The Journal of
the Korean Journal of Metals and Materials

The Journal of
the Korean Journal of Metals and Materials

Monthly
  • pISSN : 1738-8228
  • eISSN : 2288-8241

Editorial Office


  1. 경북대학교 첨단소재공학부 금속재료공학전공 (School of Materials Science and Engineering, Department of Materials Science and Metallurgical Engineering, Kyungpook National University, Daegu 41566, Republic of Korea)



Half-Heusler phase, Thermoelectric material, Rapid solidification

1. 서 론

열전발전은 열에너지와 전기에너지의 직접적이고 가역적인 변환 현상을 활용하는 기술로, 환경친화적이고 지속가능한 에너지 하베스팅 기술로 주목받고 있다. 이 기술은 버려지는 열 에너지를 회수하여 에너지 효율을 높이는 데 기여한다. 열전재료의 변환효율은 무차원성능지수(ZT)로 나타내며 식으로 나타내면 다음과 같다[1]:

(1)
Z T = S 2 σ κ t T

이때 S는 제백계수, σ는 전기전도도, κt는 전체 열전도도이다. 식 (1)에서 볼 수 있듯이 파워팩터(S2σ)를 높이거나 열전도도를 낮춰 열전성능을 향상시킬 수 있다.

300~500 K의 저온대역에서는 BiSb 계, CsBi4Te6 계, BiTe 계, MgAgSb 계 등의 합금들이, 600~1000K의 중온 및 고온대역에서는 스커테루다이트, PbTe, SnTe 계 등과 함께 하프-호이슬러 계열 소재가 연구되고 있다[2-10]. 그 중 하프-호이슬러 열전재료는 높은 온도에서 안정성, 우수한 기계적강도, 무독성, 지구에 풍부한 원소들로 이루어져 경제적이고 환경친화적인 장점이 있다[11].

n형 하프-호이슬러 소재 중 가장 활발히 연구된 소재는 MNiSn(M = Ti, Zr, Hf) 화합물이다[12-26]. MNiSn 하프-호이슬러 합금의 결정구조는 공간군 F 4 ¯ 3m의 MgAgAs 큐빅 구조를 가지며[27], 각 원소가 Wyckoff 위치 4b(1/2,1/2,1/2), 4c(1/4,1/4,1/4), 4a(0,0,0)에 각각 배치된다. 4d자리는 비워진 상태이며, 이 위치에 Ni가 자리할 경우 금속성을 가지는 풀-호이슬러 구조가 된다[20].

MNiSn 기반 하프-호이슬러 열전 소재는 좁은 밴드갭(0.1~0.2eV)을 가지며[14], 독특한 격자구조에서 천이원소들의 강한 혼성화 효과로 인해 높은 제벡계수와 낮은 전기 비저항을 가진다[28]. 그러나, 소재가 불균질한 경우 상 분리나 이차상이 형성되어 전자 흐름을 방해하고, 전자 이동도를 저하시킬수 있다. 이로 인해 결정 구조 내에 불균일한 미세구조가 형성된다. 금속성 이차상이 존재할 경우 불순물 밴드가 형성되어 밴드구조가 변화하고, 전하 이동도가 저 하되어 전기전도도가 감소한다. 결과적으로 열전성능이 저하될 수 있다[15,26,29,30]. 이러한 문제를 해결하기 위해 일반적으로 장시간 열처리를 수행하여 결정립을 균일화하고 원자 확산을 촉진하여 조성을 균질화하지만[21,23-25,29,31], 이는 공정 시간이 길어지고 비용이 증가하는 단점이 있다. 따라서 높은 열전 성능을 유지하면서도 공정 시간을 단축할 수 있는 새로운 합성방법이 요구된다.

M 위치에 주기율표에서 같은 족에 속하는 Ti, Zr, Hf의 비율을 조절하여 등전자이온 치환을 통해 원자량과 원자반경의 차이에 의해 발생하는 포논 산란효과를 증대시켜 열전도도를 저감시킨 선행연구들이 있다[20,32]. 또한, 열전 성능 인자들은 캐리어 농도로 trade-off 관계에 있기 때문에 캐리어농도의 최적화를 위하여 기본 원소보다 최외각 전자가 하나 더 많은 원소를 도핑하여 ZT 값을 상승시키는 연구들이 수행되고 있다[18,30,33-36]. 따라서 본 연구는 Ti 자리에 Zr, Hf의 동족 원소를 치환하여 포논 산란 효과를 증대시키고 열전도도의 감소를 유도하고자 하였다. 또한, Sb 도핑량 변화에 따른 열전특성 변화를 체계적으로 분석하였다. 많은 연구들에서 M 자리에 Hf이 포함돼 우수한 열전 특성을 얻었다고 밝혔다[18,37-39]. 하지만 널리 알려진 바와 같이 Hf은 희귀한 원소 중 하나로 고가 원소이기에 소재 가격과 대량생산성을 고려하여 Hf 양을 줄이는 것이 필요하다. 이러한 문제점들을 고려하여 본 연구에서는 Hf 양을 전체의 약 10%로 줄여 Ti0.5Zr0.17Hf0.33NiSn 기반 합금을 설계하였다.

