The Journal of
the Korean Journal of Metals and Materials

The Journal of
the Korean Journal of Metals and Materials

Monthly
  • pISSN : 1738-8228
  • eISSN : 2288-8241

Editorial Office





thermoelectric, chalcogenide, bismuth telluride, uniformity

1. INTRODUCTION

Because thermoelectric parameters (electrical conductivity, Seebeck coefficient, and thermal conductivity) are temperature-dependent, the temperature that exhibits the best thermoelectric performance is different for each material. Skutterudites, clathrates, and silicides are good thermoelectric materials in the mid/high-temperature range, and -based materials exhibit excellent performance in the low-temperature range [1]. In general, is used as p-type (Bi,Sb)2Te3 or n-type Bi2(Te,Se)3 by forming a solid solution with Sb2Te3 or Bi2Se3 with the same crystal structure (space group R 3 ¯ m). However, n-type materials exhibit lower ZT values than p-type materials [2-4], and their thermoelectric property changes are highly sensitive to the composition and carrier concentration [5]. Therefore, because both p-type and n-type materials are used to manufacture thermoelectric devices, it is necessary to improve the thermoelectric performance by optimizing the composition and carrier concentration of the n-type Bi2Te3-based materials.

Fig 1 shows the equilibrium phase diagram of a Bi-Te binary system [6]. In addition to Bi2Te3, various intermediate phases exist such as Bi7Te3, Bi2Te, Bi4Te3, etc. The crystal systems of Bi2Te3 and Bi2Se3 are rhombohedral (rhombohedric hexagonal), and as shown in Fig 2, they exhibit a stacked structure perpendicular to the c-axis in the following order [7,8]:

-Te1(Se1)-Bi-Te2(Se2)-Bi-Te1(Se1)-

where the superscripts indicate crystallographically different positions. While other bonding surfaces have ionic or covalent bonds, the bonding surfaces of Te1(Se1)-Te1(Se1) have weak van der Waals bonds; thus, cleavage planes exist along the basal plane perpendicular to the c-axis [9]. Therefore, the mechanical properties along the cleavage plane are brittle [10], and in the case of single crystals, strong anisotropy appears in the thermal/electrical properties [11,12].

Because Bi2Te3 and Bi2Se3 form a solid solution of Bi2Te3-ySey over the entire composition range, the periodicity of the crystal lattice is maintained; however, the lattice thermal conductivity may be reduced by phonon scattering at short wavelengths due to deformation of the lattice through alloying. In addition, when Bi2Te3 and Bi2Se3 form a solid solution, the highly electronegative Se occupies the position of Te2. Because the atomic radius of Se is smaller than that of Te, the lattice constant decreases as the substitution amount of Se increases, and the bandgap energy increases because of the formation of Bi-Se2 bonds, which have stronger binding forces than Bi-Te2 bonds [13]. Therefore, changes in the thermal/electrical and lattice properties are expected when Se is substituted for Te.

The substitution of Bi or Te in Bi2Te3 by a dopant changes the electronic structure and transport characteristics and thus affects the thermoelectric properties. In addition, doping can decrease the lattice thermal conductivity by increasing phonon scattering due to lattice distortion caused by impurities [14,15]. Halogen elements such as I and Br are known to act as donors, and halides such as SbI3, AgI, TeI4, CdBr2, and AgBr are used because of the high reactivity of these halogen elements [16,17]. The halogen replaces the Te site, donating electrons [18], and is almost completely ionized in Bi2Te3 owing to its low ionization energy [19]. Various elements are known to be acceptors for Bi2Te3; transition atoms (Cu, Ag, and Zn), group-IV elements (Ge, Sn, and Pb), and group-V elements (As, Sb, and Bi) increase the hole concentration by substituting the Bi sites [17,20]. Therefore, in n-type Bi2(Te,Se)3, adopting acceptors can improve the power factor by increasing the Seebeck coefficient, which results from a decrease in carrier concentration.

In this study, Bi2Te3-Bi2Se3 solid solutions (Bi2Te3-ySey) were formed to reduce thermal conductivity due to increased phonon scattering by substitution, and various dopants (D) were incorporated to improve the electrical properties. In addition, bulky compacts of n-type Bi2Te3-ySey:Dm were prepared for application in thermoelectric modules, and the uniformity of their thermoelectric properties were examined.

