The Journal of
the Korean Journal of Metals and Materials

The Journal of
the Korean Journal of Metals and Materials

Monthly
  • pISSN : 1738-8228
  • eISSN : 2288-8241

Editorial Office


  1. 한국재료연구원 재료데이터·분석연구본부 (1Materials Data & Analysis Research Division, Korea Institute of Materials Science, Changwon 51508, Republic of Korea)
  2. 건국대학교 기계항공공학부 (2Department of Mechanical and Aerospace Engineering, Konkuk University, Seoul 05029, Republic of Korea)
  3. 부산대학교 기계공학부 (3School of Mechanical Engineering, Pusan National University, Busan 46241, Republic of Korea)



Forming limit diagram, Texture, Deep learning, Convolutional neural networks

1. 서 론

판재 금속의 성형 한계도(Forming Limit Diagrams, FLD) 예측은 소재 선택 및 공정 설계에 필수적인 역할을 하며, 특히 자동차와 항공우주 산업과 같이 판재 성형을 많이 사용하는 분야에서 그 중요성이 더욱 강조된다[1]. FLD는 판재의 각기 다른 변형 경로 별 넥킹(necking) 또는 파단 발생까지의 성형 한계를 정량적으로 나타내는 기준이며, 이를 통해 대상 소재의 안정적인 성형 한계량을 분석하고 성형 공정의 최적화를 달성할 수 있다. 하지만, 이러한 FLD를 결정하기 위해서는 다양한 형상의 시험편을 이용한 반복 실험과 데이터 분석 및 처리가 필요하며, 시간 및 비용 소모가 크게 요구되는 어려움이 있다[2-4]. 이러한 문제 인식을 바탕으로, Marciniak과 Kuczynski는 판재 금속의 성형 중 변형 양상 및 파단으로 이어지는 거동을 초기 결함의 가정 및 확장을 기반으로 한 이론적 모델을 통해 설명하였으며, 제안 모델은 전통적인 FLD 실험을 통해 그 유효성을 검증하였다[5]. Marciniak-Kuczynski (M-K) 모델은 대상 소재의 FLD 예측 분야에 현재까지도 다양하게 활용되고 있으며[6], 특히 유한요소해석에 적용되어 복잡한 성형 공정에서의 성형 불안정성 또는 파단 발생 여부를 예측하는 데 유용하게 활용되고 있다[7,8].

한편, 미시적인 관점에서 소재의 집합조직과 성형성의 상관관계에 초점을 두고 이를 규명하려는 시도는 이전부터 다양하게 있었으며, 대표적으로 VPSC (Visco Plastic Self Consistent), CPFEM (Crystal Plasticity Finite Element Method) 방법론을 활용한 연구가 수행된 바 있다[9,10]. 이러한 접근법들은 소재의 미세구조를 분석 및 예측 과정에 반영함으로써 미시 수준에서의 특성이 거시적 거동에 미치는 영향을 상세히 분석할 수 있으며, 이를 통해 집합 조직이 소재의 성형성에 미치는 영향을 더욱 엄밀하게 정량적으로 평가하는데 유용하다. 그러나 이러한 장점에도 불구하고, M-K 모델을 활용한 유한요소해석이나 실험적 접근법에 비하여 모델의 개발이나 활용 과정에 이론적 전문성이 높게 요구되며, 특히 문제의 복잡도에 따라 계산 시간이 비약적으로 증가하는 문제가 있다.

이러한 문제에 대한 새로운 해법으로 최근에는 딥러닝 기법을 활용하여 소재의 물성을 예측하는 방법이 활발하게 연구되고 있다[11,12]. 대표적으로 수치 해석 시뮬레이션을 통해 얻은 데이터를 머신 러닝 모델의 학습 데이터로 활용하는 방법이 널리 쓰이고 있으며, 재료과학 분야에서도 관심도가 높아지고 있다[13,14]. 특히, 결정립 수준의 수치해석에서 얻어지는 대량의 복잡한 데이터를 학습한 머신 러닝 모델이 재료의 FLD 등 기계적 특성을 예측하는 데 있어서 적용 가능성 및 기존 방법론을 대체할 수 있는 잠재력을 보여주고 있다. 그러나, 기존의 연구들은 고차원의 복잡한 해석 모델을 이용하여 데이터를 생성하면서도, 고차원의 데이터를 직접 적용하지 않고 단지 몇 개의 파라미터나 스칼라 값만을 피처로 사용하는 머신 러닝 모델을 활용하였으며, 이러한 방법은 적절한 입력 변수 선택의 어려움으로 인하여 집합조직과 성형성의 복잡한 물리적 관계를 정확히 반영하지 못하는 한계가 존재한다[15].