RSP는 용융된 금속을 빠른 속도로 응고 시키는 비평형 공정기술로 결정립을 미세화시킬 수 있다[40]. 본 연구에서는 미세구조를 효과적으로 제어 하기 위해 RSP공정을 활용하여 소재를 합성하였으며, 장시간 열처리 없이 짧은 공정시간으로 높은 열전성능을 확보하는 것을 목표로 하였다. 리본 형태의 시편을 제작하기 위해 RSP공정의 최적화를 진행하였으며, 미세구조 제어를 통하여 열전 성능 향상을 유도하고자 하였다. 또한 급랭과정을 통하여 하프-호이슬러 단일상을 합성하고자 하고자 하였으며 합성한 소재에 Sb를 도핑원소로 첨가하여 사용하였다.

2. 실험 방법

Ti0.5Zr0.17Hf0.33NiSn1-xSbx (x = 0.02~0.08)를 합성하기 위해 Ti (순도 99.99%, 1~10 mm lump, Avention), Zr (순도 99.4%, 1~10 mm, Avention), Ni (순도 99.99%, 3 × 3 mm lump, Avention), Hf (순도 99.95%, 1~10 mm, Avention), Sn (순도 99.99%, 1~10 mm, Avention), Sb (순도 99.99%, 1~6 mm lump, Avention) 재료를 사용하였다. 각각의 합금 조성을 8 g으로 정량비대로 칭량하여 진공 아크 용해로(Vacuum Arc Furnace, 삼한진공)를 사용하여 모합금을 제조하였다. 제작된 모합금을 고주파 급속 응고 장치(Induction Rapid Solidification Process System, RSP, 삼한진공)를 이용하여 리본모양의 시편을 제작하였다. 석영 노즐 내에서 챔버 내 0.76 kgfcm-2 고순도 아르곤(Ar) 분위기로 유도가열(Induction Melting) 후, 40 ms-1로 회전하는 구리 휠에 분사압 1.2 kgfcm-2로 분사하였다. 또한 리본시편과 유도가열만으로 제작된 잉곳의 미세구조를 비교하기 위해, 고주파 급속 응고 장치를 사용하여 3분간 유도가열하여 잉곳을 제작하였다. 제작된 리본시편들은 분말화를 위해 볼: 시편 비율 10:1로 넣고 에탄올을 자의 70%만큼 채워 볼 밀링기(SPEX MILL, 태명과학)를 이용해 습식밀링을 15분동안 진행하였다. 에탄올을 제거하기 위해 40°C에서 24시간동안 Forced Convection Oven(JSR)을 사용해 건조 하였으며, 건조된 분말은 체(sieve)를 사용하여 53 μm 이하로 분급하였다. 분급된 분말들을 5 g씩 계량하여 흑연몰드(직경 12.6 mm)에 장입하였고 Ar 분위기 내 1223K에 서 65 MPa의 압력을 가하면서 방전 플라즈마 소결(Dr. Sinter, Fuji Electronic Industrial) 장비를 이용하여 소결하였다. 소결 후 얻어진 벌크는 절단하여 열확산도(D), 비열(Cp), 제벡계수(S), 전기전도도(σ), 밀도(ρ) 등을 측정하였으며 열확산도는 LFA467HT(LFA, NETZSCH GeratebauGmbH), 제벡 계수와 전기전도도는 ZEM-3(Ulvac)등의 상용장비를 사용하였다. 소결 후 제작된 시편의 밀도는 증류수에서 아르키메데스 원리(Archimedes principle)를 이용하여 측정하였고 비열(Cp)은 C p = 3 R M (Dulong-Petit 법칙)으로부터 계산하였으며 이때 R은 기체상수, M은 분자량이다. 소재의 열전도도(κ)는 κ = D·ρ·Cp의 관계식으로 계산하였으며, 소결체의 전하농도는 홀 측정기(Hall measurement, Ecopia HMS-3000)를 사용해 0.55T 자장 아래에서 4단자법(4-point probe measurement)으로 측정하였다. 그리고 소재의 미세구조 분석을 위하여 2θ 20-90° 범위, 스텝크기 0.02°s-1로 X선 회절 분석(X-Ray Diffraction, XRD, CuKα) 하였고 전계방사형 주사전자현미경(Field Emission-Scanning Electron Microscopy, FE-SEM, SU8220, Hitachi)을 이용하여 후방산란전자(BSE, Back-Scattering Electron) 검출기와 EDS(Energy-Dispersive X-ray Spectroscopy) 검출기를 통하여 상 분석하였다.

