이준하
(Joonha Lee)
1a
박현진
(Hyunjin Park)
1a
김정연
(Jeong-Yeon Kim)
1
서원선
(Won-Seon Seo)
2
양희선
(Heesun Yang)
3
Umut Aydemir
(Umut Aydemir)
4
김세윤
(Se Yun Kim)
5*
신원호
(Weon Ho Shin)
6*
김현식
(Hyun-Sik Kim)
1*
-
서울시립대학교 신소재공학과
(1Department of Materials Science and Engineering, University of Seoul, Seoul 02504
Republic of Korea)
-
연세대학교 신소재공학과
(2Department of Materials Science and Engineering, Yonsei University, Seoul 03722, Republic of Korea)
-
홍익대학교 신소재공학과
(3Department of Materials Science and Engineering, Hongik University, Seoul 04066, Republic of Korea)
-
코치대학교 화학과
(4Department of Chemistry, Koҫ University, Istanbul 34450, Turkiye)
-
경상국립대학교 나노·신소재공학부
(5School of Materials Science and Engineering, Gyeongsang National University, Jinju
52828, Republic of Korea)
-
광운대학교 전자재료공학과
(6Department of Electronic Materials Engineering, Kwangwoon University, Seoul 01897,
Republic of Korea)
Copyright © 2023 The Korean Institute of Metals and Materials
Key words
SnTe, Single Parabolic Band model, density-of-states effective mass, non-degenerate mobility, weighted mobility
1. 서 론
UN이 발표한 지속가능발전목표에 따르면 13번째로 기후변화와 그로 인한 영향에 긴급하게 대응하는 것을 목표로 하고 있다(‘Climate Action’)
[1]. 기후변화 문제는 전 세계적으로 함께 풀어야 할 전 지구적인 문제이며 이를 해결하기 위한 방안 중 하나는 친환경 에너지원의 개발이다. 다양한 친환경
에너지원들이 있지만 열전 발전은 지속가능한 에너지 하베스팅 기술 중 하나로 폐열에서 전기를 생성할 수 있는 유망한 기술로 현재 많은 연구가 이루어지고
있다[2,3]. 열전 발전 기술은 반도체 소재 내 온도 차이로 전압을 유도(전하의 이동)하는 제벡 효과를 이용한 것으로, 이 기술이 더 널리 활용되기 위해서는
열전 발전 소자의 효율을 높여 다른 신재생 에너지 하베스팅 기술 대비 경쟁력을 높여야 한다[4]. 열전 발전 기술은 재료집약적인 분야로 소자의 효율을 높이기 위해서는 소자에 적용되는 소재의 열전성능을 증대시켜야 한다[5].
열전소재의 성능은 열전성능지수(zT)에 따라 결정되며, 이는 소재가 열을 전기로 바꾸는 정량적인 능력의 지표를 의미하며 다음의 식으로 정의된다[6-8].
여기서 S는 제벡계수, σ는 전기전도도, T는 절대온도, κe 와 κl은 각각 전하에 의한 열전도도 기여분 및 격자열전도도이다. zT를 향상시키기 위해서는 S2σ (=Power factor(PF))를 향상시키거나, κe와 κl의 합으로 정의되는 전체 열전도도(κ)를 감소시켜야 한다[9]. 하지만, S와 σ 간의 전하농도 변화에 따른 상충관계는 PF 향상을 어렵게 한다. 또한, κe를 낮추려는 노력은 σ와 PF의 감소로 이어질 수 있다[10,11]. 따라서, zT 향상을 위한 대표적인 연구방법 으로는 밴드구조 제어를 통해 σ의 감소 없이 상태밀도 유효질량(md*)의 증가로 S를 향상시키는 방법(PF의 증가)과 결정구조의 복잡성 증가 및 나노구조화 전략 등을 통해 κl을 선택적으로 감소시키는 방법이 있다[12]. κl은 zT 내 다른 인자(parameter)에 영향을 주지 않으면서 낮출 수 있는 유일한 인자이기 때문에, 포논 산란에 의한 κl 감소는 가장 확실한 zT 증대 전략 중 하나이다.