본 연구는 기존의 머신 러닝 기반 소재 물성 예측의 한계를 극복하고자, 별도의 집합조직 정보를 활용하여 개선된 딥러닝 모델을 개발하고 그 유효성을 검증하는 것을 목표로 한다. 우선, 모델 구축 및 학습에 필요한 결정 방향 데이터를 직접 생성하였다. 이 데이터는 CPFEM과 M-K 모델이 결합된 가상 성형 시험 모델로 생성하였고, MATLAB의 MTEX Toolbox를 통해 집합조직을 표현하는 3차원 구조의 입력 데이터로 변환하여 모델 학습에 활용하였다. 개발된 FLD 예측 딥러닝 모델은 실제 실험 데이터와 비교함으로써 예측 성능을 검증하였고, 모델의 예측 근거를 시각적으로 살펴보고자 클래스 활성화 맵(Class Activation Map)을 이용하여 모델이 FLD를 예측하기 위해 집합조직의 어떤 부분에 가중치를 크게 두고 분석하는지 살펴보았다. 딥러닝 모델의 예측 성능을 평가한 결과, 결정 방향 데이터를 활용한 모델이 R2스코어 0.7을 달성함으로써, 집합조직 정보를 효과적으로 반영한 FLD 예측의 타당성을 확인할 수 있었다고 할 수 있다. 이러한 결과는 기존의 모델링 기법에 비해 개선된 예측 능력을 시사하며, 본 연구에서 제안한 딥러닝 기반 접근법이 복잡한 소재 물성 예측 분야에 적용될 수 있는 잠재력을 충분히 보유하고 있음을 의미한다. 다만, R2스코어 0.7이라는 수치는 아직 최적의 예측 성능에 도달하기 위해 추가적인 데이터 보강 및 모델 최적화가 필요함을 나타내므로, 향후 연구에서는 입력변수의 다양화, 모델 구조의 개선, 그리고 더 많은 실험 데이터를 통한 검증 과정을 통해 예측 정확도를 더욱 향상시킬 수 있을 것으로 기대된다.

2. 실험 방법

본 연구에서는 딥러닝 기반의 FLD 예측 모델을 개발하기 위해 AA6061합금을 대상으로 데이터를 생성하고, 이를 기반으로 모델을 학습하였다. 전체 딥러닝 모델 학습 과정에서 데이터의 생성과 모델 학습에 사용되는 개략도는 그림 1에 나타냈다. 전체적인 연구의 진행 과정은, 결정 방향 데이터 생성 과정과 이를 방위 분포함수(Orientation Distribution Function, ODF)[16] 데이터와 FLD 데이터로 변환/해석하는 과정, 그리고 이를 데이터로 활용해 딥러닝 모델을 학습시키는 과정으로 나눌 수 있다.

2.1 재료 데이터 생성

모델 학습에 사용된 소재는 AA6061합금의 물성을 적용하였으며, 먼저 10×10×10의 RVE를 나타내는 결정 방향 데이터를 생성하였다. 생성하는 결정 방향 데이터에는 소재를 구성하는 집합조직의 비율적 특성을 반영하기 위해 7가지 집합조직(cube, r-cube, goss, r-goss, brass, copper, s)의 비율을 고려하였다. 각 집합조직의 비율은 알루미늄 합금의 91% 냉간 압연 시 나타나는 집합조직 비율을 참고하여 설정하였다[17]. 이 과정에서 각 집합조직의 최대 및 최소 비율을 문헌 기반으로 정리하였다(표 1). 이후 범위 내 모든 집합조직 비율에 대한 예측을 수행하기 위해 각 7개의 집합조직 최대-최소 비율을 5% 내외의 등간격으로 나눈 비율을 사용하여 해석을 진행하였다. 소재를 구성하는 총 집합조직의 비율이 86.4%(remainder>13.6%)를 초과하는 경우를 제외하고, 총 3241개의 집합조직 비율 조합을 얻을 수 있었다. 각 비율 조합에 대한 결정 방향 데이터는 3개의 오일러 각을 사용하여 표현되었으며, 표 2에 정리하였다. 각각의 오일러 각은 실제와 유사한 형태를 묘사하기 위해 표준편차가 2°인 정규분포를 적용한 편차를 부여하며 방위 공간에 분포시켰으며, 초기 정규분포를 적용한 각 집합조직의 방위 공간에서의 분포를 그림 2에 나타내었다. 7개의 주요 집합조직에 할당되지 않은 나머지 데이터의 경우, 초기 연구 단계에서는 랜덤 분포 방식으로 처리하였으나, 데이터 세트의 크기가 작아 모델 학습 과정에서 편향이 발생하였다. 이에 따라 방위 분포함수에 영향을 미치는 문제가 발생하였으며, 이를 해결하기 위해 균일 분포 방식으로 데이터를 처리하였다. 그 결과, 학습 과정에서 편향되는 문제가 해소되었으며 방위 분포함수의 결과에 대한 영향을 최소화할 수 있었다.