3. 결과 및 고찰

그림 1(a)는 Ti0.5Zr0.17Hf0.33NiSn0.98Sb0.02 소재를 유도가열로 얻은 잉곳을, 그림 1(b)는 동일 소재를 RSP공정으로 제작한 리본의 OM 사진이다. 그림 1(a)에서 잉곳은 천천히 냉각된 결과 대부분 100 μm 이상의 크고 불균일한 결정립이 형성되었음을 관찰했다. 또한 덴드라이트의 팔이 크고 덴드라이트 팔 사이 간격이 넓어 이는 액상 영역에서 의 편석을 촉진한다. 이는 재료의 균일성을 저하시켜 열전 성능에 부정적인 영향을 미치며 불균일한 미세구조의 균질화를 위하여 장시간 열처리 공정이 필요하게 된다.

반면, 그림 1(b)에서 리본은 RSP 공정을 통한 급속 응고에 의하여 균일한 미세구조가 관찰되었다. 또한 덴드라이트 팔은 길고 얇으며 매우 미세한 덴드라이트 구조가 형성되었다. 결과적으로 급속 응고를 통하여 응고조직이 미세화 되었으며, 조성 편석이 최소화 됨에 따라 균질화 처리 시간을 단축할 수 있었다. 따라서 본 실험에서는 공정 시간 단축을 위해 장시간 열처리 공정 없이 하프-호이슬러 단일상을 합성하고자 하였기에 RSP 공정을 통해 제작한 리본을 이용하여 열전성능을 평가하고자 하였다.

그림 2(a)는 Ti0.5Zr0.17Hf0.33NiSn1-xSbx (x = 0.02~0.08) RSP 공정으로 제작한 리본 시편을 밀링하여 얻은 파우더의 XRD 패턴을 나타낸다. RSP 및 소결 과정을 거친 Ti0.5Zr0.17Hf0.33NiSn1-xSbx (x = 0.02~0.08) 소재들 모두에서 주피크는 강한 TNiSn의 MgAgAs형 결정구조 (PDF#03-065-0991, space group, F 4 ¯ 3m No. 216)가 관찰되었다. 또한 Zr 및 Hf의 원자 치환으로 인해 XRD 피크가 저각으로 이동하는 현상이 확인되었다. 추가적으로 35°~40°에서 미약한 Ti6Sn5 (PDF#01-072-3255) 및 ZrNi5 (PDF#01-073-2869) 피크가 검출되었다.

그림 2(b)는 Ti0.5Zr0.17Hf0.33NiSn1-xSbx (x = 0.02~0.08) 리본들을 빻아 SPS한 소결체의 XRD 패턴을 나타낸다. 모든 소결체에서 균일한 MNiSn 하프-호이슬러 패턴을 관찰할 수 있었다. SPS 후, Ti6Sn5와 ZrNi5 이차상이 고온 소결과정의 장거리 원자 확산에 의해 조성의 균질화가 이루어져 소멸되었다. 이때 주 피크인 (220) 피크를 확대해보면 (220) 피크의 2θ 위치는 42.418°(x = 0.02)에서 42.435° (x = 0.08)로 Sb의 도핑 양 증가에 따라 고각으로 이동하였으며(그림 2(c)). 격자상수(a)는 감소하였다(표 1). 격자상수는 브래그 법칙(식 2)과 FCC 구조에서의 면간거리 계산식(식 3)를 통하여 계산하였다.

(2)
λ = 2 d sin θ (브래그법칙)
(3)
d = a h 2 + k 2 + l 2 ( FCC 에서 면간거리 )

이때 λ는 x선의 파장(Cu Kα = 1.54Å), d는 면간거리, hkl은 밀러지수이다. 이러한 2θ와 격자상수의 변화는 Sn과 Sb의 원자반지름 차이 때문으로 해석된다. Sn은 162 pm, Sb는 159 pm으로 Sb가 Sn에 비하여 원자 반지름이 작아 Sb가 도핑 될 때 격자상수는 감소하게 된다. 위와 같은 결과는 Sb가 격자 내 치환이 잘 이루어졌음을 의미한다.

