(Dong Hwi Kim)
1
(Sang Yun)
1
(Il-Ho Kim)
1*
Copyright © 2024 The Korean Institute of Metals and Materials
Key words(Korean)
thermoelectric, chalcostibite, thermal diffusivity, thermal conductivity, thermal analysis
1. INTRODUCTION
Thermoelectric devices directly convert heat into electricity and are suitable for
sustainable energy recycling. Thermoelectric technology provides opportunities to
address global energy demands and the depletion of fossil fuels [1]. The performance (efficiencies) of thermoelectric devices are primarily described
by the dimensionless figure of merit (ZT) [2]:
where α is the Seebeck coefficient, ρ is electrical resistivity, κ is thermal conductivity,
and T is absolute temperature. Based on the relationship, to increase ZT a high power
factor (α2/ρ: high Seebeck coefficient and low electrical resistivity) and low thermal conductivity
are required [3].
The thermal conductivity consists of the electronic (κe) and lattice (κph) thermal conductivities. Electronic thermal conductivity is related to charge carrier
transport, while the lattice thermal conductivity is affected by phonon scattering
[4,5].
The thermal conductivity is expressed as [6]
where d is density, cp is specific heat, and D is thermal diffusivity.
Bi2Te3- and PbTe-based thermoelectric materials are used in solid-state cooling devices
and power generation systems, but expanding the market is difficult because they use
expensive, rare, and toxic elements [7]. However, Cu-based ternary chalcogenide compounds have attracted considerable attention
as thermoelectric materials because of their low thermal conductivity, low cost, and
environmental friendliness [8]. Specifically, among Cu-SbS compounds, Cu3SbS4 (famatinite), Cu3SbS3 (skinnerite), Cu12SbS13 (tetrahedrite), and CuSbS2 (chalcostibite) have been reported [9]. Chen [10] reported that isolated pairs of Sb 5s electrons (lone-pair electrons) generate local
distortions in the crystal structure, and the differences in the bonding angles of
Cu-Sb-S cause the lone-pair electrons to move away from the nucleus due to Coulomb
repulsion. Chen also interpreted that the larger the S-Sb-S bonding angle, the lower
the expected thermal conductivity. Cu3SbS3 has the largest bonding angle, exhibits the lowest thermal conductivity, and Cu3SbS4 has the highest thermal conductivity because no lone-pair electrons exist.
CuSbS2 exhibits intrinsic p-type conduction characteristics because of the existence of
Cu vacancy defects with a shallow ionization level and low formation energy. It also
has a bandgap energy of 1.5 eV, which makes it a promising thermoelectric material
at intermediate temperatures [11,12]. CuSbS2 exhibits an orthorhombic structure in the Pnma space group [13]. Kamimizutaru et al. [14] reported that the ZT value of pure CuSbS2 was as high as 0.5 at 700 K, which was thought to be due to the low thermal conductivity
derived from the lone-pair electrons of Sb3+. In this study, the optimal process conditions for chalcostibite synthesis-consolidation
using mechanical alloying (MA) and hot pressing (HP) were investigated, and the thermal
