주성재
(Sung-Jae Joo)
1*
장정인
(JeongIn Jang)
1
손지희
(Ji-Hee Son)
1
박종호
(JongHo Park)
1
김봉서
(Kim Kim)
1
민복기
(Bok-Ki Min)
1
-
한국전기연구원전기변환소재연구센터
(Korea Electrotechnology Research Institute, Energy Conversion Research Center, Changwon
51543, Republic of Korea)
Copyright © 2025 The Korean Institute of Metals and Materials
Key words
Mg3Sb2-xBix, Metallization, Ohmic contact, Solid-state bonding, Thermoelectric
1. 서 론
펠티어 효과를 이용한 열전냉각기술은 각종 무소음 소형 냉각장치와 정밀 온도조절장치에 널리 활용되고 있으며, 최근에는 이에 더해 제벡효과를 이용한 열전발전기술이
저급의 분산폐열 회수를 위한 유력한 수단으로서 관심을 모으고 있다[1-3]. 이러한 열전냉각 및 열전발전기술은 현재 약 500 K 이하의 저온대역에서 주로 활용되고 있는데, 전적으로 비스무스 텔루라이드 (Bi2Te3) 계열의 열전소재를 기반으로 한다. 비스무스 텔루라이드는 1950년대에 개발된 후 지금까지 저온대역에서 높은 열전특성을 보이는 유일한 소재로서 상용화가
완료된 상태이며, 국내에서도 소재기술 개발을 위한 폭넓은 연구가 진행되어 왔다[4-9]. 그러나 구성 원소인 Te이 희귀하고 값비싼 원소이므로, 산업적인 측면에서 보면 소재의 저가화 및 양산성 확충에 근원적인 약점을 지니고 있다.
이에 따라 지구상에 흔하고 저렴한 원소들로 구성된 새로운 저온용 열전소재의 필요성이 대두되어 왔다.
이와 같은 상황에서 2016년 Panasonic사의 Tamaki 등이 처음으로 학계에 보고한 n형 Mg3Sb2-xBix 소재는 n형 비스무스 텔루라이드 소재를 대체할 수 있는 가능성을 보여주고 있다[10]. Tamaki 등은 소재합성 과정에서 excess Mg 분위기 조성과 Sb/Bi 혼합 및 Te 도핑을 통해 Mg3Sb2 기반의 n형 다결정 소재를 최초로 구현하였고, 473 K에서 무차원 성능지수 (zT) 0.77 및 700 K에서 1.5에 달하는 우수한 열전특성을 보고하였다[10]. 이후 n형 Mg3Sb2-xBix 소재에 대한 전세계적인 관심이 촉발되었으며, 연구개발을 통해 소재특성이 지속적으로 향상되고 있다[11-19]. Mg3Sb2-xBix n형 소재는 열전특성이 우수할 뿐만 아니라 주요 구성원소가 Te에 비해 흔하고 저렴하므로, n형 비스무스 텔루라이드에 비해 산업적인 실용성이 훨씬
높을 것으로 기대된다.
한편, n형 Mg3Sb2-xBix 소재에 대한 높은 관심도와는 대조적으로, 모듈개발에 반드시 필요한 금속화공정에 대한 연구는 상대적으로 더디게 진행되는 것으로 보인다. 그림 1은 일반적인 저온용 열전모듈의 단면구조를 나타내는데, p형과 n형의 열전레그의 상하부에 오믹접합층이 형성되어 있고, 이것은 다시 direct bonded
Cu (DBC) 세라믹기판에 솔더층으로 접합되어 모든 p-n 레그쌍이 전기적으로 직렬로 연결된 구조를 형성한다. 오믹접합층 형성과 솔더링 과정을 금속화공정으로
통칭하며, Bi2Te3 저온 모듈의 경우에는 Bi2Te3 열전레그의 상하부에 일반적으로 Ni을 습식 공정으로 도금하여 오믹접합층 및 확산방지층의 역할을 겸하게 하고, 솔더링은 납을 포함하지 않는 SAC305