그림 3은 1223K에서 SPS한 Ti0.5Zr0.17Hf0.33NiSn1-xSbx(x = 0.02, 0.04, 0.08) 샘플들의 SE 사진이다. 표 1에서 SPS 한 샘플들의 밀도를 아르키메데스 원리를 이용하여 측정한 값을 나타내었다. 모든 샘플들의 이론밀도는 94% 이상으로, 기공이 적고 치밀하게 소결되었음을 확인하였다. 이는 SE 사진(그림 3)에서도 동일하게 관찰되었다. Sb 도핑량 증가에 따른 미세구조 변화는 발생하지 않았으며 SEM 사진 관찰 결과는 XRD 분석 결과를 뒷받침한다.

그림 4(a)는 Ti0.5Zr0.17Hf0.33NiSn1-xSbx (x = 0.02, 0.04, 0.08) 소결체의 온도에 따른 전기전도도를 나타낸다. 모든 샘플은 온도 상승에 따라 전기전도도가 감소하는 금속적 거동을 보였다. 전기전도도(σ)는 식 (4)으로 나타낼 수 있다.

(4)
σ = ne μ

여기서 n은 전자농도, e는 전자전하, μ는 전자 이동도를 의미한다. 표 1의 결과에 따르면, 300K에서 x = 0.02 샘플의 전자농도는 약 8.131 × 1018cm-3 였으며, Sb 도핑량이 지수적으로 증가함에 따라 전자 농도도 증가하여 x = 0.08 샘플에서 약 1.930 × 1019cm-3에 도달하였다. 한편, Sb 도핑량 증가로 인한 불순물 산란 효과로 전자 이동도는 감소하는 경향을 보였다. 이러한 결과는 Sb 도핑량 증가로 인해 전기전도도가 주로 전자 농도 증가에 의해 향상되었음을 뒷받침한다.

그림 4(b)는 Ti0.5Zr0.17Hf0.33NiSn1-xSbx (x = 0.02, 0.04, 0.08) 소결체의 온도에 따른 제벡계수를 보여준다. Sb 도핑량 증가에 따라 제벡계수의 절대값은 감소하는 경향을 보였다. 금속 및 축퇴 반도체의 제벡계수는 Pisarenko 관계를 따르며, 이는 제벡계수(S)와 전하농도(n) 간의 관계를 설명한다. Pisarenko 관계는 식 (5)로 나타낼 수 있다:

(5)
S = 8 π 2 k B 2 T 3 e t h 2 m ( π 3 n ) 2 / 3

식 (5)에서 kB, e, h, m*, T는 각각 Boltzmann상수, 전자의 전하, Planck상수, 전하의 유효질량(effective mass), 절대온도를 의미한다. 식 (5)와 같이 제벡계수와 전하농도는 반비례관계에 있기 때문에 앞서 홀 측정으로 알아낸 Sb 도핑량 증가에 따른 소재의 전자농도의 증가는 제벡계수의 감소를 발생시켰음을 알 수 있다. 제벡계수의 최대값(|Smax|)는 x = 0.02 샘플에서 773K에서 나타났으며, x = 0.04 및 x = 0.08 샘플은 873K에서 최대값을 확인하였다. 또한 Sb함량이 증가함에 따라 |Smax|도 줄어들었음을 관찰했다. 이는 캐리어 농도가 상대적으로 낮은 x = 0.02 샘플에서 고온으로 갈수록 Sb의 도핑 효과가 감소하고, 진성 캐리어가 활성화되어 바이폴라 효과가 조기에 발생한 것으로 해석된다[41].

그림 5식 (5)에 따라 계산된 Pisarenko 관계를 그래프로 나타낸 것으로, 각 샘플의 유효질량을 비교하였다. 유효질량은 전자의 파수벡터(k)에 따른 에너지분포와 관련이 있으며, 식 (6)로 정의된다:

(6)
m = h 2 4 π 2 ( 2 E k 2 )