2. SYNTHESIS AND ANALYSIS

Bi2Te3-Bi2Se3 solid solutions were synthesized using the encapsulated melting (EM) method. In this study, three types of specimens were prepared; their detailed compositions are as follows [21-26]:

① Bi2Te3-ySey (y = 0, 0.15, 0.3, 0.45, and 0.6)

② Bi2Te2.85Se0.15:Dm (D = I, Cu, Ag, In, Al, Ni, Zn, Ge, and Sn; m = 0-0.03)

③ Bi2Te2.7Se0.3:Dm (D = I, Cu, and Ag; m = 00.02)

Elemental Bi (purity 99.999%), Te (purity 99.999%), Se (purity 99.999%), and dopants (purity 99.9%-99.95%) were weighed according to their compositions and loaded into a quartz tube sealed in a vacuum. The sealed raw materials were melted at 1073 K for 4 h and subsequently cooled in a furnace. After crushing the obtained ingot to less than 75 μm, the powder was placed into a graphite mold with an inner diameter of 10ϕ (specimens for measuring thermoelectric properties) and 25ϕ (specimens for evaluating uniformity of thermoelectric performance), and sintered by hot pressing (HP) for 1 h at 648-698 K under a pressure of 70 MPa. Fig 3 shows the 10ϕ- and 25ϕ-diameter Bi2Te3-ySey:Dm sintered bodies prepared using the EM-HP process.

Solid-solution formation and phase change were investigated by X-ray diffraction (XRD: Bruker, D8-Advance) analysis using Cu Kα radiation. To examine the thermoelectric properties, Seebeck coefficient (α), electrical conductivity (σ), and thermal conductivity (κ) were measured in the temperature (T) range of 323-523 K. To measure the Seebeck coefficient and electrical conductivity, the HP compact was cut into dimension of 3 mm × 3 mm × 9 mm, and the specimen for thermal conductivity measurement was processed into a disk shape with a diameter of 10 mm × thickness 1 mm. The power factor (PF = α2× σ) was calculated from the Seebeck coefficient and electrical conductivity measured using Advance Riko ZEM3 equipment, and the thermal conductivity (κ = d · cp · r) was obtained from the thermal diffusivity (d), specific heat (cp), and density (r) measured using Advance Riko TC-9000H laser flash system. Finally, the thermoelectric performance was evaluated by calculating the dimensionless figure of merit (ZT = PF · T · κ-1)

3. THERMOELECTRIC PERFORMANCE

Miller and Li [27] found that antisite (antistructure) defects in Bi2Te3-based materials predominantly affect the carrier concentration, while Horak et al. [28] and Cho and Kim [29,30] suggested the following equilibrium defect equations:

(1)
Bi 2 Te 3 2 Bi Te - + 3 V Te + + 2 V Bi 1.5 - + ( 3 / 2 ) Te 2 + 2 h +
(2)
Bi 2 Se 3 ( 4 / 3 ) Bi Bi + ( 2 / 3 ) Bi Se - + 3 V Se + + ( 2 / 3 ) V Bi 1.5 + ( 3 / 2 ) Se 2 + ( 4 / 3 ) e -
(3)
Te 2 2 Te Bi + + 2 V Te + 2 e -

Stoichiometric Bi2Te3 exhibits n-type properties [31]. However, because of the evaporation of Te at a high vapor pressure, Bi exists in excess, and thus Bi atoms occupy the Te sites, producing BiTe- antisite defects, which donate holes to exhibit p-type characteristics (Equation 1). When Bi2Te3 and Bi2Se3 form a solid solution, Se atoms are substituted at the Te sites, and BiTe- antisite defects are reduced; thus, the hole concentration decreases, the excess Te atoms form TeBi+ and VTe, and electrons are generated, resulting in n-type conduction (Equations 2 and 3). Therefore, according to the manufacturing conditions and dopant addition, the concentration of antisite defects changes and thus greatly affects the Seebeck coefficient and electrical conductivity, which are closely related to the carrier concentration.

In this study, the thermoelectric properties are summarized for n-type Bi2Te3-ySey:Dm chalcogenides with a diameter of 10ϕ prepared by the EM-HP process. The comparison focused solely on the highest ZT values (as shown in Fig 4) of specimens with optimum compositions [21-26].