현재 열전 발전 소자를 활용한 기술은 기존 열전소재 내 포함된 독성을 지닌 원소가 다른 무독성 원소로 대체되거나, 소자의 낮은 열-전기 변환 효율을
극복하기 전까지는 여러 응용 분야에서 대규모로 사용되기 어렵다[13,14]. 그러므로 새로운 친환경, 고효율 열전소재의 개발이 시급하다. 연구 중인 여러 열전소재 중 SnTe는 독성이 낮은 소재를 사용한다는 점과, PbTe와
동일한 rock salt 구조를 나타내기 때문에 격자 및 전자구조 제어가 가능하다고 알려져 있어 가장 유망한 lead-free 열전소재 대안 중 하나로
연구되고 있다[15,16]. 도핑이 되지 않은 순수 SnTe는 다이렉트 갭 반도체(Eg = 0.18 eV)로 좁은 밴드갭 및 높은 결함 농도로 PbTe에 비해 열전성능이 낮다[17,18]. SnTe의 낮은 열전성능은 주로 많은 수의 Sn 공공(높은 전하 농도, nH=1020~1021cm3)으로 인한 낮은 S와, 높은 열전도도 때문이라고 알려져 있다[19-21].
SnTe의 낮은 열전성능을 극복하기 위해 Tan et al.은 In도핑을 통해 SnTe의 가전자대 내부에 resonant state를 유도함으로써 저온에서 상당히 개선된 S를 보고했다[22]. 그 외에도, 두 가전자대의 수렴(band convergence) 및 도핑(Hg, Mn, 및 Cd)을 통한 밴드갭 증가를 통해 SnTe의 S를 향상할 수 있다[12,16,23,24]. SnTe의 PF 증대 뿐 아니라, SnTe 화합물의 κl을 낮추기 위한 노력도 이루어졌다. 예를 들어, CdS, HgTe 및 ZnS와 같은 나노입자를 SnTe에 도입하여 나노입자에 의한 포논 산란으로 κl을 감소시키는 연구들이 이루어졌다[18,25]. 2016년 Zhou et al.은 SnTe 열전소재에 Bi 원소를 도핑함으로써 넓은 온도 범위에서 S가 증가하고, 동시에 κl이 크게 감소되는 결과를 보고하였다. Bi 도핑량이 4 at.% 이상일 때, SnTe 내 Bi 원소의 도핑한계에 도달하게 되고, 도핑한계 이상으로
추가한 Bi 원소는 SnTe 격자 내 침전된다. 도핑 및 침전된 Bi 원소는 SnTe의 전기 및 열 전달 특성을 제어하는 데 중요한 역할을 했다.
Bi 원소의 SnTe 내 도핑/침전의 효과로 873 K에서 1.1의 최대 zT(조성: Sn0.94Bi0.06Te)를 달성할 수 있었으며, 도핑되지 않은 순수 SnTe와 비교하여 zT가 약 165 % 향상되었다[26]. 하지만 Bi 도핑으로 인한 SnTe의 전기적 밴드 인자 변화에 대한 연구는 현재까지 보고된 바가 없다.
따라서, 본 연구에서는 Bi 도핑이 SnTe 열전소재의 밴드 인자에 미치는 영향을 고찰하였다. S, σ, κe, PF, 및 zT와 같이 소재의 전하농도에 따라 변하는 인자와 달리, 밴드 인자는 소재 고유의 특성을 직접적으로 반영하기 때문에 Bi 도핑 효과를 더욱 명확하게 판단할
수 있다. Zhou et al.의 기존 연구 결과를 기반으로 300K에서 Sn1-xBixTe (x=0, 0.02, 0.04, 0.06, 0.08)의 밴드 인자인 상태밀도 유효 질량(md*), 비축퇴이동도(μ0), 가중이동도(μw) 및 B-factor를 Single Parabolic Band(SPB) 모델을 통해 계산했다[26]. Bi 도핑이 각각의 밴드 인자에 미치는 영향을 분석하고, 계산된 밴드 인자들을 통해 원소가 도핑된 SnTe 소재 내에서 얻을 수 있는 가장 높은
이론 zT 및 이 zT를 구현할 수 있는 이론 전하농도를 제시하였다.