FLD 데이터는 결정 소성 유한요소 모델과 M-K 모델을 결합한 가상 성형 시험 모델을 통해 계산하였다. 그림 3 (a)는 FLD 분석을 위한 CPFEM-MK 모델을 보여준다. 외측 영역(RVE-A)과 홈 영역(RVE-B)을 나타내는 두 개의 RVE가 고려되며, RVE-B의 홈 두께는 다음과 같이 정의된다.

t 0 B = f 0 t 0 A

여기서 t0는 초기 두께이며, f0는 불완전 계수를 나타낸다. 두께 감소로 인해 국소화가 홈 영역에서 시작된다고 가정하고, RVE-A와 RVE-B를 사용하는 CPFEM-MK 시뮬레이션이 수행되었다. CPFEM-MK 접근방식을 사용하는 FLD 분석 절차는 그림 3 (b)에 나타나 있다[10]. 해석에 사용된 조건은 표 3에 정리하였으며, 결정 소성 유한요소법의 주요 매개변수들이 설정되었다. AA6061 합금의 탄성 거동을 기술하기 위해 단결정 탄성 계수 C11, C12, C44 값을 적용하였다. 응력과 변형률의 관계는 다음과 같이 정의된다.

σ i j = C i j k l ε k l

변형 속도에 따른 응력 변화 영향을 고려하기 위해 속도 민감도 지수 m값을 적용하였다. 변형률 속도와 응력의 관계는 다음과 같이 표현된다.

γ ˙ = γ ˙ 0 ( τ τ c ) 1 / m

기준 변형률 속도는 변형 속도 의존성을 반영하기 위해 다음의 관계식을 기반으로 설정하였다.

γ ˙ 0 = A e Q / R T

초기 소성 변형 중 유동 응력 증가를 조절하기 위해 초기 경화 계수를 적용하였으며, 이는 다음의 경화 모델을 따른다.

h 0 = τ s τ c γ s

충분한 소성 변형이 진행된 후 유동 응력이 일정한 값으로 수렴하는 현상을 반영하기 위해 다음과 같은 관계를 적용하였다.

τ s = τ c + h 0 γ s

슬립 시스템 간의 경화 상호작용을 조절하는 매개변수로 a,q를 사용하였으며, 이에 대한 경화 모델은 다음과 같다.

h α β = h 0 [ 1 ( τ β τ s ) a ] ( q δ α β + ( 1 q ) )

여기서 a는 경화 곡선의 곡률을 조절하는 계수이며, q는 슬립 시스템 간 상호작용을 조절하는 인자이다. 이러한 매개변수 등의 해석 조건을 AA6061합급의 물성을 반영하여 적용하였다. 이러한 절차를 통해 결정 방향 데이터와 FLD 데이터를 연계하여 학습 데이터 세트를 구축하였으며, 생성된 데이터는 이후 딥러닝 모델 학습 과정에 활용되었다.

2.2 학습 데이터 전처리 및 데이터 세트 구축

결정 방향 데이터를 실제 모델에 적용할 때, 시험으로 얻은 데이터의 형태를 어느 정도 조절할 수는 있지만, 이를 특정 크기에 정확히 맞추는 것은 실질적으로 어렵다. 따라서 고정된 크기의 데이터를 입력으로 받는 딥러닝 모델에 사용하기 위해서는 데이터의 전처리가 필요하다. 이 문제를 해결하기 위해 MATLAB의 MTEX Toolbox 라이브러리를 사용하여 딥러닝 모델 학습에 적합한 형태로 데이터를 변환하였다. 변환된 데이터는 방위분포함수 형태로 표현되었으며, 각각 ϕ1 0~85°, Φ 0~90°, ϕ2 0~85°의 범위에서 5° 간격으로 방위분포함수의 값을 계산하여 18×19×18의 크기의 3D텐서 데이터로 구성되었다. 이를 통해 입력 데이터의 형태를 항상 일정하게 유지할 수 있었으며, 데이터의 형태가 다르더라도 일관된 방식으로 모델을 적용할 수 있게 하였다. 변환된 방위 분포함수 이미지를 기존 문헌에서 제시된 ODF 이미지[18]와 비교한 결과, 집합조직이 나타나는 위치가 그림 4와 같이 유사하게 나타남을 확인할 수 있었다. 또한, 해석모델을 이용하여 FLD 데이터를 도출하였으며, 이는 18개의 좌표를 사용해서 9개의 데이터 포인트로 표현되었다. FLD의 특성상, 주 변형률과 부 변형률이 특정한 관계를 유지하며 해석이 진행되므로, 모델 학습을 위해 데이터 포인트를 원점(0,0)으로부터의 거리 값으로 변환하였다. 이는 18개의 좌표 데이터를 9개의 거리 값으로 변환하는 특성공학(feature engineering) 과정으로, 이러한 변환을 통해 모델이 더욱 효율적으로 학습할 수 있도록 하였으며, 데이터의 핵심적인 특성을 간결하게 반영할 수 있도록 하였다.

2.3 딥러닝 모델 설계

딥러닝 모델의 아키텍처는 ResNet18 구조[19]를 기반으로 설계되었으며, (그림 5), 본 연구에서 사용하는 3차원(18×19×18 형태) 데이터를 효과적으로 처리하기 위해 2D 합성곱을 3D 합성곱으로 확장하였다[20]. 이는 2차원 영상에 최적화된 기존 ResNet18을 그대로 적용하기 어려운 문제점을 해결하고, 3차원 데이터의 공간적 특성을 보다 정교하게 반영하기 위함이다.