여기서 m*, h, E, k는 각각 유효질량, 플랑크상수, 전자의 운동에너지, 전자의 파수벡터를 의미한다. 식 (6)를 통하여 캐리어의 유효질량이 커질수록 파수에 대한 전자의 에너지 분포함수의 곡률이 작아짐을 알 수 있다. 그림 5에 따르면, 모든 소결체의 유효질량은 0.17~0.19 m0 범위에서 관찰되었으며, Sb 도핑량이 증가함에 따라 유효질량이 감소하는 경향을 보였다. 그림 5식 (6)의 결과를 종합하면 Sb가 도핑되면서 에너지 밴드 구조가 변화한 것으로 해석된다. Sb 도핑이 밴드 구조에 미치는 영향을 보다 구체적으로 분석하기 위해 에너지 밴드갭(Eg)을 계산하였다. 에너지 밴드갭 계산은 골드스미스 근사법(Goldsmid approximation)을 이용하였으며, 이는 제벡계수의 최대값(|Smax|)과 온도 (Tmax)를 기반으로 식 (7)과 같이 표현된다[42]:

(7)
| S max | = E g 2 e T max

여기서 |Smax|는 최대 제벡계수의 절대값, Tmax는 |Smax|가 나타나는 온도를 의미한다. 표 1에서 Ti0.5Zr0.17Hf0.33NiSn1-xSbx (x = 0.02, 0.04, 0.08) 소결체의 골드스미스 근사법을 이용한 밴드갭 계산 결과를 나타내었다. 표 1에 나타난 바와 같이, Sb 도핑량 증가에 따라 밴드갭은 처음에는 증가하다가 이후 감소하는 경향을 보였다. 이러한 변화는 Sb 도핑에 의해 기지 내 에너지 밴드 구조가 변화하면서 나타난 결과로 해석된다. 따라서 Sb 도핑량 증가에 따른 제벡계수의 절대값 감소는 Sb 도핑으로 인한 Eg 변화 및 캐리어 농도의 변화와 관련이 있음을 알 수 있다.

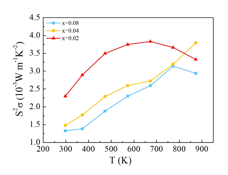
그림 6은 Ti0.5Zr0.17Hf0.33NiSn1-xSbx (x = 0.02, 0.04, 0.08) 소결체의 전기전도도와 제벡계수를 기반으로 계산된 파워팩터(PF)를 나타냈다. 파워팩터는 측정온도 범위 전반에서 Sb 함량이 증가함에 따라 전반적으로 감소하는 경향을 보였다. 또한 x = 0.02와 x = 0.08 샘플은 각각 673K, 773K에서 파워팩터의 최대값을 나타낸 후 감소하는 경향을 보였다. 전기적 특성 분석 결과를 종합하면, Sb 함량 증가에 따라 전기전도도는 증가하였으나 제벡계수는 감소하였다. 파워팩터는 PF = S2σ의 관계식에 따라, 감소한 제벡계수가 파워팩터에 더 큰 영향을 미쳤음을 확인할 수 있다. x = 0.02 샘플은 673K에서 3.83 mWm-1K-2의 최대값을 기록하였으며, 이는 x = 0.08 샘플의 최대값인 3.14 mWm-1K-2 (773K)에 비해 1.2배 높은 값이다.

그림 7(a)는 Ti0.5Zr0.17Hf0.33NiSn1-xSbx (x = 0.02, 0.04, 0.08) 소결체의 Sb 도핑량에 따른 전체 열전도도(κtot)의 변화를 나타냈다. 전체 열전도도는 Sb 도핑량이 적은 x = 0.02 샘플에서 측정 온도 범위 전체에 걸쳐 가장 낮았으며, Sb 도핑량 증가에 따라 열전도도가 증가하는 경향을 보였다. 열전도도 거동의 원인을 살펴보기위해 그림 7(a)의 열전도도를 격자열전도도(klat), 전자열전도도(ke), 그리고 바이폴라 열전도도(kbi)로 분해하여 식 (8)으로 나타내었다:

(8)
k = k e + k l a t + b i

전자열전도도는 비데마-프란츠 법칙(Wiedemann-Franz law)으로 나타낼 수 있고 식으로 나타내면 다음과 같다:

(9)
k e = L σ T

여기서 L, σ, T는 각각 로렌츠상수, 전기전도도, 절대온도를 의미한다.