2. 실험 방법
SPB 모델은 소재의 밴드가 단일 포물선의 형태로 나타난다는 가정을 바탕으로 밴드 인자를 해석하는 모델로 각각의 밴드 인자는 다음의 과정을 통해 계산되었다.
제벡계수(S)는 아래의 식으로 표현할 수 있다[10,27,28]. 여기서 kB, e, η, Fj(η)는 각각 볼츠만 상수, 전하량, 페르미 준위, 차수 j에 대한 페르미 적분이다(식 (3)) [10].
전하 농도(nH)는 η와 상태밀도 유효질량(md*)을 이용해 다음과 같이 표현할 수 있다[10]. 여기서 T와 h는 각각 절대온도와 플랑크 상수이다.
식 (2,3)에 따르면 S는 η에만 의존하므로 측정된 S값들을 이용하면 x에 따른 각각의 η를 추정할 수 있다. 추정된 η를 식 (4)에 대입하여 nH의 이론값과 실험값이 같아지도록 md*값을 피팅하면 x에 따른 각각의 md*를 계산할 수 있다.
μH는 비축퇴 이동도(μ0)와 η를 이용해 아래의 식으로 표현할 수 있다[10]. μH는 μ0와 η에 의존하므로 앞서 Bi 도핑량(x)에 따른 S 측정값을 통해 계산한 η를 식 (5)에 대입한 후, μH의 이론값과 실험값이 같아지도록 μ0값을 피팅하여 x에 따른 μ0변화를 계산하였다.
가중이동도 μw는 열전재료의 전기적 특성을 대변하는 밴드 인자로 μ0에 md*의 가중치를 준 형태인 아래의 식으로 정의할 수 있다[29].
B-factor는 아래의 식 (7)과 같이 정의된다[10].
격자 열전도도(κl)은 아래 식 (8)을 이용해 계산하였으며[10], 전체 열전도도(κ)는 Zhou et al.의 실험 결과를[26], κe는 식 (9)를 이용하여 산출하였다.
3. 결과 및 고찰
그림 1(a)의 도형(filled symbol)은 Zhou et al.이 보고한 Bi 도핑량(x= 0 0.08)에 따른 Sn1-xBixTe의 nH 및 S의 변화를 나타낸다[26]. x가 증가할수록 nH는 감소하고 S는 증가하는 경향을 볼 수 있다. Bi 도핑량(x)에 따른 md*의 변화를 분석하기 위해 Single Parabolic Band(SPB) 모델을 이용하여 기존 실험결과(filled symbol)에 md*를 피팅하였다. md*는 SPB 모델을 이용하여 계산할 수 있는 열전소재의 주요 밴드 인자들 중 하나이며, 전자 밴드 구조 및 전자 상태 밀도와 같은 소재의 물리적 속성을
설명하는 데 사용된다. md*를 피팅하여 계산한 nH변화에 따른 S는 그림 1(a) 내 실선(solid line)으로 표시하였다. 그림 1(a) 에서 피팅한 md*는 그림 1(b)에 도형(empty symbol)로 표시하였다. 그림 1(b)에 따르면 Bi 도핑량이 증가할수록(x= 0 - 0.08) md*가 증가하는 경향을 관찰할 수 있다. 가장 높은 md*(~0.66 m0)을 가지는 Sn0.92Bi0.08Te의 경우 모상 SnTe의 md*(~0.18 m0) 대비 약 3.6배 높은 결과를 보였다(m0 는 전자의 정지 질량(electron rest mass)임).
