주성재
(Sung-Jae Joo)
1*
손지희
(JiHui Son)
1
장정인
(JeongIn Jang)
1
민복기
(Bok-Ki Min)
1
김봉서
(Bong-Seo Kim)
1
-
한국전기연구원전기변환소재연구센터
(Korea Electrotechnology Research Institute, Energy Conversion Research Center, Changwon
51543, Republic of Korea)
Copyright © 2024 The Korean Institute of Metals and Materials
Key words
thermoelectric, Mg3La0.005MnxSbBi, dual doping, La, Mn
1. 서 론
열전기술은 펠티어 냉각 및 발전에 적용되고 있으며, 최근 환경오염에 의한 기후온난화 문제가 심각하게 대두되면서 특히 폐열회수를 위한 열전발전기술에
대한 관심이 증가하고 있다. 열전기술은 기계적 구동부가 없는 고체소자 기반의 열-전기 직접변환 기술이므로 소음을 발생시키지 않으며, 또한 유지보수가
필요하지 않고 부피가 작으며 장 기간 구동에도 높은 신뢰성을 유지한다는 장점이 있다. 반면, 냉각 및 발전효율이 종래의 기계적 방식에 비해 낮은 점이
단점으로 작용하고 있으며, 이를 개선하기 위하여 무차원 성능지수 zT로 대변되는 열전소재의 성능을 높이기 위한 다년간의 연구가 진행되고 있다. zT를 향상시키기 위해서는 제벡계수(S)를 높이면서 동시에 전기전도도(σ)를 극대화하고 열전도도(κ)는 최대한 낮추는 상호 모순되는 목표를 동시에 달성할 것이 요구되는데, 이를 위해 소재의 도핑 최적화, 나노 구조화, 계층적 구조화, 밴드구조 제어
등 다양한 개념적 접근과 이에 기반한 응용기술들이 개발되어 괄목할 만한 성과를 거둔 바 있다 [1,2].
실온에서 약 500 K에 이르는 저온 영역에서는 1950년대 이래로 p형과 n형 공히 Bi2Te3 소재를 기반으로 한 열전기술을 개발 및 사용하고 있으며, 이것은 현재까지 저온 대역에서 상용화된 유일한 소재이다. 1950년대에 개발된 Bi2Te3 소재는 지속적으로 열전특성이 향상되었으며, 국내에서도 다년간 활발하게 연구되어 왔다 [3-8]. 그러나 Bi2Te3의 구성원소인 Te이 가격이 높고 희귀하다는 점이 소재의 저가화와 대량생산에 약점으로 작용하고 있다. 따라서 보다 흔하고 값싼 원소들에 기반하여 소재가격이
낮고 대량생산이 가능한 저온용 열전소재에 대한 잠재적 수요가 상시적으로 존재하고 있는 상황이다.
그런데 2016년 Mg3Sb2-xBix n형 다결정 소재의 합성에 대한 최초의 연구결과가 보고되었다 [9]. 이 논문에서 Panasonic 사의 H. Tamaki 등은 통상적으로 p형 특성을 보이는 Mg3Sb2의 소재합성에 Mg를 정량비보다 과량 투여하고 Te를 n형 도판트로 추가하여 n형 전환에 성공하였고, Sb/Bi 혼합으로 열전도도를 감소시켜 716
K에서 zT ≈ 1.5의 우수한 열전특성을 얻음으로써 Mg3Sb2 기반 n형 소재에 대한 관심을 불러 일으켰다. 뒤이어 J. Shuai 등은 Mg3+δSb1.5Bi0.49Te0.01 소재에 Nb를 도핑하여 실온에서의 zT가 0.4로 상승하는 현상을 보고함으로써 저온용 소재로서의 가능성을 확인하였고 [10], 2019년에 R. Shu 등은 Mn이 도핑된 Mg3+δSbxBi1.99-xTe0.01 : Mn 0.01 소재를 합성하고 실온에서 0.50-0.63의 높은 zT를 얻어 n형 Bi2Te3 기반의 소재에 비견할 만한 열전특성을 확인하였다 [11]. 또한 K. Imasato 등은 Sb/Bi 조성비를 주요 변수로 삼아 밴드갭을 조절함으로써 Te 도핑된 Mg3Sb0.6Bi1.4 소재로부터 400-500 K 범위에서의 zT가 1.0-1.2의 매우 높은 값을 가지는 결과를 얻었음을 보고하였다 [12]. 이러한 긍정적인 결과들은 Mg3Sb2 n형 소재가 Bi2Te3 기반의 n형 소재를 대체할 수 있을 것이라는 기대를 갖게 하였으며, Mg3Sb2-xBix 소재에 대한 본격적인 관심과 연구를 촉발하였다 [13-19]. 화학식에서 알 수 있는 바와 같이, Mg3Sb2-xBix 소재는 Mg를 비롯하여 지구상에 비교적 흔한 원소들로 구성되므로 소재가격 및 대량생산성 측면에서 Bi2Te3에 비해 상당한 장점을 가질 것으로 예상되고 있다.