로렌츠상수는 식 (10)로 근사할 수 있으며[43], Sb 도핑량과 온도에 따른 변화를 그림 7(b)에 나타냈다:

(10)
L = 1.5 + exp ( | s | 116 )

식 (10)에서 계산된 L값으로부터 식 (9)를 이용해 전자 열전도도를 계산하여 그림 7(c)로 나타내었고, 전체 열전도도에서 전자열전도도를 빼 격자열전도도를 도출하여 그림 7(d)로 나타냈다. 그림 7(c)를 통해 Sb 도핑량이 증가함에 따라 전자농도가 증가하여 전자 열전도도가 증가하였음을 알 수 있다. 그림 7(d)에 따르면, x = 0.08 샘플은 저온에서 상대적으로 높은 격자 열전도도를 보였으나, 중고온 범위에서는 다른 샘플들과 유사한 값을 나타냈다. x = 0.04 샘플은 Sb 도핑으로 인한 원자반경 차이로 발생 된 포논산란 효과로 측정 온도범위 전반에서 x = 0.02 샘플보다 낮은 격자열전도도를 나타냈으나 큰 폭으로 감소하지 않았다. 이는 Ti, Zr, Hf의 혼합으로 인한 합금산란 효과가 이미 존재하여 격자열전도도가 추가적으로 감소될 여지가 줄어들었기 때문이다[13]. 그림 7(a)-(d)의 결과를 종합하면, 열전도도가 증가하는 현상은 전자농도가 증 하면서 전자열전도도가 크게 상승하였기 때문이라고 사료된다.

그림 8은 본 연구에서 합성한 Ti0.5Zr0.17Hf0.33NiSn1-xSbx (x = 0.02, 0.04, 0.08)의 온도에 따른 무차원 성능지수(ZT) 변화를 나타낸다. Sb 도핑량이 증가함에 따라 전자 농도가 높아지고 전기전도도는 증가하였으나, 제벡계수의 감소가 이를 상쇄하면서 결과적으로 낮은 ZT값이 관찰되었다. 가장 높은 ZT값을 기록한 샘플은 Ti0.5Zr0.17Hf0.33NiSn0.98Sb0.02로, 773K에서 0.92를 나타냈다.

4. 결 론

본 연구에서는 Sb를 도핑원소로 활용하여 RSP 공정을 통해 균일한 n형 하프-호이슬러 Ti0.5Zr0.17Hf0.33NiSn1-xSbx (x = 0.02, 0.04, 0.08) 소재를 합성하였으며, Sb 함량에 따른 열전성능을 비교 분석하였다. RSP 공정을 활용하여 용융 합금을 급랭시킴으로써 금속성 이차상의 발생을 최소화 하고, 균일하고 미세한 하프-호이슬러 상을 형성하였다. SPS 공정을 통해 금속성 이차상을 제어하고, 치밀한 미세 구조를 가진 소결체를 성공적으로 제작하였다. Sb 도핑량 증가에 따라 전자농도는 1.930 × 1019cm-3까지 증가하였고, 이에 따라 전기전도도는 증가한 반면 제벡계수는 감소하는 경향을 보였다. 전기전도도와 제벡계수의 복합적인 영향으로, Ti0.5Zr0.17Hf0.33NiSn0.98Sb0.02 샘플에서 최대 파워팩터 3.83 mWm-1K-2를 773K에서 기록하였다. 전체 열전도도는 Sb 도핑량 증가에 따른 전기전도도 상승으로 증가하는 경향을 보였으나, Ti0.5Zr0.17Hf0.33NiSn0.98Sb0.02 샘플에서 가장 낮은 열전도도 3.04 Wm-1K-2를 기록하였다. 결과적으로 파워팩터가 가장 높고 열전도도가 가장 낮았던 Ti0.5Zr0.17Hf0.33NiSn0.98Sb0.02 샘플에서 ZTmax 0.92를 773K에서 달성하였다. 종합적으로, 비싸고 희귀한 Hf 사용량을 전체의 10%로 줄이면서도 우수한 열전성능을 가진 하프-호이슬러 소재를 긴 열처리 공정없이 RSP공정을 통하여 성공적으로 합성하였다.

Notes

[1] 감사의 글

이 연구는 대한민국 정부(과학기술정보통신부)의 재원으로한국연구재단(NRF)의 지원을 받아 수행됨(No. NRF-2021R1A4A2001658).