구체적으로, 각 잔차 블록(Residual Block)은 두 개의 3D 합성곱 층과 하나의 잔차 연결로 구성되어, 네트워크가 깊어지더라도 기울기 소실을 최소화하고 안정적인 학습이 가능해지게 한다. 데이터 세트는 모델 학습을 위해 8:1:1의 비율로 훈련, 검증 테스트 세트로 분할하였다.

모델의 파라미터 초기화에는 He 가중치 초기화 기법[21]을 사용하여, 학습 초기 단계에서 가중치 값이 적절한 범위를 유지하도록 설정하였다. 또한, 입력 데이터는 정규화 과정을 통해 0과 1사이의 값으로 정규화 하여 3차원 ODF값의 상대적 특성을 유지하면서도 학습 안정성을 도모하였다. 단, 모델 출력 데이터의 경우에는 정규화를 적용하지 않아, 예측 결과와 실제 측정값 사이의 직접 비교가 가능하도록 설계하였다.

결과적으로, 이러한 3D 합성곱 기반 잔차 네트워크 구조와 적절한 파라미터 초기화 및 정규화 전략의 결합을 통해, 깊은 신경망의 장점을 유지하면서도 3차원 데이터를 효율적으로 학습할 수 있도록 하였다.

2.4 하이퍼 파라미터 최적화

모델의 성능을 극대화하기 위해 하이퍼 파라미터 조정을 진행하였다. 본 연구에서는 파이썬에서 제공하는 Optuna[22] 라이브러리를 활용하여 다양한 하이퍼 파라미터의 조합을 체계적으로 탐색하고 최적화하였다. 하이퍼 파라미터의 최적화 과정은 크게 두 단계로 진행되었으며, 첫번째 단계에서는 단순한 CNN 구조를 사용해 다양한 하이퍼 파라미터 설정을 실험했다. 이 초기 단계에서 여러 조합 중에서 성능이 우수한 하이퍼 파라미터를 선별하였다. 두 번째 단계에서는 첫 번째 단계에서 도출된 유망한 하이퍼 파라미터 범위를 바탕으로 보다 세밀한 조정을 진행하였다. 이 과정에서 학습률(learning rate)은 0.0005에서 0.01 사이, 최적화 함수(optimizer)는 Adam [23], AdamW [24], Amsgrad [25] 중에서 선택, 손실함수(criterion)는 MSE (Mean Squared Error), MAE(Mean Absolute Error), SmoothL1중에서 선택, 그리고 가중치 감쇠(weight decay)는 0.0001에서 0.001 사이에서 최적화를 수행하였다. 최적화 과정에서는 Median Pruner 기법을 적용해 성능이 낮은 하이퍼 파라미터를 조기에 종료하도록 했다. 전체 최적화 과정은 200회 반복 수행되었으며, 검증 데이터 세트에서 R2 스코어를 최대화하는 방향으로 진행했다. 최적화 결과는 표 4에 제시되어 있으며, 최적화된 하이퍼파라미터 중 검증 세트에서 가장 R2 스코어가 높은 경우를 채택하여 모델 학습을 진행하였다.

3. 결과 및 고찰

3.1 모델 학습 결과

모델 학습 과정에서 손실 함수의 변화를 관찰하기 위해 학습 곡선을 작성하였다(그림 6). 학습 곡선은 학습 에포크(epoch)에 따른 훈련 손실과 검증 손실의 변화를 시각화한 그래프이다. 초기 에포크에서는 훈련 손실과 검증 손실이 모두 급격히 감소하는 경향을 보였으며, 이후 점진적으로 감소하여 안정적인 값을 유지하였다. 이러한 패턴은 모델이 제공된 데이터로부터 안정적으로 학습하고 있음을 의미한다. 모델의 성능 평가를 위해서 R2 스코어를 학습 과정에서 함께 계산하였으며, R2 스코어 역시 학습이 진행됨에 따라 꾸준히 증가하는 추이를 확인할 수 있다. 각 데이터 세트에서 R2 스코어는 0.7 내외의 정확도를 보여주고 있으며, 예측을 수행하는 데 준수한 설명력을 가지고 있음을 알 수 있다.

딥러닝 모델의 학습 과정에서, 하이퍼 파라미터 조정 이외에도 다양한 모델의 깊이나 입력 데이터의 해상도 조건을 시험해 보았으나 모델의 정확도에는 큰 변화가 없었다(그림 7). 정확도가 0.7 이상 개선되지 않은 이유는 방위 분포함수 데이터의 특성에서 찾을 수 있었다. 그림 8은 동일한 방위 분포함수를 가진 데이터를 20가지 경우로 RVE 상의 순서를 섞어 해석한 결과를 보여준다. 그래프에는 최댓값과 최솟값이 함께 나타나 있다. 같은 방위 분포함수를 가지고 있지만, 극단적인 경우에는 약 8~12%의 변화가 생기고 있는 것을 확인할 수 있으며, 방위 분포함수 데이터만으로 FLD를 예측하는 것은 필연적으로 그만큼의 오차가 발생하게 되고, 더 높은 정확도를 얻기 위해서는 방위분포함수 데이터만 입력 값으로 사용하는 것이 아니라, 추가 데이터가 필요하다는 것을 보여주고 있다.