등의 무연솔더를 사용한다. 열전모듈을 개발하는 과정에서 금속화공정의 핵심적인 과제는 열전소재의 재질이 달라지면 오믹접합층의 재질과 형성방법도 그에
맞춰 새롭게 개발되어야 한다는 점이며, 이 때 접촉저항, 접합강도 등의 전기적·물리적 특성이 우수해야 할 뿐 아니라 공정의 단순성과 양 산적합성도
매우 중요하게 고려된다.
n형 Mg3Sb2-xBix 소재의 금속화공정에 관련된 연구내용을 포함하는 지금까지 발표된 대표적인 문헌들을 조사해보면 주로 Fe 또는 Ni이 n형 Mg3Sb2-xBix 소재에 대한 오믹접합층으로 선택되어 사용되었으며, 오믹접합층의 형성을 위하여 Fe 또는 Ni의 분말을 소결몰드에서 n형 Mg3Sb2-xBix 소재 분말의 상부와 하부에 위치시켜 한꺼번에 소결함으로써 일체형 소결체를 합성하는 방법을 사용하였다[12,16,20,21]. Bi2Te3에서 사용하는 Ni 이외에 Fe를 오믹전극으로 새롭게 선택한 이유는 n형 Mg3Sb2-xBix에 대하여 매우 우수한 오믹접합을 형성함을 확인하였기 때문이며[22], 중국 Harbin 공과대학의 Yin 등은 여기서 한 걸음 더 나아가 Fe와 Ni을 모두 함유하는 sus 304를 오믹 접합층으로 테스트하여 Fe보다
더 낮은 접촉저항과 우월한 열적 안정성을 가진다는 연구결과를 보고하기도 하였다[23]. 또한 최근 일본 NIMS의 연구그룹에서는 sus304 분말과 Mg를 혼합하여 분말을 형성하고 이를 열전소재와 일체형 소결하여 접촉저항 11.93
μΩ cm2의 매우 우수한 전도성을 얻었다는 결과를 보고하였다[24].
상기의 모든 연구에서 오믹접합층 형성을 위해 분말공정에 기반한 일체형 소결법을 사용한 이유는, Mg3Sb2-xBix 소재의 화학적 취약성으로 인해[25] 산성용액에서 진행되는 Ni 도금 습식공정의 적용이 용이하지 않고, 또한 Ni 이외에 Fe, SUS304 등의 금속막을 Mg3Sb2-xBix 위에 형성할 수 있는 쉽고 간단한 방법이 알려져 있지 않기 때문이다. 그러나 분말을 사용하는 일체형 소결법으로는 균일한 두께와 물성을 갖는 오믹접합층을
재현성있게 형성하기 어렵고, 이에 따라 산업적 실용성이 매우 낮다. 따라서 n형 Mg3Sb2-xBix 소재를 기반으로 하는 열전모듈의 개발을 위해서는 오믹접합 금속층을 매번 균일하게 안정적으로 형성할 수 있는 간단하고 신뢰성 높은 건식공정기술의 개발이
선행되어야 한다.
이에 본 연구에서는 (1) 금속분말 대신 금속박(metal foil)을 사용하여 균일한 두께의 오믹접합층을 재현성있게 형성할 수 있도록 하고, (2)
n형 Mg3Sb2-xBix 소재와 오믹접합층을 분말상태에서 시작하여 한 번의 소결로 동시에 형성하는 것이 아니라 그림 2와 같이 먼저 n형 Mg3Sb2-xBix 소재를 합성하고 원하는 두께의 코인으로 가공한 후 그 상하부에 금속박을 고상접합(solid-state bondng)함으로써 열전레그의 높이와 오믹접합층의
구조를 독립적으로 최적화할 수 있는 2단계 공정을 개발하였다. 또한 (3) 오믹접합층으로 Mg3Sb2-xBix 소재의 주요 구성원소 중 하나인 Mg를 선택하여 화학적 이질성을 최소화했으며, (4) Mg/Cu 이중 금속박을 고상접합하여 열전레그의 Cu층과 DBC
기판의 Cu전극이 솔더층에 노출되도록 함으로써 후속 솔더링 공정을 기존의 Bi2Te3와 동일하게 유지할 수 있도록 고안하였다. 이와 같이 개발된 고상접합공정을 이용하여 nMg3Sb2-xBix 열전레그를 제작하고 접촉저항을 측정하였으며, p형 Bi0.4Sb1.6Te3 열전레그와 조합하여 소형 열전발전 모듈을 제작하여 출력특성을 분석하였다.