3.1 Bi2Te3-ySey solid solution

ZT was evaluated for Bi2Te3-ySey (y = 0-0.6) solid solutions. As Bi2Se3 was dissolved in Bi2Te3, the Seebeck coefficient increased and the thermal conductivity decreased; thus, ZT was improved compared to Bi2Te3 at all measured temperatures. The maximum ZT value of ZT = 0.56 appeared at 323 K when y = 0.15 (Bi2Te2.85Se0.15) and ZT = 0.60 at 423 K when y = 0.6 (Bi2Te2.4Se0.6).

3.2 Bi2Te2.85Se0.15:Dm

Various candidate dopants (D = I, Cu, Ag, In, Al, Ni, Zn, Ge, and Sn) were used for Bi2Te2.85Se0.15, with a doping level of m = 0-0.03. Because the halogen element (I) replaced the Te atoms [32], electrons were generated (acting as donors) and increased the carrier concentration, whereas other doping elements acted as acceptors, occupying Bi sites and decreasing the electron concentration [18]. When doped with I, Cu, Ag, and In, the power factor and ZT significantly improved, and Bi2Te2.85Se0.15:I0.005 exhibited not only an increased power factor but also a greatly reduced thermal conductivity, resulting in ZT = 0.90 at 423 K. In the case of Bi2Te2.85Se0.15:Cu0.01, Bi2Te2.85Se0.15:Ag0.01, and Bi2Te2.85Se0.15:In0.0025, the thermoelectric performances were enhanced to ZT = 0.76, ZT = 0.75, and ZT = 0.66 at 323 K, which was mainly due to the increase in the power factor. However, as the temperature increased, ZT decreased, because of the bipolar effect caused by thermal excitation in the intrinsic conduction region. There was no improvement in ZT upon doping with Al, Ni, Zn, Ge, or Sn. When n-type Bi2Te2.85Se0.15 is used for thermoelectric cooling devices, I, Cu, and Ag are considered suitable dopants; however, when applied to power-generating devices, I is judged to be more suitable than Cu and Ag.

3.3. Bi2Te2.7Se0.3:Dm

Promising dopants (D = I, Cu, and Ag) were selected for Bi2Te2.7Se0.3:Dm with a doping level of m = 0-0.02. The undoped Bi2Te2.7Se0.3 exhibited a relatively low ZT = 0.55 at 423 K. However, the power factor was enhanced by doping with I and Cu, and in this way the ZT was greatly improved in all measurement temperature ranges. Bi2Te2.7Se0.3:I0.0075, Bi2Te2.7Se0.3:Cu0.01 recorded ZT = 1.13 and ZT = 0.73 at 423 K, respectively. However, with increasing temperature, ZT decreased due to a reduction in the Seebeck coefficient caused by intrinsic conduction, and an increase in thermal conductivity resulting from the bipolar effect. In the case of Ag doping, the ZT improvement was not significant.

4. UNIFORMITY

To evaluate the two-dimensional uniformity of the thermoelectric properties according to the bulk (diameter increased from 10ϕ to 25ϕ) n-type Bi2Te3-ySey:Dm thermoelectric materials, sintered bodies with dimensions of 25ϕ × 3t were produced using the method mentioned in Section 2, where ϕ is the diameter in mm and t is the thickness in mm. In this study, for the two types of Bi2Te2.85Se0.15:I0.005 and Bi2Te2.7Se0.3:I0.0075, which exhibited the best thermoelectric performances among the 10ϕ-Bi2Te3-ySey:Dm samples, the power factors were measured after processing the sintered body (25ϕ × 3t) into four (S1-S4) rectangular parallelepiped (3 × 3 × 9 mm3) specimens via electrical discharge machining (Fig 5).