그림 1(c)의 도형(filled symbol)은 Zhou et al.이 실험 결과로 보고한 x에 따른 Sn1-xBixTe의 μH를 nH에 대하여 표현한 것이다[26]. 실험적으로 x가 증가할수록 μH가 감소하는 경향이 나타났다. 식 (4,5)를 이용하여 기존에 x 변화에 따라 피팅한 md*를 고정한 상태에서, μH실험결과에 μ0를 피팅하였다. μ0는 페르미 준위가 가전자대 또는 전도대에서 상당히 분리된 상태 즉, 축퇴되지 않은 상태에서의 전하의 이동도를 나타낸다. SPB 모델 해석에서 μ0는 결함이나 불순물로 인한 산란 현상이 없을 때의 전하의 이동성을 나타낸다. 따라서 μ0는 재료의 고유의 이동도를 대변하는 밴드 인자로 재료의 기본적인 전하 이동 특성을 이해하는 데 중요하다. 그림 1(b)에 나타낸 x에 따른 md*에 새롭게 피팅한 μ0로 계산한 nH에 따른 μH 계산결과를 그림 1(c)에 실선으로 나타냈다. 그림 1(c)의 실선을 계산하는데 사용된 피팅된 μ0 값은 그림 1(d)에 나타냈다. 그림 1(d) 에 따르면, Bi 도핑량이 증가할수록(x= 0 - 0.08) μ0가 감소하는 경향을 볼 수 있다. 예를 들어, Bi를 도핑하지 않은 샘플(x= 0.0)은 μ0 값으로 1688 cm2s-1V-1의 큰 값을 가지는 반면 Bi 도핑량이 가장 많은 Sn0.92Bi0.08Te 샘플 (x= 0.08)의 경우 μ0가 234.5 cm2s-1V-1까지 감소하는 것을 볼 수 있다.
만약, x 증가에 따라 md*의 변화가 작았다면, x 증가에 따른 μ0감소로부터(그림 1(d)) x의 증가가 포논과 전하 간의 상호작용을 강화시킨다고 주장할 수 있었을 것이다. 하지만 μ0는 포논과 전하의 상호작용을 직접적으로 나타내는 deformation 포텐셜(Edef)과 md*에 동시에 연관되어 있다(μ0 ~ Edef-2 × md*-5/2). x 증가에 따른 md*의 변화를 고려할 경우, x 증가에 따른 μ0의 감소에도 불구하고 x= 0.08 샘플의 Edef는 x= 0.0 샘플의 Edef 대비 약 0.5배 작았다. 결국, Bi 도핑량의 증가는 SnTe 내 포논과 전하간의 상호작용을 약화시킨 것을 알 수 있다. 보통 포논-전하간 상호작용의
감소는 증가로 이어진다. 하지만 SnTe에 Bi를 도핑하는 경우, md*가 동시에 급격하게 증가하기 때문에 포논-전하간의 상호작용의 감소에도 불구하고 μ0는 감소하는 것으로 분석되었다.
그림 2에는 Sn1-xBixTe의 열전특성 중 전기전도도(σ), 로렌츠 수(L), 전자열전도도(κe)를 나타내었다. σ는 아래의 식으로 표현할 수 있다[10]. 여기서 e는 전자의 전하량이다.
그림 2(a)는 그림 1에서 계산한 x에 따른 md*와 μ0에 기반하여 SPB 모델로 예측한 nH에 따른 σ를 각각의 x에 대해 나타낸 것이다 (실선). 이에 더하여, nH에 따른 σ 실험값을 도형(filled symbol)으로 표시하였다[26]. 그림 1(c)에서 x의 증가에 따라 μH와 nH가 동시에 감소하는 것을 볼 수 있는데, μH와 nH의 곱에 비례하는 σ 역시, x 증가에 따라 감소하는 것을 관찰할 수 있다. 그림 2(b)는 그림 2(a)에 실선으로 나타낸 SPB 계산 결과 중 각 샘플(x)의 nH측정값에 상응하는 이론 σ를 x에 대해 정리한 결과이다. 계산 결과와 실험값을 구분하기 위해 그림 2(a) 내 σ 실험값은 filled 도형을 사용했지만, 그림 2(b) 내 σ 계산값은 open 도형을 사용하였다. 그림 2(a)의 σ 실험값과 그림 2(b)의 σ 계산값이 거의 동일한 것을 통해, 그림 1에서 실험결과에 피팅한 md*와 μ0밴드 인자가 소재의 특성을 잘 반영한다는 것을 확인할 수 있다. 그림 2(b)에 따르면, x=0.08 샘플의 σ가 순수 SnTe(x=0.0) 샘플 대비 약 88 % 감소한 것을 볼 수 있다 (8700→ 1000 Scm-1). Bi 도핑량 증가에 따른 σ 감소는 Bi 도핑량이 증가함에 따라 μH와 nH이 동시에 감소하기 때문이다. x 증가에 따른 μH감소는 Edef 감소를 상쇄시킬 만큼의 md* 증가에 기인한다고 앞서 설명한 바 있다. 이에 더하여, x 증가에 따른 md* 증가(그림 1(b))에도 불구하고 nH가 감소하는 이유는 x 증가로 인한 페르미 준위(η)의 감소 때문으로 해석될 수 있다.