REFERENCES

1 
Chasmar R., Stratton R., Int. J. Electron,7, 52 (1959)Google Search
2 
Chung D.-Y., Hogan T., Brazis P., Rocci-Lane M., Kannewurf C., Bastea M., Uher C., Kanatzidis M. G., Science,287, 1024 (2000)Google Search
3 
Goldsmid H. J., Mater,7, 2577 (2014)Google Search
4 
Heremans J. P., Jovovic V., Toberer E. S., Saramat A., Kurosaki K., Charoenphakdee A., Yamanaka S., Snyder G. J., Science,321, 554 (2008)Google Search
5 
Lenoir B., Scherrer H., Caillat T., Semicond. Semimetals,69, 101 (2001)Google Search
6 
Rull-Bravo M., Moure A., Fernández J., Martín-González M., RSC Adv,5, 41653 (2015)Google Search
7 
Sales B., Mandrus D., Williams R. K., Science,272, 1325 (1996)Google Search
8 
Ying P., Liu X., Fu C., Yue X., Xie H., Zhao X., Zhang W., Zhu T., Chem. Mater,27, 909 (2015)Google Search
9 
Lee J., Park H., Kim J., Seo W., Yang H., Kim S., Shin W., Kim H., Korean J. Met. Mater,61, 915 (2023)Google Search
10 
Cho H., Kim H., Kim S., Korean J. Met. Mater,57, 673 (2019)Google Search
11 
Page A., Poudeu P. F. P., Uher C., J. Materiomics,2, 104 (2016)Google Search
12 
Joo S.-J., Son J.-H., Jang J., Kim B.-S., Min B.-K., Korean J. Met. Mater,59, 904 (2021)Google Search
13 
Ju S., Son J., Jang J., Min B., Kim B., Korean J. Met. Mater,60, 213 (2022)Google Search
14 
Aliev F., Belogorokhov A., Brandt N., Kozyr'kov V., Skolozdra R., Stadnyk Y. V., JETP Lett,47, 184 (1988)Google Search
15 
Aversano F., Ferrario A., Boldrini S., Fanciulli C., Baricco M., Castellero A., J. Mater. Eng. Perform,27, 6306 (2018)Google Search
16 
Birkel C. S., Douglas J. E., Lettiere B. R., Seward G., Zhang Y., Pollock T. M., Seshadri R., Stucky G. D., Solid State Sci,26, 16 (2013)Google Search
17 
Bos J. W., Downie R. A., J. Phys. Condens. Matter,26, 433201 (2014)Google Search
18 
Gürth M., Rogl G., Romaka V. V., Grytsiv A., Bauer E., Rogl P., Acta Mater,104, 210 (2016)Google Search
19 
Kimura Y., Chai Y.-W., JOM,67, 233 (2015)Google Search
20 
Page A., Van der Ven A., Poudeu P. F. P., Uher C., J. Mater. Chem. A,4, 13949 (2016)Google Search
21 
Park G., Lee H. S., Yi S., J. Electron. Mater,51, 3485 (2022)Google Search
22 
Uher C., Yang J., Hu S., Morelli D., Meisner G., Phys. Rev. B,59, 8615 (1999)Google Search
23 
Katayama T., Kim S. W., Kimura Y., Mishima Y., J. Electron. Mater,32, 1160 (2003)Google Search
24 
Birkel C. S., Zeier W. G., Douglas J. E., Lettiere B. R., Mills C. E., Seward G., Birkel A., Snedaker M. L., Zhang Y., Snyder G. J., Chem. Mater,24, 2558 (2012)Google Search
25 
Gałązka K., Populoh S., Sagarna L., Karvonen L., Xie W., Beni A., Schmutz P., Hulliger J., Weidenkaff A., Phys. Status Solidi A,211, 1259 (2014)Google Search
26 
Tang Y., Li X., Martin L. H., Reyes E. C., Ivas T., Leinenbach C., Anand S., Peters M., Snyder G. J., Battaglia C., Energy Environ. Sci,11, 311 (2018)Google Search
27 
Jeitschko W., Metall. Trans,1, 3159 (1970)Google Search
28 
Tobola J., Pierre J., Kaprzyk S., Skolozdra R., Kouacou M., J. Phys. Condens. Matter,10, 1013 (1998)Google Search
29 
Quinn R. J., Bos J.-W. G., Mater. Adv,2, 6246 (2021)Google Search
30 
Kim S.-W., Kimura Y., Mishima Y., Intermetallics,15, 349 (2007)Google Search
31 
Oh J., Lee H. S., Yi S., J. Non-Cryst. Solids,624, 122729 (2024)Google Search
32 
Yang J., Meisner G., Chen L., Appl. Phys. Lett,85, 1140 (2004)Google Search
33 
Appel O., Gelbstein Y., J. Electron. Mater,43, 1976 (2014)Google Search
34 
Sakurada S., Shutoh N., Appl. Phys. Lett,86, 082105 (2005)Google Search
35 
Shutoh N., Sakurada S., J. Alloys Compd,389, 204 (2005)Google Search
36 
Du N. Van, Rahman J. U., Meang E.-J., Lim C.-H., Shin W. H., Seo W.-S., Huy P. T., Kim M. H., Lee S., J. Alloys Compd,773, 1141 (2019)Google Search
37 
He R., Zhu H., Sun J., Mao J., Reith H., Chen S., Schierning G., Nielsch K., Ren Z., Mater. Today Phys,1, 24 (2017)Google Search
38 
Poon S. J., J. Phys. D: Appl. Phys,52, 493001 (2019)Google Search
39 
Rogl G., Sauerschnig P., Rykavets Z., Romaka V., Heinrich P., Hinterleitner B., Grytsiv A., Bauer E., Rogl P., Acta Mater,131, 336 (2017)Google Search
40 
Baricco M., Bosco E., Olivetti E., Palumbo M., Rizzi P., Stantero A., Battezzati L., Int. J. Mater. Prod. Technol,20, 358 (2004)Google Search
41 
Liu P. J., Nou C. W., Choi S.-M., J. Korean Inst. Electr. Electron. Mater. Eng,33, 495 (2020)Google Search
42 
Goldsmid H., Sharp J., J. Electron. Mater,28, 869 (1999)Google Search
43 
Kim H.-S., Gibbs Z. M., Tang Y., Wang H., Snyder G. J., APL Mater,3, 041506 (2015)Google Search