Mg3Sb2-xBix 소재의 n형 도핑은 Sb 자리에 칼코겐 원소(Te, Se, S등)를 치환하여 달성할 수 있고 [9,20-23], 또한 Mg자리에 Y, Sc 등의 3족 원소와 La족 계열의 원소를 치환하는 방법도 잇달아 보고되었다 [17-19,24-30]. 이 중 후자의 경우에서 소재의 최대전자농도 상승 및 열적 안정성이 향상되었다는 결과들이 보고되었는데, 선행연구 결과에 의하면 Mg를 La로 치환할
경우 La 도핑된 Mg3Sb1.5Bi0.5의 도핑효율이 Te 도핑보다 더 높았을 뿐 아니라 높은 온도에서의 소재안정성도 개선되었다 [17]. 또 한편으로는, 앞서 간략하게 서술된 Nb와 Mn 이외에도 Fe, Co, Hf, Ta 등 전이금속원소를 도핑하는 연구가 소재개발 초창기부터 시도되었으며,
이 방법을 이용하면 전하산란기전을 변화시켜 Mg3Sb2-xBix 소재의 열전특성을 향상시킨다는 사실이 알려져 있다 [31].
본 연구팀은 최근에 LaSb 화합물을 도핑원료로 사용한 n형 Mg3LaxSbBi (0 ≤ x ≤ 0.02) 소재합성 및 열전특성에 대하여 보고한 바 있다 [32]. La도핑량 증가에 따라 전자농도는 실험범위 내에서 9.4 × 1019 cm-3까지 거의 선형적으로 증가하였고, 파워팩터(power factor, PF)와 zT의 최대값은 각각 1.8 mW m-1K-2와 0.89까지 증가하였으며, 이와 동시에 격자열전도도(lattice thermal conductivity, klat)는0.73 W m-1K-1까지 감소함을 확인하였다 [32]. 이러한 결과에 기초하여, 본 연구에서는 소재특성의 추가적인 향상을 위하여Mn을 도핑하여 La과 Mn으로 이중 도핑된 Mg3La0.005MnxSbBi (0 ≤ x ≤ 0.015) n형소재를 합성하였고, 그 열전특성을 분석하였다.
2. 실험방법
La과 Mn으로 이중 도핑된 Mg3La0.005MnxSbBi (0 ≤ x ≤ 0.015) 소재의 합성에 사용한 원료는 Mg (5-25 mm turnings, 99.95%, Sigma Aldrich), Bi (1-12 mm
pieces, 99.999%, Sigma Aldrich), Sb (ca. 2 mm grains, 99.999%, Kojundo Chemical),
LaSb (lumps, 99.9%, Kojundo chemical), Mn (3-12 mm granules, 99.99%, LTS Research
Laboratories) 였다. 한편, 용융 및 소결과정에서의 Mg 손실을 미리 감안하여 Mg : (Sb+Bi) 몰비가 2 : 1이 되도록 여분의
Mg를 투입하였다. 여기서 n형 도핑원소인 La의 첨가량은 본 연구팀에서 얻었던 기존의 실험결과를 기초로 하여 0.005로 고정하여 설정되었는데,
Mg3La0.005SbBi 샘플은 500 K 이하의 온도구간에서 최대 파워팩터 1.73 mW m-1K-2 와 최대 성능지수 0.70의 상대적으로 우수한 열전특성을 보인 바 있다 [32]. 상기의 혼합 원료를 아크멜팅 장비에 장입하고 Ar 분위기에서 아크방전으로 용융시키는 과정을 2회 반복하여 모합금을 제조한 후 볼밀링을 실시하여
(PM-100, Retsch) 분말상태로 만들었다. 이와 같이 제조된 분말을 소결장치(Dr. Sinter, Fuji Electronic)에 장입하고
923 K에서 5분간 방전 플라즈마 소결(spark plasma sintering)을 실시하여 Mg3La0.005MnxSbBi 잉곳을 제작하였다.
제작된 Mg3La0.005MnxSbBi 샘플의 열전특성 측정을 위해 ZEM-3 (Ulvac), LFA457 (Netzsch), DSC404 (Netzsch) 등의 상용장비를 사용하여
각각 전기전도도 (σ), 제벡계수 (S), 열확산도 (a), 비열 (Cp)을 측정하였다. 아르키메데스법을 이용하여 샘플의 밀도 (d)를 측정하였고, 이로부터 열전도도(κ)는 κ = adCp 로 구하였다. 또한 소결체의 전하농도를 구하기 위하여 물리적 특성 측정장치(physical property measurement system, PPMS,