그림 2(c)와 2(d)는 Bi 도핑량에 따른 로렌츠 넘버(L)의 변화를 분석한 것이다. SPB 모델에 따르면 L은 아래의 식으로 표현할 수 있다[10].
식 (11)에 따르면 L은 η에만 의존하는 함수인 것을 알 수 있다. L과 유사하게 η에만 의존하는 S로부터 η를 역으로 계산해낼 수 있다 (식 (2)). 따라서 그림 1(a)에 실선으로 표시된 nH에 대한 S 계산값으로부터 nH에 따른 η를 계산하고, 그 결과를 식 (10)에 대입하여 Bi 도핑량에 따른 L 계산값을 nH에 대하여 나타내었다 (그림 2(c)). 동일한 nH에서 x가 증가함에 따라 L이 감소하는 것을 관찰할 수 있다. 그림 2(d)는 그림 2(c)에서 계산한 nH에 따른 L 중 각 샘플(x)의 nH측정값에 상응하는 이론 L을 x에 대해 정리한 결과이다. x가 증가함에 따라 L이 선형적으로 감소하는 것을 볼 수 있다. 이는 또한 x 증가에 따른 η의 감소를 간접적으로 보여준다 (md* 증가에도 nH가 감소하는 이유).
마지막으로, 그림 2(e)와 2(f)는 κe에 대한 분석 결과를 나타낸 것이다. κe는 아래의 식으로 나타낼 수 있다[10].
앞서 SPB 모델을 이용하여 계산한 σ와 L을 식 (12)에 대입하여 각각의 Bi 도핑 함량에 대해 nH에 따른 이론 κe를 그림 2(e)에 실선으로 나타내었다 (Zhou et al.에서 보고한 κe 실험값을 filled 도형으로 함께 표시하였다) [26]. 이론 κe(실선)에 따르면 x와 상관없이 모든 샘플들에서 nH가 증가함에 따라 이론 κe 역시 증가하는 것을 관찰할 수 있다. 이는 nH증가에 대하여 이론 σ(그림 2(a))와 L(그림 2(c)) 모두 증가하는 것에 기인한다 (식 (11)). 그림 2(e) 내 이론 κe (실선) 중 각 샘플의 실험 nH에 상응하는 이론 κe를 x에 대하여 따로 그림 2(f)에 나타내었다. 그림 2(f)에 따르면, Bi 도핑량이 증가할수록 κe가 감소하는 것을 확인할 수 있다. x 증가에 따라 이론 σ(그림 2(b))와 L(그림 2(d))이 모두 감소하기 때문에 x 증가에 따라 이론 κe 또한 감소하는 것으로 분석된다.
그림 3(a)는 식 (6)을 이용하여 계산한 Sn1-xBixTe의 가중이동도(Weighted mobility,)를 x에 대해 나타낸 것이다. μw는 그림 1(b)의 md*와 그림 1(d)의 μ0를 이용해 계산하였다. x= 0.02(~185 cm2s-1V-1), x= 0.04(~169 cm2s-1V-1) 일 때, 다른 샘플들에 비해 상대적으로 높은 μw가 나타났다. x 증가에 따라 md*가 증가하는 반면, μ0는 감소하는 경향을 그림 1에서 확인한 바 있다. md*의 증가분 대비, μ0의 감소분이 더욱 크기 때문에 μw는 x= 0.02 샘플에서 최고값을 달성한 후 x > 0.02 샘플들에서는 계속 감소하는 것을 관찰할 수 있다. 위에서 설명한 것처럼 μw는 소재의 이론 최대 PF와 직접적으로 연관되어 있다. 다시 말해, μw가 가장 큰 x= 0.02 샘플에서 nH가 최적으로 맞춰질 경우, 다른 Sn1-xBixTe 샘플 대비 가장 높은 PF를 나타낼 것으로 예상할 수 있다.