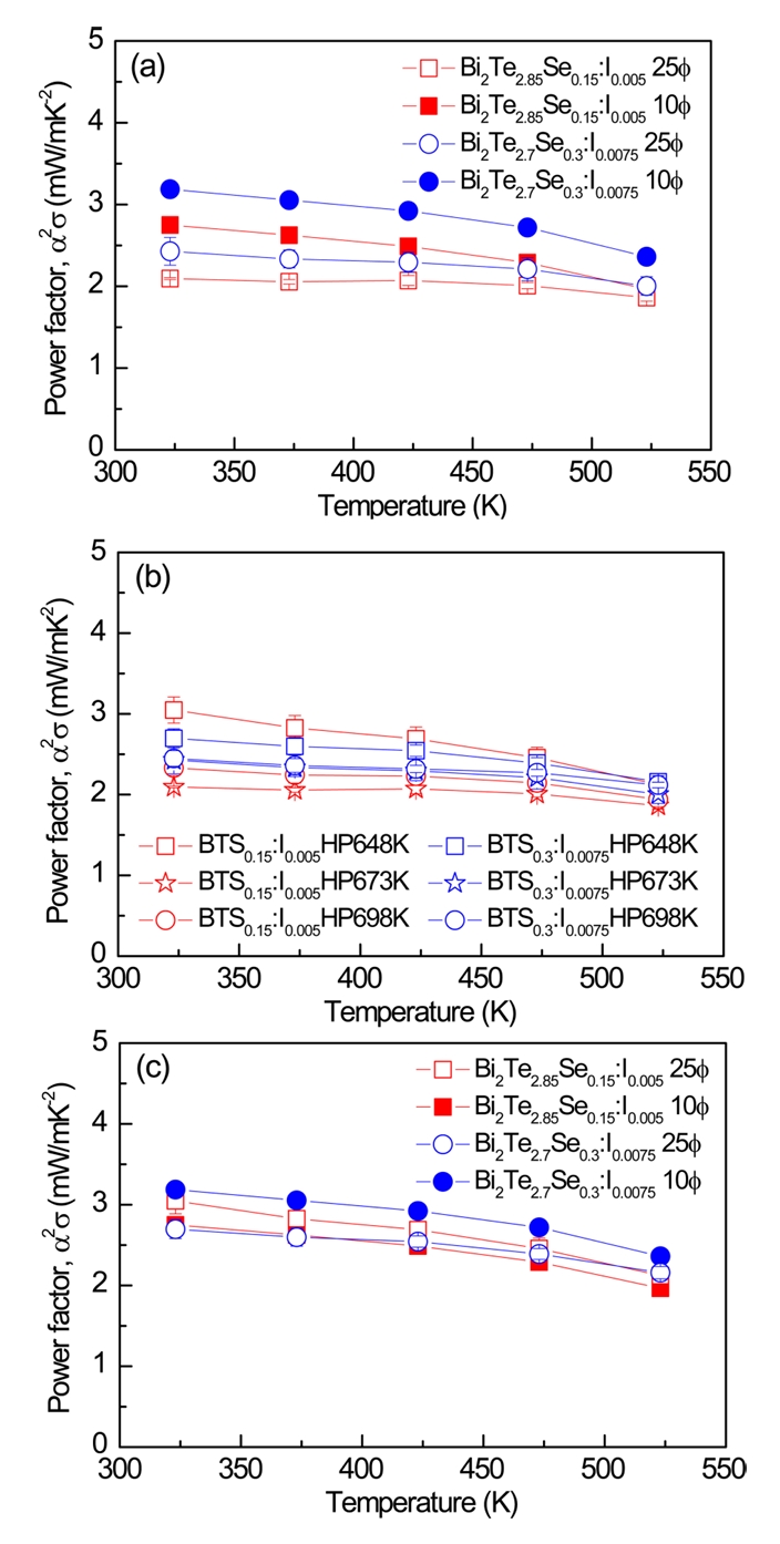
Fig 6(a) shows the power factor of the thermoelectric materials manufactured at an HP temperature of 673 K. Compared with the maximum power factor of the 10ϕ sintered body (PFmax = 2.75 mW/mK2 at 323 K for Bi2Te2.85Se0.15:I0.005 and PFmax = 3.19 mW/mK2 at 323 K for Bi2Te2.7Se0.3:I0.0075), when the diameter of the sintered body increased, the average value of the maximum power factor decreased to PFave = 2.09 ± 0.01 mW/mK2 at 323 K for Bi2Te2.85Se0.15:I0.005 and PFave = 2.43 ± 0.17 mW/mK2 at 323 K for Bi2Te2.7Se0.3:I0.0075.