Quantum Design)를 사용하여 298K에서 Hall 측정을 실시하였다. 마지막으로, X선 회절분석으로 원하는 물질상이 합성되었는지 검증하였다
(X-Ray Diffraction, XRD, CuKα, X’Pert PRO MPD, Panalytical).
3. 결과 및 고찰
본 연구에서 합성된 Mg3LaxSbBi 소결체의 XRD 패턴을 그림 1에 나타냈다. 전체적으로 Mg3Sb2의 표준패턴(ICSD#165386)과 정확하게 일치하였으며, 여타 2차상으로 의심되는 peak은 확인되지 않았다.
그림 2는 Mg3La0.005MnxSbBi 소결체의 전기전도도를 298-623 K 온도구간에서 측정한 결과이다. Mn 함량 x가 0.01 이하일 때는 전기전도도가 오히려 감소하거나 x = 0인 샘플과 비슷한 수준을 나타내지만, x = 0.015에서 갑자기 큰 폭으로 증가하는 현상이 관찰되었다. 전기전도도의 최대값을 비교해보면 x = 0일 때 약 415 S cm-1였으나 x = 0.015에서 약 587 S cm-1로 약 41 % 증가하였으며, 298 K에서의 값을 기준으로 하면 약 62 % 만큼 큰 폭으로 증가하였다. 또한 Mn 함량이 증가함에 따라 전기전도도가
최대값을 보이는 온도가 감소함과 동시에, 온도증가에 따라 전기전도도가 감소하는 금속성 거동을 보이는 온도구간이 확대되었다. 선행연구결과를 참조하면,
Mn이 Mg3Sb2-xBix 소재에 첨가되면 전자농도가 오히려 약간 감소하는 counter-doping 효과가 발생한다고 보고된 바가 있으며 [14], 또한 Mn 첨가에 의해 Mg vacancy의 농도가 감소하고 ionized impurity scattering이 감소하여 전자의 이동도가 증가하는
효과가 관찰되었다 [11,14]. 그림 3은 PPMS로 측정된 Mg3La0.005MnxSbBi 샘플들의 Hall 전자농도와 이로부터 계산된 전하이동도를 Mn 함량 x에 대하여 표시한 그래프인데, 실제로 전자농도는 Mn이 첨가되면서 약간
감소하고 있으며 이와 동시에 전자이동도는 증가하는 현상을 관찰할 수 있다. 따라서 그림 2의 실험결과는 Mn 도핑농도가 증가함에 따라 counter-doping 효과와 전자이동도 증가효과가 서로 경합하다가 후자의 효과가 더 우세해지면서
전기전도도가 큰 폭으로 증가하는 것으로 해석되며, ionized impurity scattering이 감소하고 acoustic phonon scattering이
우세해지면서 온도 증가시 전기전도도가 감소하는 온도구간이 확대되는 현상이 수반되는 것으로 보인다.
그림 4는 Mg3La0.005MnxSbBi 소결체의 제벡계수와 파워팩터의 온도의존성을 나타낸 그래프이다. 제벡계수는 Mn 함량 x ≤ 0.01에서는 모든 샘플이 거의 비슷한 값을 가지며, x = 0.015일 때 전 온도범위에서 소폭 감소하였다. 한편, 파워팩터를 PF = σS2의 관계식으로 계산하면 그림 4 (b)와 같으며, Mn이 첨가되지 않은 기준샘플에 대비하여 x = 0.015일 때 473 K 이하 저온 영역에서 큰 폭으로 상승하였다. 본 실험에서 얻은 파워팩터의 최대값은 Mg3La0.005Mn0.015SbBi 샘플에서 473 K에서 측정된 1.98 mW m-1K-2였다. 298 K에서의 파워팩터를 비교하면 Mn이 첨가되지 않은 샘플에 비해 x = 0.015일 때 약 46 % 증가하였으며, 각 샘플의 최대값 기준으로는 1.76 → 1.98 mW m-1K-2로 약 13 % 증가하였다. 이와 같이 저온영역에서의 파워팩터가 크게 증가한 원인은 그림 2와 같이 해당 온도대역에서 전기전도도가 크게 증가하였기 때문이며, 이로부터 Mn 도핑으로 저온 소재로서의 Mg3Sb2-xBix의 효용성을 크게 증가시킬 수 있음을 알 수 있다.
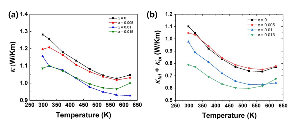
그림 5 (a)는 Mg3La0.005MnxSbBi 샘플들의 열전도도를 비교하여 나타낸 그래프이다. 전체적으로 온도가 상승함에 따라 열전도도가 감소함이 관찰되며, 일부 샘플에서는 573 K