그림 3(b)의 실선은 그림 3(a)에서 계산한 μW를 기반으로 SPB 모델을 이용해 nH변화에 따른 이론 PF (= S2σ)를 각각의 x에 대해 나타낸 것이다. 계산된 μw가 가장 낮은 x= 0.06 샘플의 경우 (μW= 120 cm2s-1V-1), 이론 최대 PF 또한 ~36 μWcm-1K-2로 낮다. 하지만 계산된 μW가 가장 높은 x= 0.02 샘플의 경우 (μW= 185 cm2s-1V-1), 이론 최대 PF 또한 ~55 μWcm-1K-2로 가장 높았다. 하지만 Zhou et al. 보고한 Sn1-xBixTe의 PF 실험값에 따르면 (그림 3(b) 내 filled 도형), PF 실험값이 이론 PF와 큰 차이가 있는 것을 확인할 수 있다. 예를 들어, Zhou et al. 은 x= 0.02 샘플의 300 K PF로 17 μWcm-1K-2를 보고하였다. 하지만 추가적인 도핑을 통해 x= 0.02 샘플의 실험 nH를 6× 1018 cm-3로 튜닝한다면 약 3.2 배의 PF 증대를 기대할 수 있다 (17 → 55 μWcm-1K-2).
그림 3(c)에는 열전재료의 zT와 직접적으로 연관이 있는 밴드 인자인 B-factor를 Bi 도핑량(x)에 대해 나타내었다 (식 (7)). 식 (7)에 따르면 B-factor는 μW와 κl간의 비율에 비례하는 것을 볼 수 있다. 그림 3(c)의 B-factor는 x 증가에 따라 선형적으로 증가하는 것을 볼 수 있다. 단, x= 0.02 샘플의 경우, B-factor가 x= 0.0, x= 0.04 샘플들의 Bfactor 대비 높은 것을 확인할 수 있다. B-factor의 이러한 경향은 μW와 κl의 x 증가에 따른 경향으로 설명될 수 있다. x= 0.02 샘플의 B-factor가 x 증가에 따른 선형적인 B-factor 증가 경향에서 벗어나서 x= 0.04 샘플의 B-factor 보다 높은 이유는 x= 0.02 샘플의 μW가 다른 x 대비 가장 높았기 때문이다. 그 외 x > 0.04 영역에서 x 증가에 따라 B-factor가 증가한 이유는 그림 3(d)에 나타낸 κl가 x > 0.04 영역에서 x 증가에 따라 급격하게 감소하기 때문이다. 그림 3(d)의 κl는 Zhou et al.이 보고한 전체 열전도도(κ) 측정값에서 SPB 모델로 계산한 κe (그림 2(f))를 제하여 계산하였다[26]. Bi 도핑량이 x= 0.0에서 0.04까지 증가할 때 κl의 변화량은 미미한 것을 관찰할 수 있다. 하지만 x > 0.04 영역에서 x 증가에 따른 κl감소가 급격하게 일어나는 것을 볼 수 있다. x= 0.04 일 때, ~1.8 Wm-1K-1 이던 κl가 x= 0.08 일 때 약 1.13 Wm-1K-1 까지 약 37 % 감소한다.