However, in the case of the 25ϕ × 3t sintered body, the distribution ranges (deviations) in the power factor values were not large; thus, the uniformity was acceptable. Optimal HP conditions for thermoelectric materials should be derived while taking into account the differences in size (area and volume) of the sintered body. Fig 6(b) presents the power factor of the bulky (25ϕ × 3t) thermoelectric materials prepared by varying the HP temperature. In the case of the 10ϕ sintered body, the optimum HP temperature was 673 K, but in the case of the 25ϕ sintered body (both Bi2Te2.85Se0.15:I0.005 and Bi2Te2.7Se0.3:I0.0075), the optimum HP temperature was 648 K.

In addition, it is necessary to maintain uniform temperature within the material when manufacturing a large-area sintered body. Fig 6(c) shows the power factors of the 25ϕ sintered bodies fabricated again at the HP temperature of 648 K. Power factor values were similar to those of the 10ϕ specimens sintered at the HP temperature of 678 K. For the 25ϕ sintered bodies, the average values of the maximum power factors were PFave = 3.05 ± 0.16 mW/mK2 at 323 K for Bi2Te2.85Se0.15:I0.005 and PFave = 2.70 ± 0.12 mW/mK2 at 323 K for Bi2Te2.7Se0.3:I0.0075. Additionally, the uniformity of the power factor was satisfactory.

The three-dimensional uniformity of the thermoelectric performance was examined for bulky n-type Bi2Te3-ySey:Dm. As shown in Fig 7, after processing, the Bi2Te2.7Se0.3:I0.0075 sintered body with dimensions of 25ϕ × 25t was cut into four (U1, U2, D1, and D2) cylinders (10ϕ 12t) by electrical discharge machining, and the specimens were prepared for XRD phase analysis and thermoelectric property measurements.

Fig 8 shows the XRD phase analysis results for the Bi2Te2.7Se0.3:I0.0075 sintered body (25ϕ × 25t). The diffraction patterns of all the specimens matched those of the ICDD standard diffraction data (PDF# 15-0863), indicating that the desired phase was successfully synthesized, and no residual elements or secondary phases were found.

Fig 9 shows the ZT of the bulk Bi2Te2.7Se0.3:I0.0075 (25ϕ × 25t). The ZT values of the four specimens were evaluated. The maximum thermoelectric performance of ZT = 1.01-1.06 (average ZTave = 1.03) was obtained at 423 K. This is slightly lower than the highest thermoelectric performance (ZT = 1.13 at 423 K) of the Bi2Te2.7Se0.3:I0.0075 sintered body (10ϕ × 10t) in Section 3-3. However, these uniform experimental results are encouraging for the mass/bulky production of thermoelectric materials for fabricating thermoelectric devices.

5. SUMMARY

N-type Bi2Te3-Bi2Se3 solid solutions were synthesized using the EM?HP process, and the uniformity of their thermoelectric properties were evaluated. Solid solutions of Bi2Te3-Bi2Se3, doped with various elements including I, Cu, Ag, In, Al, Ni, Zn, Ge, and Sn, were synthesized, and their thermoelectric properties were compared. In the case of undoped Bi2Te3-ySey, all the samples exhibited n-type conductivity, and as the Se content increased, the electrical conductivity decreased, possibly because of the decreased concentration of TeBi+ antisite defects. When Se was substituted for Te, the Seebeck coefficient increased and the thermal conductivity decreased, resulting in an improved ZT at all measured temperatures compared with that of Bi2Te3; the maximum values were ZT = 0.56 at 323 K when y = 0.15 and ZT = 0.60 at 423 K when y = 0.6. In the case of doping in Bi2Te2.85Se0.15 solid solutions (Bi2Te2.85Se0.15:Dm), while I replaced Te and generated electrons, increasing the carrier concentration, the other dopants occupied the Bi sites and decreased the carrier concentration. Bi2Te2.85Se0.15:I0.005 exhibited the highest ZT = 0.90 at 423K. For Bi2Te2.85Se0.15:Cu0.01, Bi2Te2.85Se0.15:Ag0.01 and Bi2Te2.85Se0.15:In0.005, the ZT values also improved to ZT = 0.76, ZT = 0.75, and ZT = 0.66 at 323 K, mainly because of the increase in the power factor. In the doping cases to Bi2Te2.7Se0.3 solid solution (Bi2Te2.7Se0.3:Dm), I acted as a donor, but Cu and Ag acted as acceptors, similar to Bi2Te2.85Se0.15:Dm. ZT was enhanced through doping with I and Cu, resulting in ZT values of 1.13 for Bi2Te2.7Se0.3:I0.0075 and 0.73 for Bi2Te2.7Se0.3:Cu0.01 at 423 K. However, when Ag was doped into Bi2Te2.7Se0.3, there was little improvement in ZT. Bi2Te2.7Se0.3:I0.0075 with the best thermoelectric performance among n-type Bi2Te3-ySey:Dm was produced in bulky compacts with dimensions of 25ϕ × 25t, and the threedimensional uniformity of their thermoelectric performance was verified.