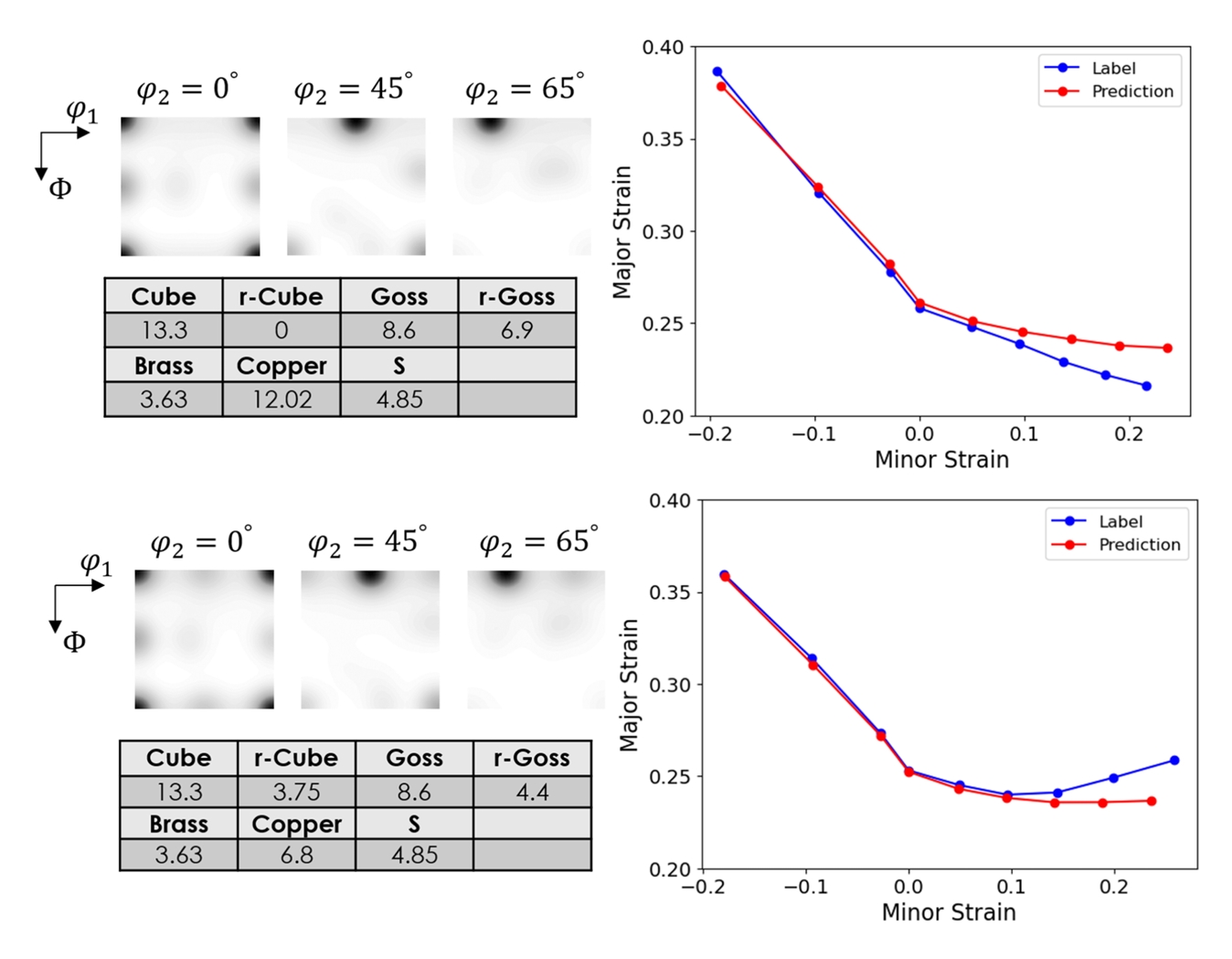
추가적인 입력 변수로 고려할 수 있는 요소 중 하나는 이방성을 정량적으로 나타내는 지표이다. 예를 들어, 재료의 이방성 특성을 반영할 수 있는 Lankford 계수 (r-value), 이방성 계수(Δr) 등을 함께 입력 변수로 활용할 수 있다. Lankford 계수는 성형 공정에서 두께 방향 변형과 관련된 이방성을 나타내므로 FLD 예측에 중요한 역할을 할 수 있다. 그림 9는 모델의 예측 결과 중, 정확도가 가장 낮았던 두 경우를 시각화 하여 나타낸 그래프이다. 데이터의 추세를 잘 따라가고 있는 것을 확인할 수 있으며, 예측에 다소 차이는 있지만 방위 분포함수 데이터를 입력 값으로 사용함으로써 생긴 문제로 충분히 감안할 수 있는 범위 내의 오차를 보이는 결과를 확인할 수 있다.