부근에서 최저값에 도달한 후 623 K에서 재상승하는 거동을 보이고 있는데, 이것은 이전 참고문헌에서 실험적으로 측정된 Mg3Sb2-xBix (1.1 ≤ x ≤ 1.5)의 밴드갭이 0.242-0.279 eV 범위로 좁다는 점을 감안할 때 [11] 온도 상승에 의한 양극성 전도(bipolar conduction)가 발생하기 때문으로 판단된다. 그림 5 (a)에서 특기할 점은 Mn 도핑량이 증가하면서 열전도도가 감소한다는 것이다. 이 결과를 조금 더 상세하게 살펴보기 위하여 열전도도의 구성성분을 분석해
보았다. 소재의 열전도도 κ는 격자성분(κlat)과 전자성분(κel), 그리고 양극성 전도에 의한 κbi로 구분할 수 있다:
여기서, 전자열전도도 κel은 Wiedemann-Franz 법칙에 따라 다음과 같다 :
식 (2)에서 L은 Lorenz number, σ는 전기전도도, T는 절대온도이다. L의 계산은 원래 식 (3)과 같이 복잡한 Fermi-Dirac integral을 포함하지만, 2015년 H. Kim 등이 제벡계수 S로부터 간편하게 L을 계산할 수 있는 공식을 식 (4)와 같이 제안한 바 있어 이를 이용하였다 [33].
이렇게 계산된 L로부터 식 (2)를 사용하여 κel을 도출하고, 이를 κ에서 차감하면 그림 5 (b)와 같이 {κlat + κbi}를 분리해낼 수 있는데, 그림 5 (a)와 마찬가지로 Mn의 첨가량이 증가함에 따라 열전도도가 감소하는 현상을 확인할 수 있다. 500 K 이하의 저온대역에서는 κbi가 κlat에 비해 무시할 수 있을 정도로 작을 것으로 예상되므로, 그림 5 (b)로부터 Mn 첨가량이 증가하면 κlat이 감소한다고 결론을 내릴 수 있다. 이와 같이 Mn 첨가량이 증가하면서 κlat이 감소하는 경향성은 타 연구팀에서도 보고된 바 있으며[14,23,34], Mn 도핑에 의해 포논 산란이 촉진됨을 입증한다. 따라서 La과 Mn으로 이중 도핑된 경우에도 동일한 경향성을 확인하였다.
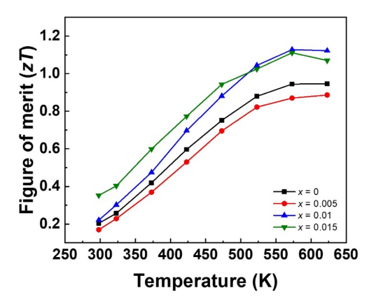
그림 6은 본 연구에서 합성된Mg3LaxSbBi 소재의 무차원 성능지수zT의 그래프이며, zT = (PF × T)/κ 로부터 계산되었다. Mn 함량 x가 0.01 이상일 때 x = 0인 기준샘플에 비해 zT가 향상되었고, x = 0.015에서 전체적으로 가장 높은 zT 값을 보이는 것을 알 수 있다. 최대의 zT 값은 Mg3La0.005Mn0.01SbBi 와 Mg3La0.005Mn0.015SbBi 샘플로부터 얻어졌으며, 573 K에서 1.12로 측정되었다. 또한 Mg3La0.005Mn0.015SbBi 샘플은 298 K에서 zT = 0.35로 가장 높은 값을 보였으며, 기준샘플의 zT = 0.20에 비해 73% 향상되었다. 따라서 La으로 단독 도핑된 경우에 비해[32] Mn 도핑에 의해 실온 부근에서의 Mg3Sb2-xBix 소재의 열전특성을 크게 개선할 수 있음을 확인하였다.
4. 결 론
본 연구에서는 La과 Mn으로 이중 도핑된 n형 Mg3La0.005MnxSbBi (0 ≤ x ≤ 0.015) 열전소재를 합성하고 열전특성을 분석하였다. La이 도핑된 샘플에 Mn을 추가로 첨가함에 따라 전기전도도 증가로 인한 파워팩터 상승
및 격자열전도도 하락의 효과를 동시에 얻을 수 있었으며, 특히 298-500 K의 저온대역에서 열전특성이 큰 폭으로 향상되었다. 본 연구의 실험범위
내에서는 x = 0.015에서 파워팩터 및 zT가 최대화되었으며, 각각 1.98 mW m-1K-2 과 1.12의 값을 얻었다. 따라서 향후 Mn 도핑 최적화로 Mg3Sb2-xBix 소재의 저온특성을 상승시켜 Bi2Te3의 대체가 능성을 더욱 높일 수 있을 것으로 생각된다.
Acknowledgements
이 연구는 2023년도 정부(과학기술정보통신부)의 재원으로 국가과학기술연구회의 지원을 받아 수행 중인 한국전기연구원 기본사업의 성과물임 (No.23A01031).
REFERENCES
Ma Z., Wei J., Song P., Zhang M., Yang L., Ma J., Liu W., Yang F., Wang X., Mater.
Sci. Semicond,121, 105303 (2021)