2. 실험 방법
본 연구에서는 우선 Mg3.45Mn0.05Sb1.5Bi0.48Te0.02 n형 열전소재를 분말야금법으로 합성하였으며, 합성공정의 기본적인 흐름은 이전에 보고한 논문에서 상술한 바와 거의 동일하다[26]. 소재합성에 사용한 원료는 Mg (5-25 mm turnings, 99.95%, Sigma Aldrich), Bi (1-12 mm pieces,
99.999%, Sigma Aldrich), Sb (ca. 2 mm grains, 99.999%, Kojundo Chemical), Mn (3-12
mm granules, 99.99%, LTS Research Laboratories), Te (powder, ~200 mesh, 99.999%, Alfa
Aesar) 였다. 여기에서 Te은 n형 도핑을 위하여 첨가되었고[10], Mn은 ionized impurity scattering을 감소시켜 전하이동도를 향상시키는 효과가 확인되었으므로 소량 첨가되었다[27]. 상기 원료를 칭량하여 혼합한 후 볼밀링 장치(BM-450, Spex-Cole-Parmer)에서 기계적 합금화(mechanical alloying)를
진행하여 Mg3.45Mn0.05Sb1.5Bi0.48Te0.02 분말을 합성하였다. 이 때, Mg를 정량비보다 초과 투여하여 소결과정에서의 Mg 손실에 대비하였다. 상기 Mg3.45Mn0.05Sb1.5Bi0.48Te0.02 분말을 플라즈마 활성 소결장치(plasma activated sintering, Ed-PAS IV, Elenix)에 장입하고 1073 K에서 소결을
진행하여 직경 12.7 mm의 원통형 소결체를 합성하였다. 상기 기계적 합금화 및 소결공정에서는 Ar 분위기를 유지하여 Mg의 산화를 최대한 방지하려고
하였다. 이와 같이 합성된 n, p형 열전소재의 전기전도도와 제벡계수를 ZEM-3 (Advance Riko)로 측정하였으며, 열확산도와 비열 측정을
위해 LFA457 (Netzsch)과 DSC404 (Netzsch) 장치를 각각 사용하였다.
합성된 Mg3.45Mn0.05Sb1.5Bi0.48Te0.02 원통형 소결체를 그림 2와 같이 높이 약 1.2 mm의 코인형태로 절단하였으며, 그 후 각각 100 μm 두께의 Mg foil (99.9 %, Alfa Aesar)과 Cu
foil(99.9 %, Alfa Aesar)을 코인의 상하부에 겹쳐서 위치시키고 핫프레스 (hot press) 소결장치에서 Ar 분위기를 조성하고
온도를 673/723/773 K로 샘플에 따라 변화시키면서 10분간 50 MPa의 압력을 가하여 오믹접합층의 고상접합을 실시하였다. 뒤이어 foil이
고상접합된 Mg3.45Mn0.05Sb1.5Bi0.48Te0.02 코인을 wire saw를 이용하여 가로/세로 각각 2 mm × 2 mm로 절단하여 직육면체 형태의 열전레그 (thermoelectric leg)를
다수 완성하였다. 이와 같이 Mg/Cu 이중 금속박(double foil)이 고상접합된 Mg3.45Mn0.05Sb1.5Bi0.48Te0.02 열전레그의 단면을 전계방출 주사전자현미경 (FE-SEM, Mira-II, Tescan)으로 관찰하였으며, 원소분포를 파악하기 위하여 energy
dispersive spectroscopy (EDS)로 단면을 분석하였다. 또한 Mg/Cu 접합층과 Mg3.45Mn0.05Sb1.5Bi0.48Te0.02 계면의 접촉저항 및 제벡계수 분포를 파악하기 위하여 potential-Seebeck microprobe (PSM, Panco) 분석을 실시하였다.
