27 55 883
7 250 27 60 675
8 275 27 60 742
9 300 27 60 810