Dadhich A., Saminathan M., Kumari K., Perumal S., Rao M.S.R., Sethupathi K., J. Phys.
D: Appl. Phys,56, 333001 (2023)

Kim S.I., Lee K.H., Mun H.A., Kim H.S., Hwang S.W., Roh J.W., Yang D.J., Shin W.H.,
Li X.S., Lee Y.H., Snyder G.J., Kim S.W., Science,348, 109 (2015)

Jo S., Kim H.-S., Kim Y., Kim S.-I., Lee K.H., J. Alloys Compd,884, 161030 (2021)

Yang Y., Kim T.W., Hong S., An J., Kim S.-I., Korean J. Met. Mater,58, 721 (2020)

Lim Y.S., Park B.G., Lee G.-G., Korean J. Met. Mater,60, 463 (2022)

Lim Y.S., Lee S., Korean J. Met. Mater,55, 651 (2017)

Jang K.-W., Kim H.-J., Jung W.-J., Kim I.-H., Korean J. Met. Mater,56, 66 (2018)

Tamaki H., Sato H. K., Kanno T., Adv. Mater,28, 10182 (2016)

Shuai J., Mao J., Song S., Zhu Q., Sun J., Wang Y., He R., Zhou J., Chen G., Singh
D.J., Ren Z., Energy Environ. Sci,10, 799 (2017)

Shu R., Zhou Y., Wang Q., Han Z., Zhu Y., Liu Y., Chen Y., Gu M., Xu W., Wang Y.,
Zhang W., Huang L., Liu W., Adv. Funct. Mater,29, 1807235 (2019)

Imasato K., Kang S.D., Snyder G.J., Energy Environ. Sci,12, 965 (2019)