properties were examined and compared with those of other Cu-Sb-S compounds.
2. EXPERIMENTAL PROCEDURE
MA was employed to synthesize chalcostibite via a solidstate route, where elemental
powders of Cu (purity 99.9%, < 45 mm), Sb (purity 99.999%, < 150 mm), and S (purity
99.99%, < 75 mm) were used as the starting materials. The mixed powders and stainless-steel
balls were placed in a surface-hardened stainless steel jar, and then after forming
an Ar atmosphere inside the jar, MA was performed at a rotation speed of 350 rpm for
6–24 h using a planetary ball mill (Pulverisette5, Fritsch). The synthesized chalcostibite
powder was loaded into a graphite mold and consolidated by HP at 573–673 K for 2 h
under a compression pressure of 70 MPa in a vacuum.
Phase analysis of the MA powders and HP specimens was conducted by X-ray diffraction
(XRD; D8-Advance, Bruker) using Cu Kα radiation, and diffraction peaks were measured
over a 2θ range from 10° to 90° at intervals of 0.02°. The phase was identified and
its lattice constant was calculated using Rietveld refinement (TOPAS program). The
thermal stability and phase transition of the chalcostibites were examined using thermogravimetric–differential
scanning calorimetry (TG–DSC; TGA/DSC1, Mettler Toledo). The microstructures of the
sintered specimens were observed by scanning electron microscopy (SEM; Quanta400,
FEI). The atomic distributions of the component elements were confirmed using energy-dispersive
spectrometry (EDS; Quantax200, Bruker) by elemental line scanning and mapping. The
thermal properties of the chalcostibites prepared under each MA–HP process condition
were evaluated. The thermal diffusivity was measured using the laser flash method
of TC-9000H (Advance Riko) in a vacuum. The thermal conductivity was evaluated using
Equation 3 based on the measured thermal diffusivity. The density was measured and
calculated by the Archimedes method, and the sintered density (relative density) was
compared with the theoretical density of chalcostibite (4.93 g cm-3) [10]. The specific heat of chalcostibite as reported in the literature (0.40 J g-1 K-1) [10] was used to ensure the reliability of the thermal conductivity evaluation.
3. RESULTS AND DISCUSSION
Figure 1 shows the XRD results for the CuSbS2 powders fabricated using the MA process. A single chalcostibite phase was synthesized
by MA at a rotation speed of 350 rpm for 6 h (MA350R6H), and no specific phase transitions
were observed even when MA was conducted for 24 h (MA350R24H). All the samples exhibited
an orthorhombic structure (space group: Pnma) consistent with the standard diffraction
data (PDF# 01-073-3954).
As Table 1 shows, the lattice constants of the chalcostibite powder obtained by MA were a =
0.6018 nm, b = 0.3796 nm, and c = 1.4495 nm, which were similar to those reported
by Kyono and Kimata of a = 0.6016 nm, b = 0.3797 nm, and c = 1.4499 nm [15]. The full width at half maximum (FWHM) of the diffraction peak for the (013) plane
(2θ = 29.9°) of the MA350R12H specimen was as large as 0.45032°. This was attributed