Acknowledgements

This study was supported by the Advanced Technology Center Plus (ATC+) Program through the Korea Planning and Evaluation Institute of Industrial Technology funded by the Ministry of Trade, Industry and Energy (Grant No. 20017982), and by the Basic Science Research Capacity Enhancement Project (National Research Facilities and Equipment Center) through the Korea Basic Science Institute funded by the Ministry of Education (Grant No. 2019R1A6C1010047).

REFERENCES

1 
Tritt T. M., Annual Review of Materials Research,Annual Reviews (2011)Google Search
2 
Du Y., Cai K. F., Li H., An B. J., J. Electron. Mater,40, 518 (2011)Google Search
3 
Wang S., Xie W., Li H., Tang X., Intermetallics,19, 1024 (2011)Google Search
4 
Jang K. W., Kim H. J., Jung W. J., Kim I. H., Korean J. Met. Mater,56, 66 (2018)Google Search
5 
Yim J. H., Baek S. H., Shin H. Y., Hyun D. B., Kim J. S., J. Electron. Mater,42, 2178 (2013)Google Search
6 
Massalski T. B., Binary Alloy Phase Diagrams,1American Society for Metals (1986)Google Search
7 
Francombe M. H., Brit. J. Appl. Phys,9, 415 (1958)Google Search
8 
Wang S., Li H., Lu R., Zheng C., Tang X., Nanotechnology,24, 285702 (2013)Google Search
9 
Chizhevskaya S. N., Shelimova L. E., Inorg. Mater,31, 1083 (1995)Google Search
10 
Rowe D. M., Bhandari C. M., Modern Thermoelectrics,1Holt Rinehart and Winston (1983)Google Search
11 
Delves R. T., Bowley A. E., Hazelden D. W., Goldsmid H. J., Proc. Phys. Soc,78, 838 (1961)Google Search
12 
Goldsmid H. J., Electronic Refrigeration,Plenum Press (1964)Google Search
13 
Abrikosov N. Kh., Bankina V. F., Poretskaya L. V., Shelimova L. E., Skudnova E. V., Semiconducting II-VI, IVVI and V-VI Compounds,Plenum Press (1969)Google Search
14 
Jiang J., Chen L. D., Yao Q., Bai S. Q., Wang Q., Mater. Chem. Phys,92, 39 (2005)Google Search
15 
Wojciechowski K. T., Tobola J., Leszczynski J., J. Alloys Compd,361, 19 (2003)Google Search
16 
Shvangiradze P. P., Sabo E. P., Inorg. Mater,36, 1104 (2000)Google Search
17 
Przyluski J., Borkowski K., Proc. 4th Intl. Conf. Thermoelectric Energy Conv., 1-165, IEEE (1982)Google Search
18 
Zhang X., Ma X. Y., Lu Q. M., Zhang F. P., Liu Y. Q., Zhang J. X., Wang L., J. Electron. Mater,40, 773 (2011)Google Search
19 
Scherrer H., Scherrer S., Thermoelectrics Handbook: Macro to Nano,1CRC Press (2006)Google Search
20 
Cui J. L., Xiu W. J., Mao L. D., Ying P. Z., Jiang L., Qian X., J. Sol. Stat. Chem,180, 1158 (2007)Google Search
21 
Lee G. E., M. S. Thesis,14-22, Korea National University of Transportation (2015)Google Search
22 
Lee G. E., Kim I. H., Lim Y. S., Seo W. S., Choi B. J., Hwang C. W., J. Korean Phys. Soc,64, 1416 (2014)Google Search
23 
Lee G. E., Kim I. H., Lim Y. S., Seo W. S., Choi B. J., Hwang C. W., J. Korean Phys. Soc,64, 1692 (2014)Google Search
24 
Lee G. E., Kim I. H., Lim Y. S., Seo W. S., Choi B. J., Hwang C. W., J. Electron. Mater,43, 1650 (2014)Google Search
25 
Lee G. E., Kim I. H., Lim Y. S., Seo W. S., Choi B. J., Hwang C. W., J. Korean Phys. Soc,65, 696 (2014)Google Search
26 
Lee G. E., Eum A. Y., Song K. M., Kim I. H., Lim Y. S., Seo W. S., Choi B. J., Hwang C. W., J. Electron. Mater,44, 1579 (2014)Google Search
27 
Miller G. R., Li C. Y., J. P hys. C hem. S ol,26, 173 (1965)Google Search
28 
Horak J., Cermak K., Koudelka L., J. Phys. Chem. Sol,47, 805 (1986)Google Search
29 
Cho K. W., Kim I. H., Mater. Lett,59, 966 (2005)Google Search
30 
Kim I. H., Mater. Lett,44, 75 (2000)Google Search
31 
Masui K., Kanamitu Y., Hotta S., Nakayoshi K., Proc. 12th Intl. Conf. Thermoelectrics, 155Institute of Electrical Engineers of Japan (1993)Google Search
32 
Goldsmid H. J., Proc. 5th Intl. Conf. Phys. Semicond, 1015Publishing House of the Czechoslovak Academy of Sciences (1960)Google Search