Mao J., Zhu H., Ding Z., Liu Z., Gamage G.A., Chen G., Ren Z., Science,365, 6452 (2019)

Chen X., Wu H., Cui J., Xiao Y., Zhang Y., He J., Chen Y., Cao J., Cai W., Pennycook
S.J., Liu Z., Zhao L.-D., Sui J., Nano Energy,52, 246 (2018)

Xu C., Liang Z., Shang H., Wang D., Wang H., Ding F., Mao J., Ren Z., Mater. Today
Phys,17, 100336 (2021)

Ying P., He R., Mao J., Zhang Q., Reith H., Sui J., Ren Z., Nielsch K., Schierning
G., Nat. Commun,12, 1121 (2021)

Imasato K., Wood M., Kuo J.J., Snyder G.J., J. Mater. Chem. A,6, 19941 (2018)

Xia C., Cui J., Chen Y., J. Materiomics,6, 274 (2020)

Shi X., Zhang X., Ganose A., Park J., Sun C., Chen Z., Lin S., Li W., Jain A., Pei
Y., Mater. Today Phys,18, 100362 (2021)

Zhang J., Song L., Pedersen S.H., Yin H., Hung L.T., Iversen B.B., Nat. Commun,8,
13901 (2017)

Zhang J., Song L., Mamakhel A., J rgensen M.R.V., Iversen B.B., Chem. Mater,29, 5371
(2017)

Zhang J., Song L., Borup K.A., J rgensen M.R.V., Iversen B.B., Adv. Energy Mater,8,
1702776 (2018)

Zhang F., Chen C., Yao H., Bai F., Yin L., Li X., Li S., Xue W., Wang Y., Cao F.,
Liu X., Sui J., Zhang Q., Adv. Funct. Mater,30, 1906143 (2020)

Gorai P., Toberer E.S., Stevanovic V., J. Appl. Phys,125, 025105 (2019)

Wang Y., Zhang X., Liu Y., Wang Y., Liu H., Zhang J., J. Materiomics,6, 216 (2020)

Gorai P., Ortiz B.R., Toberer E.S., Stevanovic V., J. Mater. Chem. A,6, 13806 (2018)

Shi X., Zhao T., Zhang X., Sun C., Chen Z., Lin S., Li W., Gu H., Pei Y., Adv. Mater,31,
1903387 (2019)

Shi X., Sun C., Zhang X., Chen Z., Lin S., Li W., Pei Y., Chem. Mater,31, 8987 (2019)

Zhang F., Chen C., Li S., Yin L., Yu B., Sui J., Cao F., Liu X., Ren Z., Zhang Q.,
Adv. Electron. Mater,6, 1901391 (2020)

Li J., Jia F., Zhang S., Zheng S., Wang B., Chen L., Lu G., Wu L., J. Mater. Chem.
A,7, 19316 (2019)

Mao J., Shuai J., Song S., Wu Y., Dally R., Zhou J., Liu Z., Sun J., Zhang Q., dela
Cruz C., Wilson S., Pei Y., Singh D.J., Chen G., Chu C.-Wu, Ren Z., PNAS,114, 10548
(2017)

Joo S.-J., Son J.-H., Jang J., Min B.-K., Kim B.-S., Korean J. Met. Mater,61, 437
(2023)

Kim H.-S., Gibbs Z.M., Tang Y., Wang H., Snyder G.J., APL Mater,3, 041506 (2015)

Radha S., Mani J., Rajkumar R., Arivanandhan M., Jayavel R., Anbalagan G., Mat. Sci.
Semicond,165, 107674 (2023)

Figures
Fig. 1.
XRD patterns from the as-sintered Mg3La0.005MnxSbBi samples.
Fig. 2.
Temperature dependence of electrical conductivity of the Mg3La0.005MnxSbBi samples.
Fig. 3.
Hall electron concentration and electron mobility vs. Mn content x.
Fig. 4.
Temperature dependence of (a) Seebeck coefficients and (b) power factor of the Mg3La0.005MnxSbBi samples
Fig. 5.
Temperature dependence of (a) total thermal conductivity and (b) {lattice + bipolar}
thermal conductivity of the Mg3La0.005MnxSbBi samples.
Fig. 6.
Figures of merit (zT) of the Mg3La0.005MnxSbBi samples vs. temperature.