한편, 본 연구에서는 상기와 같이 제작된 n형 Mg3.45Mn0.05Sb1.5Bi0.48Te0.02 열전레그에 더하여 p형 Bi2Te3 열전레그를 추가로 합성하여 2쌍의 p-n 열전레그로 구성된 소형 열전발전모듈을 제작하였다. p형 Bi2Te3 소재의 조성은 Bi0.4Sb1.6Te3로 Bi와 Sb를 혼합하여 합성하였으며, p형 도핑을 위해 0.02 wt%의 Ag를 함께 첨가하였다. 정량비율대로 혼합된 원료소재를 볼밀링하여 분말을
만들고 이를 플라즈마 활성 소결장치로 693 K에서 소결하여 Bi0.4Sb1.6Te3 소결체를 합성하였다. 이후 소결체를 두께 약 1.6 mm의 코인으로 절단하고 여기에 무전해도금법으로 Ni 오믹접합을 적층한 후 가로/세로 각각 2
mm × 2 mm로 절단하여 직육면체 형태의 P형 열전레그를 제작하였다.
SAC305 솔더 페이스트를 사용하여 상기의 n형 및 p형 열전레그를 DBC 알루미나 기판에 솔더링하였고, 2쌍의 p-n 레그로 구성된 Mg3.45Mn0.05Sb1.5Bi0.48Te0.02 (n) - Bi0.4Sb1.6Te3 (p) 하이브리드 열전모듈을 제작하였다. 이와 같이 제작된 Mg3.45Mn0.05Sb1.5Bi0.48Te0.02 (n) - Bi0.4Sb1.6Te3 (p) 하이브리드 소형 열전모듈에 온도차를 인가하면서 그 출력특성을 mini-PEM (Advance Riko)으로 측정하였다.
3. 결과 및 고찰
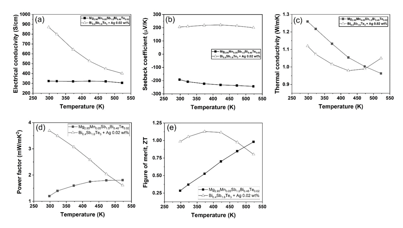
그림 3은 본 연구에서 합성된 Mg3.45Mn0.05Sb1.5Bi0.48Te0.02와 Bi0.4Sb1.6Te3 소재의 열전물성을 298-523 K 구간에서 비교하여 표시한 그래프이다. 측정온도가 실온에 가까울수록 Bi0.4Sb1.6Te3의 전기전도도가 훨씬 높았고 온도상승에 따라 급격하게 감소하는 금속성 전도특성을 보여주는 반면, Mg3.45Mn0.05Sb1.5Bi0.48Te0.02는 온도의존성이 거의 관찰되지 않았다. 반면에, 제벡계수의 절대값은 측정온도 영역에서 두 소재 모두 비슷한 값을 보였다. 이에 따라 (전기전도도)
× (제벡계수)2으로 계산되는 파워팩터는 전기전도도의 거동에 강하게 영향을 받아 그림 1 (c)와 같이 실온부근에서는 Bi0.4Sb1.6Te3가 약 3배 높았으나 온도가 올라가면 격차가 빠르게 해소되어 약 500 K 부근에서는 역전되었다. 최근에 발표된 일본 NIMS의 연구결과에서 Mg3.2Sb1.5Bi0.49Te0.01 소재에 소량의 In을 도핑하여 실온부근에서의 전기전도도 및 파워팩터를 획기적으로 향상시킨 사례를 고려할 때[24], 본 연구의 도핑공정을 최적화하여 Mg3.45Mn0.05Sb1.5Bi0.48Te0.02소재의 파워팩터를 현재의 결과값 이상으로 향상시킬 여지가 충분히 있을 것으로 판단된다. 무차원 성능지수(ZT)도 파워팩터와 마찬가지로 약 500 K
이하의 온도구간에서는 Bi0.4Sb1.6Te3 소재의 성능지수가 월등하게 높았으나 500 K 이상에서는 Mg3.45Mn0.05Sb1.5Bi0.48Te0.02의 성능지수가 더 높은 값을 보였다. 이러한 결과들을 감안할 때, 적용온도가 500 K에 근접할수록 n형 Mg3Sb2 기반의 소재는 저온 열전발전에 적용될 수 있는 높은 적용성을 가질 것으로 판단된다.
상기와 같이 합성된 n형 Mg3.45Mn0.05Sb1.5Bi0.48Te0.02에 Mg와 Cu 금속박을 각각 673, 723, 773 K로 고상접합한 후 wire saw로 가로 × 세로 = 2 mm × 2 mm의 레그 형태로