Figures

Fig. 1.

Equilibrium phase diagram of Bi-Te binary system [6].

../../Resources/kim/KJMM.2024.62/kjmm-2024-62-5-385f1.jpg
Fig. 2.

Crystal structure of Bi2Te3 showing van der Waals gaps between quintuple layers [7,8].

../../Resources/kim/KJMM.2024.62/kjmm-2024-62-5-385f2.jpg
Fig. 3.

Bi2Te3-ySey:Dm chalcogenide compacts with diameters of 10ϕ and 25ϕ prepared by the EM-HP process (unit: mm).

../../Resources/kim/KJMM.2024.62/kjmm-2024-62-5-385f3.jpg
Fig. 4.

Summary of thermoelectric performance of Bi2Te3-ySey:Dm chalcogenide compacts (10ϕ × 10t) prepared by the EM-HP process.

../../Resources/kim/KJMM.2024.62/kjmm-2024-62-5-385f4.jpg
Fig. 5.

Sample preparation for uniformity of Bi2Te3-ySey:Im chalcogenide compacts (25ϕ × 3t) prepared by the EM-HP process.

../../Resources/kim/KJMM.2024.62/kjmm-2024-62-5-385f5.jpg
Fig. 6.

Thermoelectric power factors of Bi2Te3-ySey:Im chalcogenide (a) compacts with diameters of 10ϕ (HP673K) and 25ϕ (HP673K), (b) compacts (25ϕ × 3t) according to HP temperature (BTS0.15: Bi2Te2.85Se0.15 and BTS0.3: Bi2Te2.7Se0.3), and (c) compacts with diameters of 10ϕ (HP673K) and 25ϕ (HP648K) prepared by the optimized EM-HP process.

../../Resources/kim/KJMM.2024.62/kjmm-2024-62-5-385f6.jpg
Fig. 7.

Sample preparation for uniformity of thermoelectric performance of Bi2Te2.7Se0.3:I0.0075 chalcogenide compacts (25ϕ × 25t) prepared by the EM-HP process (unit: mm).

../../Resources/kim/KJMM.2024.62/kjmm-2024-62-5-385f7.jpg
Fig. 8.

X-ray diffraction patterns exhibiting a homogeneous single chalcogenide phase of Bi2Te2.7Se0.3:I0.0075 bulky compacts (25ϕ × 25t) prepared by the EMHP process.

../../Resources/kim/KJMM.2024.62/kjmm-2024-62-5-385f8.jpg
Fig. 9.

Dimensionless Fig.s of merit of Bi2Te2.7Se0.3:I0.0075 bulky compacts (25ϕ × 25t) prepared by the EM-HP process.

../../Resources/kim/KJMM.2024.62/kjmm-2024-62-5-385f9.jpg