to particle refining and residual stress caused by MA.
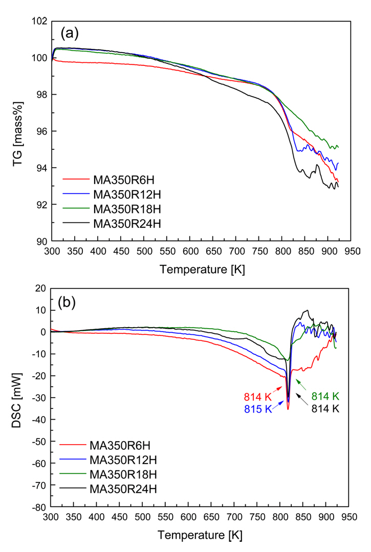
Figure 2(a) shows the TG analysis performed to investigate the thermal stability of the CuSbS2 MA powders. Rapid mass loss occurred at temperatures of approximately 800 K or higher,
due to the melting of CuSbS2 and the volatilization of S. According to the TG analysis of chalcostibites by Esperto
et al. [16], a mass loss was observed at temperatures above 824 K. Figure 2(b) shows the DSC analytical results of the CuSbS2 MA powders according to the MA time. One endothermic reaction occurred at 814–815
K for all specimens, which corresponded to the melting point of chalcostibite. Hobbis
et al. [17] also observed a mass reduction and an endothermic reaction at 800 K in the TG– DSC
analysis of CuSbS2. Pi et al. [18] reported that mass loss occurred rapidly above 645 K in the TG–DSC analysis of Cu12Sb4S13 (tetrahedrite), and endothermic reactions were recorded at 853 K (decomposition of
tetrahedrite) and 886 K (fusion of tetrahedrite). Lee and Kim [19] observed one endothermic peak at 873 K in the DSC analysis of Cu3SbS3 (skinnerite), which corresponded to the melting reaction of skinnerite. Lee et al.
[20] reported endothermic reactions at 829–830 K and 880 K in the DSC analysis of Cu3SbS4 (famatinite), which corresponded to the melting temperatures of famatinite and skinnerite,
respectively. Chen [10] reported that the melting points of CuSbS2, Cu3SbS3, and Cu3SbS4 were 826, 880, and 910 K, respectively. In this study, we synthesized a thermally
stable chalcostibite compound without any phase transitions below its melting point.
The XRD (Figure 1) and TG–DSC (Figure 2) results showed that the optimal MA condition to synthesize a single CuSbS2 phase was determined to be MA350R12H (350 rpm and 12 h).
Figure 3 shows the XRD patterns of CuSbS2 sintered by HP using the MA350R12H powder. All HP samples contained (retained) a
single chalcostibite phase consistent with the MA powder, regardless of the HP temperature
(573-673 K). Table 1 lists the lattice constants and FWHM values of the HP specimens. Compared with the
MA powder, the lattice constants did not change: a = 0.6017–0.6018 nm, b = 0.3801
nm, and c = 1.4495–1.4497 nm. However, the FWHM(013) of the HP specimens was significantly reduced to 0.25972–0.36144°. This was due to
the stress relief and grain growth caused by the HP process at high temperatures.
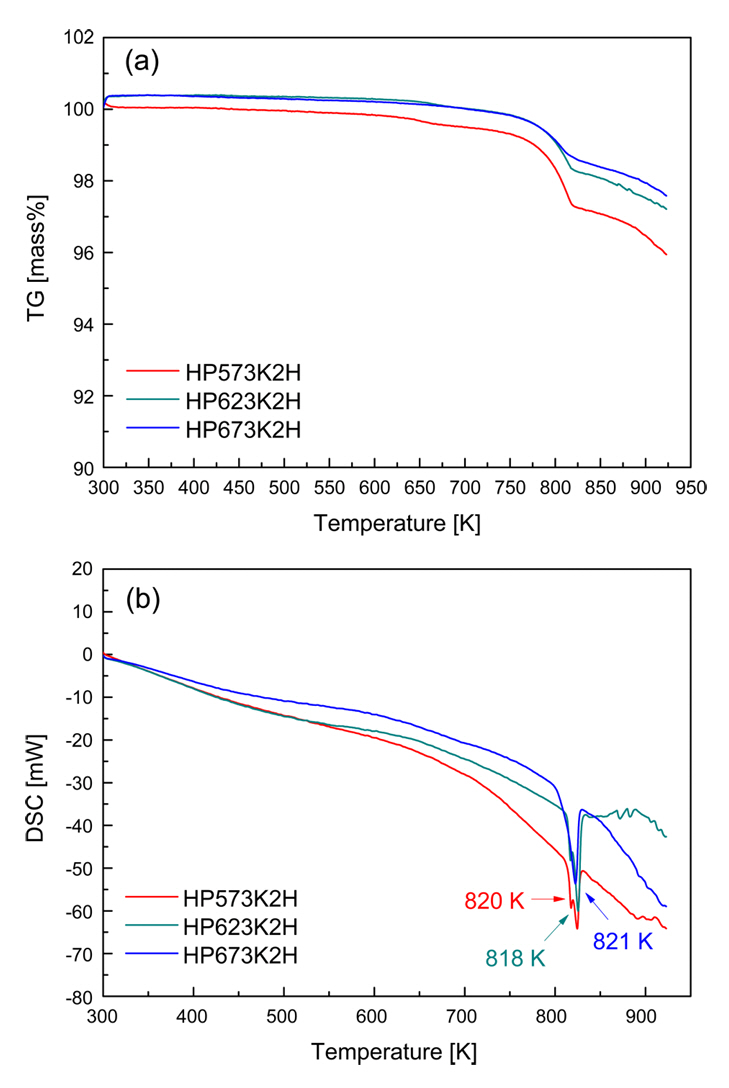
Figure 4(a) shows the TG analytical results for the HP specimens. Mass loss occurred at approximately
800 K or higher but was less than that of the MA powder (Figure 2(a)). Although the mass loss derived from the melting of chalcostibite and the volatilization
of S, it was relatively low because of the densely sintered compact. Figure 4(b) shows the DSC analysis of CuSbS2 with respect to HP temperature. Only one endothermic peak was observed at 818–821
K for each specimen, which was interpreted as the melting point of chalcostibite.
The melting point increased by 3–6 K as compared with that of the MA powder specimen.