절단하였을 때 673 K 고상접합샘플은 금속박이 대부분 떨어져 나가는 문제가 관찰되었다. 이것은 금속박과 열전 소재의 결합력이 약하기 때문에 발생하는
문제이며, 이에 따라 673 K 고상접합은 적합한 공정조건이 아닌 것으로 판명되었다. 반면, 723 K와 773 K에서 고상접합된 샘플들은 금속박의
박리현상이 발생하지 않았으며, 그림 4는 각 샘플의 단면을 FE-SEM으로 관찰한 사진이다. 금속박을 사용하였으므로 금속층의 두께가 균일하고, 열전소재와의 계면이 매우 평탄하며 결함이
없었다. 한편, 723 K에서 고상접합된 샘플은 Mg와 Cu 금속박이 이중으로 선명하게 구분되는 반면, 773 K에서 접합된 샘플에서는 단층의 금속박이
관찰되며, EDS 분석으로 이것이 Cu층임을 확인하였다. 이처럼 773 K 고상접합 샘플에서 Mg층이 관찰되지 않는 이유는 그림 5의 Cu-Mg 상평형도로부터 유추할 수 있다[28,29]. 그림 5에서 총 3개의 공융점(eutectic point)을 확인할 수 있는데, 그 중에서 가장 낮은 온도는 750 K (477 ° C)이다. 따라서 773
K에서 고상접합을 시도한 샘플에서는 Mg와 Cu가 혼합된 액상이 형성된 후에 50 MPa의 압력에 의하여 샘플 외부로 유실된 것으로 판단된다. 이상의
결과로부터 Mg/Cu 금속박의 고상접합에 가장 적합한 온도는 723 K인 것으로 잠정적으로 결론내릴 수 있었다.
그림 6은 723 K에서 고상접합된 열전레그의 단면을 EDS로 분석한 결과이다. Mg3.45Mn0.05Sb1.5Bi0.48Te0.02 소재의 표면을 Mg층이 덮고 있으므로, 고상접합 과정에서 소재로부터 Mg가 outdiffusion으로 손실되는 현상은 일어나지 않았을 것으로 추정된다.
n형 Mg3Sb2-xBix 소재를 구현하기 위하여 가장 중요한 항목이 정량비를 초과한 excess Mg가 존재해야 한다는 것이므로[10], 금속접합 과정에서 Mg손실을 막는 것은 매우 중요하다고 판단된다. 한편, Cu는 열전소재 쪽으로 미량 확산한 것으로 보이고, 반대로 Sb와 Mn은
금속층으로 확산하였다. 또한 Cu층과 Mg층의 계면에서는 Cu-Mg 계면층이 형성되었다. 높은 기계적 강도를 갖는 금속-열전소재 접합을 형성하기 위해서는
어느 정도의 물질이동 및 계면층 형성은 필수적인 요소라고 여겨지며, 이렇게 상호확산된 접합계면의 접촉저항과 열전특성의 변화여부를 파악하기 위하여 PSM
분석을 실시하였다.
그림 7은 723 K에서 고상접합된 Mg3.45Mn0.05Sb1.5Bi0.48Te0.02 레그의 단면에 대하여 PSM을 이용하여 제벡계수를 2차원적으로 mapping한 결과이다. 금속층과 열전소재의 접합계면 부근에서 Mg의 outdiffusion에
의한 p형으로의 극성전환 등의 문제는 발생하지 않은 것으로 판명되며, (b)의 제벡계수 분포도 역시 n형의 열전소재 벌크와 금속층으로 뚜렷하게 양분되는
정상적인 형태를 띄고 있다. 따라서 정상적인 열전소재-금속 고상접합이 형성되었음을 알 수 있다.
그림 8은 723 K에서 고상접합된 Mg3.45Mn0.05Sb1.5Bi0.48Te0.02 레그의 단면에 대하여 접합계면에 수직방향으로 PSM을 line scan하여 전압과 제벡계수를 측정한 결과를 표시한 그래프이다. 제벡계수가 거의 0에
가까운 Mg/Cu 금속층과 Mg3.45Mn0.05Sb1.5Bi0.48Te0.02의 계면이 명확하게 구분되며, 두 계면의 위치에서 갑작스러운 전압차가 발생하는 것은 금속층과 열전소재의 접촉저항에 기인하는 것이다. 그림 8에 표시한 바와 같이 두 접합계면에서 전압차는 거의 동일하게 0.0014 mV가 측정되었고, PSM 측정을 실시할 때 1 mA의 전류를 흘렸으므로,