Figures and Table

Fig. 1.

Optical Microscope (OM) images of (a) Ingot fabricated via induction melting, and (b) Ribbon fabricated via RSP. All samples have been chemically etched prior to imaging.

../../Resources/kim/KJMM.2025.63/kjmm-2025-63-4-243f1.jpg
Fig. 2.

XRD patterns from Ti0.5Zr0.17Hf0.33NiSn1-xSbx (x = 0.02~0.08) samples (a) before SPS fabricated by RSP, (b) after SPS fabricated by RSP, and (c) magnified views (220) peaks.

../../Resources/kim/KJMM.2025.63/kjmm-2025-63-4-243f2.jpg
Fig. 3.

SEM/SE image of each Ti0.5Zr0.17Hf0.33NiSn1-xSbx (x = 0.02~0.08) sintered samples.

../../Resources/kim/KJMM.2025.63/kjmm-2025-63-4-243f3.jpg
Fig. 4.

(a) Electrical conductivity of Ti0.5Zr0.17Hf0.33NiSn1-xSbx (x = 0.02~0.08) sintered samples, and (b) Seebeck coefficient.

../../Resources/kim/KJMM.2025.63/kjmm-2025-63-4-243f4.jpg
Fig. 5.

Pisarenko plot of each Ti0.5Zr0.17Hf0.33NiSn1-xSbx (x = 0.02~0.08) sintered samples.

../../Resources/kim/KJMM.2025.63/kjmm-2025-63-4-243f5.jpg
Fig. 6.

Power factor of Ti0.5Zr0.17Hf0.33NiSn1-xSbx (x = 0.02~0.08) sintered samples.

../../Resources/kim/KJMM.2025.63/kjmm-2025-63-4-243f6.jpg
Fig. 7.

(a) Total thermal conductivity, (b) Lorenz number, (c) Electron thermal conductivity, and (d) Lattice thermal conductivity of Ti0.5Zr0.17Hf0.33NiSn1-xSbx (x = 0.02~0.08) sintered samples.

../../Resources/kim/KJMM.2025.63/kjmm-2025-63-4-243f7.jpg
Fig. 8.

ZT values of Ti0.5Zr0.17Hf0.33NiSn1-xSbx (x = 0.02~0.08) sintered samples.

../../Resources/kim/KJMM.2025.63/kjmm-2025-63-4-243f8.jpg
Table 1.

Lattice parameter (a), Bulk density, Relative density, Carrier concentration (n), Energy band gap (Eg) and Mobility (μ) of each Ti0.5Zr0.17Hf0.33NiSn1-xSbx (x = 0.02~0.08) sintered samples

Material Lattice parameter [Å] Density [gcm-3] Carrier concentration [1019 cm-3] Band gap [eV] Mobility [cm2 V-1S-1]
Ti0.5Zr0.17Hf0.33NiSn0.98Sb0.02 6.020 8.3263(94%) 0.81 0.228 1.94 × 103
Ti0.5Zr0.17Hf0.33NiSn0.96Sb0.04 6.020 8.3143(94%) 1.19 0.240 1.89 × 103
Ti0.5Zr0.17Hf0.33NiSn0.92Sb0.08 6.017 8.4063(95%) 1.93 0.176 1.77 × 103