This was assumed to be caused by the slight compositional change derived from S volatilization
during the HP process and stress relaxation by heat treatment. In this study, single-phase
chalcostibite was synthesized and retained during the MA– HP process, and secondary
phases and phase decompositions and transformations did not occur.
Figure 5 shows SEM images of the polished and fractured surfaces of the HP samples. Some pores
were observed in the HP573K2H specimen. However, when the HP temperature increased,
dense microstructures were obtained and crystal grains were grown. As Table 1 shows, high relative densities of 94.6–99.7% were obtained that compared with the
theoretical density of chalcostibite (4.93 g cm-3) [10].
Figure 6 shows the results of the elemental analysis of the HP623K2H specimen hot-pressed
at 623 K for 2 h. From the EDS elemental line scans and maps, no secondary phases
were found besides the chalcostibite phase, and its component elements (Cu, Sb, and
S) were uniformly distributed in the phase.
Figure 7 shows the thermal diffusivity of CuSbS2 as a function of temperature. As the measurement temperature increased, the thermal
diffusivity of chalcostibite decreased, and with the HP623K2H specimen, the thermal
diffusivity was (0.75–0.36) × 10-2 cm2 s-1 at 323–623 K. The thermal diffusivities of skinnerite (Cu3SbS3), famatinite (Cu3SbS4), and tetrahedrite (Cu12Sb3S4) in the same temperature range were reported to be (0.29–0.34) × 10-2 cm2 s-1 [19], (0.54– 0.29) × 10-2 cm2 s-1 [20], and (0.32–0.37) × 10-2 cm2 s-1, respectively [21]. For skinnerite and tetrahedrite, the thermal diffusivities increased slightly as
the temperature increased, but the temperature dependence was low. However, the thermal
diffusivities of chalcostibite and famatinite decreased rapidly with increasing temperature.
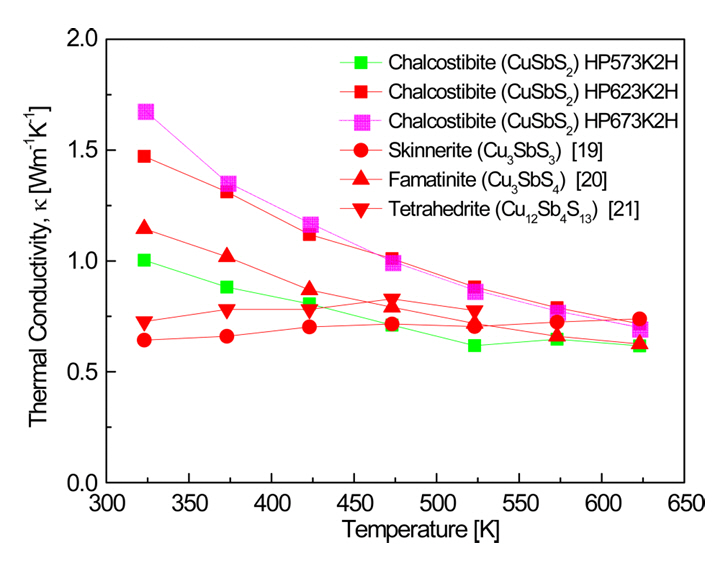
Figure 8 shows the thermal conductivity of CuSbS2 as a function of temperature. The thermal conductivity was evaluated from the data
shown in Figure 7 and Table 2 using Equation 3. When the HP temperature increased from 573 K to 673 K, the thermal
conductivity increased from 1.00 W m-1 K-1 to 1.68 W m-1 K-1 at 323 K. This was interpreted as an increase in thermal diffusivity due to grain
growth and crystallinity improvement, even though the density and specific heat of
the specimen were not changed by the HP process at high temperatures. However, the
thermal conductivity decreased to 0.62-0.72 W m-1 K-1 at the measurement temperature of 623 K. Compared with the thermal diffusivity of
other Cu-Sb-S compounds at 323–623 K (0.64-0.74 W m-1 K-1 for skinnerite [19], 0.73-0.83 W m-1 K-1 for tetrahedrite [20], and 1.15-0.63 W m-1 K-1 for famatinite [21]), the thermal conductivity of chalcostibite was similar to that of famatinite in
value and temperature dependence.
When the temperature increased, the Cu-Sb-S compounds exhibited a decrease in thermal
conductivity (T-1 dependence) under the influence of the Umklapp process (phonon-phonon scattering)
and had low values of less than 1 W m1 K-1 above 500 K [10,22]. The lone-pair electrons of Sb in the Cu-Sb-S compounds (except famatinite) had