이로부터 고상접합으로 형성된 단면적 0.0384 cm2인 Mg/Mg3.45Mn0.05Sb1.5Bi0.48Te0.02계면의 접촉저항은 다음과 같이 계산된다.
0.0014 mV / 1 mA ×0.0384 cm2 = 53.8 μΩ cm2 (1)
참고로 n형 비스무스 텔루라이드에 Ni을 일체형 소결하였을 때의 접촉저항이 210 μΩ cm2으로 보고되는 등 일반적으로 n형 비스무스 텔루라이드에 대한 접촉저항이 상당히 높음을 감안할 때[30], 53.8 μΩ cm2의 접촉저항값은 매우 양호한 결과로 판단된다. 또한 일체형 소결법은 실용성이 낮고, Ni 도금공정은 양산에는 유리하나 접합력이 약하여 박리(delamination)
등의 문제가 발생할 수 있어 n형 비스무스 텔루라이드에 대한 오믹접합 공정이 난제로 남아있는 반면, n형 Mg3Sb2 기반소재에 대한 고상접합은 공정이 훨씬 간단하고 구조적으로 견고하며, 그림 8과 같이 우수한 전도성을 제공한다.
그림 9는 n형 Mg3.45Mn0.05Sb1.5Bi0.48Te0.02 와 p형 Bi0.4Sb1.6Te3 열전레그 2쌍으로 구성된 소형 하이브리드 모듈의 양면에 온도차를 인가하여 출력특성을 측정한 그래프이다. mini-PEM 장비에서 모듈의 한쪽면의
온도를 298 K로 고정하여 냉각하면서 반대쪽의 온도를 높여 온도차 24-172 K의 구간에서 출력을 측정하였으며, (a)에서 모듈에 흐르는 전류에
대하여 직선적 거동을 보이는 전압 그래프와 포물선 형태의 출력 그래프로부터 열전모듈이 정상적으로 제작되었음을 확인할 수 있다. 온도차가 커질수록 출력이
상승하여 172 K에서는 개방전압(open-circuit voltage) 0.13 V, 최대출력 0.125 W에 도달함을 확인하였다. 한편 모듈의
자체저항은 전압-전류 그래프로부터 구할 수 있으며, 온도차가 24 K에서 172 K까지 상승함에 따라 30.8 mΩ에서 34.3 mΩ까지 증가하였다.
결론적으로, 본 논문에서 제시한 고상접합기술을 적용하여 정상적으로 동작하며 양호한 출력특성을 보이는 하이브리드 모듈을 제작할 수 있음을 입증하였다.
4. 결 론
본 논문에서는 n형 Mg3Sb2-xBix 소재에 손쉽게 적용할 수 있는 새로운 오믹접합층 형성기술을 제시하였다. Mg/Cu 이중 금속박을 n형 Mg3Sb2-xBix 소재에 직접 고상접합하여 양호한 접촉저항을 갖는 오믹접합층을 형성할 수 있음을 입증하였으며, 일체형 소결기술보다 더 높은 공정편이성, 양산적합성,
실용성을 갖추었다고 판단된다. 여기에 더하여, 금속도금공정과 달리 열전소재를 부식 또는 변질시킬 우려가 없는 건식공정이므로, 모듈개발에 필요한 높은
공정신뢰도를 제공한다. 또한 본 연구에서는 개발된 고상접합공정을 적용한 Mg3.45Mn0.05Sb1.5Bi0.48Te0.02 (n) - Bi0.4Sb1.6Te3 (p) 하이브리드 열전발전모듈을 직접 제작하여 양호한 출력특성을 보임을 실증하였다. 이와 같은 고상접합기술의 개발로 n형 Mg3Sb2-xBix 소재의 실용성이 향상되어 향후 n형 Bi2Te3 소재를 대체할 가능성이 더욱 높아질 것으로 예상된다.
Acknowledgements
이 연구는 2024년도 정부(과학기술정보통신부)의 재원으로 국가과학기술연구회의 지원을 받아 수행 중인 한국전기연구원 기본사업의 성과물임 (No.24A01025).
REFERENCES
Bell L.E., Science,321, 1457 (2008)