3.2 실제 데이터에 대한 모델 예측 정확도 평가

개발한 딥러닝 모델의 예측 정확도를 검증하기 위하여, 실제 AA6061합금에 대한 FLD 시험을 진행한 실험값[26]과의 비교를 수행하였다. 그림 3의 절차와 표 3에 제공된 매개변수에 따라 EBSD(Electron Backscattered Diffraction) 데이터로부터 측정된 집합조직 정보를 고려하여 10×10×10 크기의 대표 체적 요소(RVE)를 구성하였고, 이를 기반으로 CPFEM-MK 시뮬레이션을 수행하였다. 모델의 예측 결과는 그림 10에 제시되어 있다. 예측 결과는 전반적으로 실험 결과와 유사한 경향을 보였으며, 특히 부 변형률이 음수인 단축 인장 상태에서 우수한 정합성을 나타냈다. 반면 부 변형률이 양수인 이축 인장 영역에서는 예측 정확도가 다소 감소하는 경향을 보였다. 이는 딥러닝 모델이 CPFEM-K 시뮬레이션 데이터를 학습 기반으로 하는 특성상, 실제 실험 조건과의 차이에 따른 일반화 한계로 해석될 수 있다. 부 변형률이 양수인 조건에서의 데이터 밀도가 상대적으로 낮은 것도 예측 성능 저하의 원인으로 판단된다. 모델의 정량적 성능은 결정계수(R2)와 평균절대오차(MAE)를 기준으로 평가하였다. Test 데이터셋에 대해 R2 = 0.6913, MAE = 0.0041로 나타났으며, 예측 대상값의 평균 범위(약 0.2-0.5)를 고려할 때 오차 수준은 비교적 낮은 편으로 해석된다. 특히, 예측값과 실험값 간의 분포가 주요 밀집 영역에서 잘 정렬되어 있어, 복잡한 물리적 특성이 포함된 조건에서도 전반적으로 일관된 예측 성능을 확보한 것으로 판단된다(그림 11). 이는 모델이 재료의 집합조직 및 이방성 특성을 일정 수준 반영하고 있음을 보여준다.

3.3 Grad-CAM을 통한 모델 해석

그림 12은, 학습시킨 딥러닝 모델이 테스트 데이터 세트에서 예측을 진행했을 때, 모델이 데이터의 어떤 부분에 주목하는지 파악하기 위해 Grad-CAM(Gradient-weighted Class Activation Mapping) 기법을 적용한 결과의 일부이다. Grad-CAM은 신경망의 마지막 합성곱 층의 특징 맵에 그래디언트 정보를 결합하여 해당 층에서 각 클래스에 대한 공간적인 중요도를 시각화 하는 방법이다. 이 기술은 모델이 특정 출력을 결정할 때 어떤 영역을 중요하게 고려하는지를 분석함으로써, 모델의 해석 가능성을 높이고 결과의 신뢰성을 강화하는데 유용하다. 이 결과는 모델의 세 번째 층에 적용되었으며 단축 인장, 평면 인장, 등방성 인장 세 변형 모드에 해당하는 Grad-CAM 데이터를 보여준다. 모든 데이터에서 예시 이미지와 동일한 결과가 나타난 것은 아니지만, 대체로 이 딥러닝 모델은 ϕ2가 20~35° 범위일 때의 β-fiber 상의 Brass-S-Copper 방위 분포함수 값을 중점적으로 보면서 예측을 진행한 것을 알 수 있다.

이는 데이터 세트 제작 시 냉간 압연으로 인한 감소율에 따른 집합조직의 비율을 사용한 점과, β-fiber 상의 집합조직의 비율이 높을 때 소재의 성형성이 저하되는 특성이 충분히 반영된 결과이다[27]. 이러한 맥락에서, 이 딥러닝 모델은 소재의 집합조직과 FLD의 상관관계를 잘 반영하며, 변형 과정에서 발생하는 상호작용을 효과적으로 포착하고 있음을 시사한다.

4. 결 론

이 연구는 판재 금속의 FLD를 예측하기 위해 딥러닝 기술을 적용한 새로운 접근 방식을 제시했다. 전통적인 실험과 수치 시뮬레이션 방법의 한계를 극복하고, 방위 분포 함수와 결정 소성 유한요소해석 방법을 활용하여 보다 효율적인 예측을 가능하게 했다. 연구 방법론은 크게 세 부분으로 구성되었다. 첫째, AA6061합금의 방향 데이터를 생성하고, 이를 방위 분포함수 데이터로 변환하여 다양한 집합조직의 영향을 평가했다. 둘째, 가상 성형 시험 모델을 통해 FLD 데이터를 계산하고, 이를 딥러닝 모델 학습에 적합한 형태로 변환했다. 셋째, ResNet18과 유사한 구조를 가진 딥러닝 모델을 설계하고 Optuna 라이브러리를 활용해 하이퍼 파라미터 최적화를 수행했다.