a significant effect on thermal conductivity and resulted in a difference in thermal
conductivity in the low-temperature region. This was due to the lattice anharmonicity
caused by the electrostatic repulsion between the lone-pair electrons and adjacent
chalcogen ions (S2-) [9]. In the case of famatinite, Cu3SbS4 exhibited a relatively high thermal conductivity because the electrons in the outer
shell of the Sb atom were completely combined to form a tetrahedron with SbS4; thus,
no lone-pair electrons were observed [8]. However, skinnerite with lone-pair electrons exhibited a large S-Sb-S bonding angle
of 99.3°, and the Sb 5s lone-pair electrons resulted in very low thermal conductivity
due to Coulomb repulsion [8,19]. The S-Sb-S bonding angles of tetrahedrite and chalcostibite were 95.7° and 95.8°,
respectively, which were similar to each other but lower than that of skinnerite.
However, tetrahedrite exhibited a lower thermal conductivity than skinnerite because
of the additional phonon scatterings caused by the Cu atoms of the triangular CuS3 bonds in Cu12Sb4S13. Skinnerite and tetrahedrite had lower thermal conductivities than famatinite, and
no significant change was observed in their thermal conductivity with increasing temperature
[16,23].
4. CONCLUSIONS
Thermoelectric chalcostibite CuSbS2 compounds were synthesized by MA and HP, and their phases, microstructures, and thermal
properties were examined based on the process parameters. Through XRD phase identification
and TG–DSC thermal analysis, the optimal conditions for the preparation of chalcostibites
were determined to be MA at 350 rpm for 12 h and HP at 623 K for 2 h under 70 MPa.
When the mechanically alloyed powder was hot-pressed, X-ray diffraction peaks sharpened
because of stress relaxation and grain growth. The thermal diffusivity and conductivity
increased as the HP temperature increased but decreased as the measurement temperature
increased. Compared with the thermal properties of other Cu-Sb-S compounds (skinnerite,
famatinite, and tetrahedrite), chalcostibite exhibited higher thermal diffusivity
and conductivity in the low-temperature region. However, at high temperatures, the
thermal conductivity decreased due to phonon scattering, reaching low values of less
than 1 W m-1 K-1 above 500 K. Cu-Sb-S compounds exhibited low thermal conductivity values because
of the presence of lone-pair electrons and large S-Sb-S bonding angles; chalcostibite
also exhibited low thermal conductivity values at high temperatures. In this study,
the orthorhombic chalcostibite phase was fabricated using the MA–HP method as a solidstate
process and was confirmed to be a potential thermoelectric material.
Acknowledgements
This study was supported by the Basic Science Research Capacity Enhancement Project
(National Research Facilities and Equipment Center) through the Korea Basic Science
Institute funded by the Ministry of Education (Grant No. 2019R1A6C1010047).
REFERENCES
Nagaoka A., Takeuchi M., Shigeeda Y., Kamimizutaru K., Yoshino K., Nishioka K., Mater.
Trans,61, 2407 (2020)