Araiz M., Casi Á., Catalán L., Martínez Á., Astrain D., Energy Convers. Manag,205,
112376 (2020)

Tohidi F., Holagh S.G., Chitsaz A., Appl. Therm. Eng,201, 117793 (2022)

Kim S.I., Lee K.H., Mun H.A., Kim H.S., Hwang S.W., Roh J.W., Yang D.J., Shin W.H.,
Li X.S., Lee Y.H., Snyder G.J., Kim S.W., Science,348, 109 (2015)

Jo S., Kim H.-S., Kim Y., Kim S.-I., Lee K.H., J. Alloys Compd,884, 161030 (2021)

Yang Y., Kim T.W., Hong S., An J., Kim S.-I., Korean J. Met. Mater,58, 721 (2020)

Lim Y.S., Park B.G., Lee G.-G., Korean J. Met. Mater,60, 463 (2022)

Lim Y.S., Lee S., Korean J. Met. Mater,55, 651 (2017)

Jang K.-W., Kim H.-J., Jung W.-J., Kim I.-H., Korean J. Met. Mater,56, 66 (2018)

Tamaki H., Sato H. K., Kanno T., Adv. Mater,28, 10182 (2016)

Shu R., Zhou Y., Wang Q., Han Z., Zhu Y., Liu Y., Chen Y., Gu M., Xu W., Wang Y.,
Zhang W., Huang L., Liu W., Adv. Funct. Mater,29, 1807235 (2019)

Mao J., Zhu H., Ding Z., Liu Z., Gamage G.A., Chen G., Ren Z., Science,365, 495 (2019)

Chen X., Wu H., Cui J., Xiao Y., Zhang Y., He J., Chen Y., Cao J., Cai W., Pennycook
S.J., Liu Z., Zhao L.-D., Sui J., Nano Energy,52, 246 (2018)

Imasato K., Kang S.D., Snyder G.J., Energy Environ. Sci,12, 965 (2019)

Xu C., Liang Z., Shang H., Wang D., Wang H., Ding F., Mao J., Ren Z., Mater. Today
Phys,17, 100336 (2021)

Ying P., He R., Mao J., Zhang Q., Reith H., Sui J., Ren Z., Nielsch K., Schierning
G., Nat. Commun,12, 1121 (2021)

Imasato K., Wood M., Kuo J.J., Snyder G.J., J. Mater. Chem. A,6, 19941 (2018)

Xia C., Cui J., Chen Y., J. Materiomics,6, 274 (2020)