모델은 초기 훈련에서 빠른 손실 감소 추세를 보였으며, 점진적인 안정화를 통해 테스트 데이터 세트에서 약 0.7의 R2 스코어와 함께 평균절대오차(MAE) 0.0041의 성능을 달성했다. 예측 값의 스케일(0.2-0.5)을 고려할 때 해당 오차 수준은 비교적 낮은 편에 속하며, 모델의 정밀한 예측 능력을 뒷받침한다. 그러나 실제 실험 데이터에 적용했을 때 부 변형률이 0보다 큰 이축 인장 하에서 예측 성능이 저하되는 문제가 보였고, 이는 결정 방위 데이터를 방위 분포함수 데이터로 변환하는 과정에서 생긴 정보손실 문제로 추정된다. 이 문제를 해결하기 위해, RVE 상의 위치정보를 포함하는 추가 데이터를 입력 값으로 통합하는 것이 향후 연구에서 중요할 것이다. 또한, 모델이 예측의 근거로 사용하는 영역을 확인하기 위해 Grad-CAM 기법을 적용한 결과, 모델이 특정 결정 방위에 주목하며 예측을 수행하는 것을 확인하였다. 이는 모델이 β-fiber에 주목하며 예측을 수행하는 패턴을 보여주었으며, 소재의 집합조직과 FLD의 상관관계를 잘 반영하고 있음을 나타낸다.

이 연구는 재료의 미세구조 데이터를 통한 FLD의 예측이 기존 방법에 비해 시간과 비용을 절약할 수 있으며, 더욱 다양한 조건의 재료 특성을 예측할 가능성을 제시했다. 그러나 방위 분포함수 데이터만으로는 예측에 한계가 있으며, 보다 높은 정확도를 위해서는 이방성 지표와 같은 추가적인 입력 값이 필요함을 확인할 수 있었다.

Notes

[1] 감사의 글

본 연구는 과학기술정보통신부의 한국재료연구원 연구운영비지원사업(PNKA640) 및 산업통상자원부의 소재부품산업기술개발 기반구축사업(P0022331)과 소재부품기술개발사업(20011371)의 지원으로 수행되었습니다.

REFERENCES

1 
Tisza M., Kovács P. Z., Lukács Z., Kiss A., Gál G., Mater. Sci. Forum,812, 271 (2015)Google Search
2 
Kim S. B., Huh H., Bok H. H., Moon M. B., J. Mater. Process. Tech,211, 851 (2011)Google Search
3 
Panich S., Barlat F., Uthaisangsuk V., Suranuntchai S., Jirathearanat S., Mater. Des,51, 756 (2013)Google Search
4 
Bong H. J., Barlat F., Lee M. G., Ahn D. C., Int. J. Mech. Sci,64, 1 (2012)Google Search
5 
Marciniak Z., Kuczyński K., Int. J. Mech. Sci,9, 609 (1967)Google Search
6 
Ogasawara Y., Hakoyama T., Kuwabara T., Hayamizu H., Ikeda T., Takeda H., Barlat F., Procedia Manuf,47, 1270 (2020)Google Search
7 
Evangelista S. H., Lirani J., Al-Qureshi H. A., J. Mater. Process. Tech,130, 135 (2002)Google Search
8 
Bressan J. D., Moreira L. P., dos Santos Freitas M. C., Bruschi S., Ghiotti A., Michieletto F., Adv. Mater. Res,1135, 202 (2016)Google Search
9 
Signorelli J. W., Bertinetti M. A., Turner P. A., Int. J. Plast,25, 1 (2009)Google Search
10 
Kim J. H., Lee M. G., Kang J. H., Oh C. S., Barlat F., Int. J. Plast,93, 26 (2017)Google Search
11 
Park T.O, Lee S.H., Jwa P., Kwon Y.N., Timilsina S., Jang S.M., Jo C.W., Kim J.S., Korean J. Met. Mater,61, 958 (2023)Google Search
12 
Lee J.-M., Kim M.-J., Choe K.-H., Kim D. E., Korean J. Met. Mater,61, 18 (2023)Google Search
13 
Greve L., Schneider B., Eller T., Andres M., Martinez J. D., van de Weg B., Eng. Fract. Mech,219, 106642 (2019)Google Search
14 
Jeong K., Lee K., Lee S., Kang S. G., Jung J., Lee H., Han H. N., Int. J. Plast,157, 103403 (2022)Google Search
15 
Erice B., Gómez F. J., Forming Limit Curve Prediction with Neural Network for Non-Proportional Loadings,41, 95 (2022)Google Search
16 
Bunge H. J., Haessner F., J. Appl. Phys,39, 5503 (1968)Google Search
17 
Chen M. B., Li J., Zhao Y. M., Yuan H., Liu W. C., Mater. Charact,62, 1188 (2011)Google Search
18 
Liu W. C., Radhakrishnan B., Li Z., Morris J. G., Mater. Sci. Eng. A,472, 170 (2008)Google Search
19 
He K., Zhang X., Ren S., Sun J., Proc. IEEE Conf. Comput. Vis. Pattern Recognit,770-778, IEEE (2016)Google Search
20 
LeCun Y., Huang Fu Jie, Bottou L., Proc. IEEE Comput. Soc. Conf. Comput. Vis. Pattern Recognit,97-104, IEEE (2004)Google Search
21 
He K., Zhang X., Ren S., Sun J., Proc. IEEE Int. Conf. Comput. Vis,1026-1034, IEEE (2015)Google Search
22 
Akiba T., Sano S., Yanase T., Ohta T., Koyama M., Proc. 25th ACM SIGKDD Int. Conf. Knowl. Discov. Data Min,2623-2631, ACM (2019)Google Search
23 
Kingma D. P., Adam J. Ba, https://arxiv.org/abs/1412.6980, A Method for Stochastic Optimization, (2014)Google Search
24 
Loshchilov I., Hutter F., https://arxiv.org/abs/1711.05101, Decoupled Weight Decay Regularization, (2017)Google Search
25 
Reddi S. J., Kale S., Kumar S., https://arxiv.org/abs/1904.09237, On the Convergence of Adam and Beyond, (2019)Google Search
26 
Wang H., Lee H. W., Kang S. H., Kim D. K., Metals,14, 503 (2024)Google Search
27 
Pedersen K. O., Lademo O. G., Berstad T., Furu T., Hopperstad O. S., J. Mater. Process. Technol,200, 77 (2008)Google Search