Kwak S. G., Pi J. P., Lee G. E., Kim I. H., Korean J. Met. Mater,58, 272 (2020)

Lee G. E., Kim I. H., Materials,14, 1116 (2021)

Monikapani K., Vijay V., Abinaya R., Archana j., Harish S., Navaneethan M., J. Alloys
Compd,923, 165961 (2022)

Zhang Z., Zheng S., Li J., Wang B., Luo L., Wu Y., Dong X., Chen L., Gao L., Lu G.,
ACS Appl. Energy Mater,3, 12400 (2020)

Carr E. J., Wood C. J., Intl. J. Heat Mass Trans,144, 118609 (2019)

Tang C., Liang D., Li H., Luo K., Zhang B., J. Adv. Ceram,8, 209 (2019)

Skoug E. J., Cain J. D., Morelli D. T., J. Electron. Mater,41, 1554 (2012)

Mashadiyeva L. F., Mammadli P. R., Babanly D. M., Ashirov G. M., Shevelkov A. V.,
Yusibov Y. A., JOM,73, 1522 (2021)

Chen K., Thesis Ph.D., Synthesis and Thermoelectric Properties of Cu-Sb-S Compounds,
Ph.D. Thesis,Queen Mary University of London (2016)

Yang B., Wang L., Han J., Zhou Y., Song H., Chen S., Zhong J., Lv L., Niu D., Tang
J., Chem. Mater,26, 3135 (2014)

Colombara D., Peter L. M., Rogers K. D., Painter J. D., Roncallo S., Thin Sol. Films,519,
7438 (2011)

Garza C., Shaji S., Arato A., Tijerina E. P., Casillo G. A., Das Roy T. K., Krishnan
B., Solar Energy Mater. Solar Cells,95, 2001 (2011)

Kamimizutaru K., Nagaoka A., Shigeeda Y., Nishioka K., Higashi T., Yasui S., Yoshino
K., J. Phys. Chem. Sol,163, 110589 (2022)

Kyono A., Kimata M., Am. Mineral,90, 162 (2005)

Esperto L., Figueira I., Mascarenhas J., Silva T. P., Correia J. B., Neves F., Materials,15,
3842 (2022)

Hobbis D., Wei K., Wang H., Martin J., Nolas G. S., Inorg. Chem,56, 14040 (2017)

Pi J. H., Kwak S. G., Kim S. Y., Lee G. E., Kim I. H., J. Electron. Mater,48, 1991
(2019)

Lee G. E., Kim I. H., Korean J. Met. Mater,60, 455 (2022)

Lee G. E., Pi J. H., Kim I. H., J. Electron. Mater,49, 2781 (2020)

Kim S. Y., Kwak S. G., Pi J. H., Lee G. E., Kim I. H., J. Electron. Mater,48, 1857
(2019)

Feng Z., Jia T., Zhang J., Wang Y., Zhang Y., Phys. Rev. B,96, 235205 (2017)

Nagaoka A., Takeuchi M., Yoshino K., Ikeda S., Yasui S., Taniyama T., Nishioka K.,
Phys. Sta. Sol,216, 1800861 (2019)

Karup-Moller S., Makovicky E., Am. Mineral,59, 889 (1974)

Madelung O., Semiconductors: Data Handbook,Springer (2004)

Anthony J. W., Bideaux R. A., Bladh K. W., Nichols M. C., Handbook of Mineralogy,
Vol. I,Mineralogical Society of America (2003)

Figures and Tables
Fig. 1.
XRD patterns of CuSbS2 synthesized by MA.
Fig. 2.
(a) TG and (b) DSC analyses of CuSbS2 MA powders with respect to MA time.
Fig. 3.
XRD patterns of CuSbS2 sintered by HP.
Fig. 4.
(a) TG and (b) DSC analyses of CuSbS2 HP specimens with respect to HP temperature.
Fig. 5.
Polished and fractured surfaces of CuSbS2 HP specimens.
Fig. 6.
SEM-EDS micrographs with elemental line scans and maps for the HP623K2H specimen.
Fig. 7.
Temperature dependence of thermal diffusivity for CuSbS2
Fig. 8.
Temperature dependence of thermal conductivity for CuSbS2.
Table 1.
Lattice constants, FWHM, and relative densities of CuSbS2.
|
Specimen
|
Lattice constant [nm]
|
FWHM(013) [deg.]
|
Relative density [%]
|
|
a
|
b
|
c
|
|
MA350R12H
|
0.6018
|
0.3796
|
1.4495
|
0.45032
|
-
|
|
HP573K2H
|
0.6018
|
0.3801
|
1.4497
|
0.36144
|
94.6
|
|
HP623K2H
|
0.6018
|
0.3801
|
1.4496
|
0.25972
|
99.7
|
|
HP673K2H
|
0.6017
|
0.3801
|
1.4495
|
0.29780
|
98.7
|
Table 2.
Densities and specific heat values of Cu–Sb–S ternary compounds for thermal conductivity
evaluations.
|
Compound
|
Density [gcm-3]
|
Specific heat [Jg-1K-1]
|
Reference
|
|
Chalcostibite CuSbS2 |
4.93
|
0.40
|
[10]
|
|
Skinnerite Cu3SbS3 |
5.10
|
0.43
|
[10, 24]
|
|
Famatinite Cu3SbS4 |
4.635
|
0.46
|
[10, 25]
|
|
Tetrahedrite Cu12Sb4S13 |
4.99
|
0.45
|
[10, 26]
|