Shi X., Zhang X., Ganose A., Park J., Sun C., Chen Z., Lin S., Li W., Jain A., Pei
Y., Mater. Today Phys,18, 100362 (2021)

Liu Z., Gao W., Oshima H., Nagase K., Lee C.-H., Mori T., Nat. Commun,13, 1120 (2022)

Bu Z., Zhang X., Hu Y., Chen Z., Lin S., Li W., Xiao C., Pei Y., Nat. Commun,13, 237
(2022)

Zhu Q., Song S., Zhu H., Ren Z., J. Power Sources,414, 393 (2019)

Yin L., Chen C., Zhang F., Li X., Bai F., Zhang Z., Wang X., Mao J., Cao F., Chen
X., Sui J., Liu X., Zhang Q., Acta Mater,198, 25 (2020)

Wang L., Zhang W., Back S.Y., Kawamoto N., Nguyen D.H., Mori T., Nat. Commun,15, 6800
(2024)

Wu X., Ma X., Yao H., Liang K., Zhao P., Hou S., Yin L., Yang H., Sui J., Lin X.,
Cao F., Zhang Q., Mao J., ACS Appl. Mater. Interfaces,15, 50216 (2023)

Joo S.-J., Son J.-H., Jang J., Kim B.-S., Min B.-K., Korean J. Met. Mater,61, 785
(2023)

Joo S.-J., Son J.-H., Jang J., Min B.-K., Kim B.-S., Korean J. Met. Mater,62, 45 (2024)

Predel B., Cu-Mg (Copper-Magnesium),Landolt-Börnstein-Group IV Physical Chemistry
Vol. 5D, Phase Equilibria, Crystallographic and Thermodynamic Data of Binary Alloys,Springer
(1994)


Konieczny M., AIMS Mater. Sci,9, 572 (2022)

Liu W., Wang H., Wang L., Wang X., Joshi G., Chen G., Ren Z., J. Mater. Chem. A,1,
13093 (2013)

Figures
Fig. 1.
Cross-sectional structure of typical low-temperature thermoelectric modules
Fig. 2.
Process flow for n-Mg3Sb2-xBix legs fabrication in this study
Fig. 3.
Temperature-dependent thermoelectric properties of Mg3.45Mn0.05Sb1.5Bi0.48Te0.02 and Bi0.4Sb1.6Te3. (a) electrical conductivity, (b) Seebeck coefficient, (c) thermal conductivity,
(d) power factor, and (e) dimensionless figure of merit ZT.
Fig. 4.
Cross-sectional SEM photographs of Mg3.45Mn0.05Sb1.5Bi0.48Te0.02 legs with metal foils, which were direct-bonded at (a) 723 K, and (b) 773 K, respectively.
Fig. 5.
Cu-Mg phase diagram (red circle: eutectic point at 477 °C)[28,29].
Fig. 6.
(a) A cross-sectional SEM photograph of a Mg3.45Mn0.05Sb1.5Bi0.48Te0.02 leg bonded at 723 K, and (b)-(d) show the EDS maps of elements in the same area:
(b) Mg, (c) Cu, (d) Sb, and (e) Mn, respectively.
Fig. 7.
(a) A two-dimensional map for Seebeck coefficient of a metallized Mg3.45Mn0.05Sb1.5Bi0.48Te0.02 leg (solid-state bonding at 723 K), and (b) the abundance distribution of Seebeck
coefficient in the same area.
Fig. 8.
Line plots of electric potential and Seebeck coefficients along the perpendicular
direction to the Cu/Mg/Mg3.45Mn0.05Sb1.5Bi0.48Te0.02 interfaces, where Cu/Mg layers have nearly zero Seebeck coefficients.
Fig. 9.
Output characteristics of a Mg3.45Mn0.05Sb1.5Bi0.48Te0.02 (n) - Bi0.4Sb1.6Te3 (p) 2-pair module ; (a) Voltage and power vs. current, and (b) the maximum power
vs. temperature difference applied to the module. The inset in (b) shows the 2-pair
module.