Figures and Tables

Fig. 1.

Overall learning process of the deep learning model used in this study.

../../Resources/kim/KJMM.2025.63/kjmm-2025-63-7-542f1.jpg
Fig. 2.

Schematic representation of texture components in polycrystalline material. Brass (a), S (b), Copper (c), Cube (d), and Goss (e) orientations are arbitrarily mapped in spatial coordinates.

../../Resources/kim/KJMM.2025.63/kjmm-2025-63-7-542f2.jpg
Fig. 3.

(a) Schematic of combined CPFEM-MK model and (b) flowchart for simulation of FLD using CPFEM-MK approach

../../Resources/kim/KJMM.2025.63/kjmm-2025-63-7-542f3.jpg
Fig. 4.

Shapes of each texture in orientation space

../../Resources/kim/KJMM.2025.63/kjmm-2025-63-7-542f4.jpg
Fig. 5.

Structure of the deep learning model used

../../Resources/kim/KJMM.2025.63/kjmm-2025-63-7-542f5.jpg
Fig. 6.

Changes in learning and R2 scores with epochs: (a) Loss reduction for training and validation, (b) R2 score improvement for training and validation, (c) R2 score comparison across training, validation, and test sets.

../../Resources/kim/KJMM.2025.63/kjmm-2025-63-7-542f6.jpg
Fig. 7.

Changes in R2 scores according to variations in model structure and data resolution

../../Resources/kim/KJMM.2025.63/kjmm-2025-63-7-542f7.jpg
Fig. 8.

FLD analysis variations based on different strain ratios in three cases.

../../Resources/kim/KJMM.2025.63/kjmm-2025-63-7-542f8.jpg
Fig. 9.

Comparison graph of label data and model predictions for the two worst cases

../../Resources/kim/KJMM.2025.63/kjmm-2025-63-7-542f9.jpg
Fig. 10.

Model prediction results for actual FLD test

../../Resources/kim/KJMM.2025.63/kjmm-2025-63-7-542f10.jpg
Fig. 11.

R2 Analysis of Test dataset

../../Resources/kim/KJMM.2025.63/kjmm-2025-63-7-542f11.jpg
Fig. 12.

Grad-CAM analysis for deformation modes (a) Uniaxial tension, (b) Plane strain, (c) Biaxial tension.

../../Resources/kim/KJMM.2025.63/kjmm-2025-63-7-542f12.jpg
Table 1.

Range of texture ratio at strain rate of 0~90% after rolling of AA6061

Texture volume fraction (%)
Cube r-Cube Goss r-Goss Brass Copper S Remainder
6.0~13.3 0~7.5 8.6~16.8 4.4~6.9 3.63~18.11 6.8~22.45 4.85~22.45 >13.6
Table 2.

Euler angles for each texture

Texture Euler angle {φ1, Φ, φ2} (°)
Brass {35.26, 45, 90}
Brass {54.74, 90, 45}
Copper {90, 35.26, 45}
Copper {39.23, 65.9, 26.57}
S {58.98, 36.7, 63.43}
S {27.03, 57.69, 18.44}
S {52.87, 74.49, 33.69}
Goss {90, 90, 45}
Goss {0, 45, 0}
Cube {0, 0, 0}
R-cube {45, 0, 0}
Table 3.

Parameters used in the analysis

Parameter Value
Elastic Constants
C11 (GPa) 123.32
C12 (GPa) 70.65
C44 (GPa) 31.21
Hardening parameters
m 20
γ̇0 0.001
0 (MPa) 365
τ0 (MPa) 106
τs (MPa) 202
a 1.6
Analysis condition
Mesh option 10×10×10
Young’s modulus (GPa) 70
Poisson’s ratio 0.35
Imperfection fector, f0 0.97
Table 4.

Hyperparameter tuning results using optuna

Learning rate Weight_decay Optimizer Criterion Train R2score Validation R2score
0.00064311 0.00028775 AdamW (Amsgrad) SmoothL1Loss 0.69747 0.73476
0.0054903 0.0015848 AdamW (Amsgrad) SmoothL1Loss 0.68902 0.73382
0.00050348 0.00030796 AdamW (Amsgrad) SmoothL1Loss 0.68881 0.73368
0.0031447 0.00032341 AdamW (Amsgrad) MSELoss 0.69771 0.73325
0.00054903 0.0010721 Adam MSELoss 0.48195 0.54391