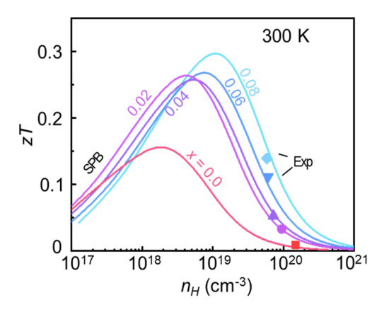
그림 4는 그림 3(c)에서 계산한 B-factor를 기반으로 SPB 모델로 계산한 nH에 따른 이론 zT 변화(실전)와 Zhou et al.이 보고한 zT 측정값(filled 모양)을 보여준다. 그림 3(c)에 나타낸 x에 따른 B-factor 값과 그림 4에 나타낸 이론 zT 최대값과 비례하는 것을 확인할 수 있다. 다시 말해, B-factor가 가장 낮은 x= 0.0 샘플(Bfactor = 0.05)의 경우, 이론 zT 최대값 또한 약 0.15로 x 중 가장 낮았다. 하지만, 그림 3(c)에서 B-factor가 가장 높았던 x= 0.08 샘플(B-factor = 0.075)의 경우, 이론 zT 최대값 또한 약 0.31로 여러 x 중 가장 높다. 그림 4에 따르면, SnTe에 Bi를 도핑하면 순수 SnTe 대비 향상된 zT를 얻을 수 있다 (300K). x= 0.02, 0.04인 경우 높은 μw의 영향으로 향상된 zT가 나타났으며, x= 0.06, 0.08의 경우 크게 감소된 κl의 영향으로 향상된 zT가 나타났다 (그림 3). 이론적으로 300 K에서 얻을 수 있는 zT의 최댓값은 0.311(x= 0.08)로 계산되었으며, x= 0.02, 0.04, 0.06 역시 각각 0.275, 0.268, 0.280으로 x= 0.0 (zT = 0.160)에 비해 높은 이론 최대 zT값을 보였다. Zhou et al.의 실험 zT값(filled 모양)과 SPB 모델 결과를 비교해보면 x= 0.08 샘플의 nH를 9.06 × 1018 cm-3까지 감소시켰을 때, 기존 실험 zT(= 0.139) 대비 약 2.2배 향상된 zT = 0.311를 달성할 것으로 예측되었다.
4. 결 론
본 연구에서는 Single Parabolic Band(SPB) 모델을 이용해 SnTe에 대한 Bi 도핑(x= 0.0 – 0.08)이 상태밀도 유효질량(md*), 비축퇴이동도(μ0), 가중이동도(μw), B-factor와 같은 밴드 인자들에 미치는 영향을 고찰하였다. SnTe에 대한 Bi 도핑은 md*를 증가시키고 μ0를 감소시켰다. 그 결과, x= 0.02에서 가장 높은 μW(185 cm2s-1V-1)를 나타내는 것으로 계산되었다. 하지만, x 증가에 따른 격자열전도도 (κl) 감소로 B-factor의 경우, x= 0.02가 아닌 x= 0.08에서 가장 높게 계산되었다. B-factor를 기반으로 홀 전하농도 (nH)에 따른 이론 zT 또한 계산하였다. B-factor가 가장 높았던 x= 0.08 샘플의 이론 zT 최대값은 0.311로 다른 샘플들 대비 가장 높게 계산되었다. 이 이론 zT 최대값은 Zhou et al.이 보고한 x= 0.08 샘플의 zT 측정값 (zT = 0.160) 대비 약 2.2배 높았다. SPB 모델에 따르면 기존 x= 0.08 샘플의 nH를 9.06 × 1018 cm-3로 튜닝할 경우, 이론적으로 예측한 zT = 0.311을 300 K에서 도달할 수 있을 것으로 기대한다.
Acknowledgements
This work was supported by the Basic Study and Interdisciplinary R&D Foundation Fund
of the University of Seoul (2022) for Hyun-Sik Kim. This work was also financially
supported by Basic Science Research Program through the National Research Foundation
of Korea (NRF) funded by the Ministry of Education (NRF-2019R1A6A1A11055660, NRF2015R1A6A1A03031833)
for Won-Seon Seo and Heesun Yang. This work was also supported by the Technology Innovation
Program RS-2022-00154720 funded by the Ministry of Trade, Industry & Energy (MOTIE,
Korea) for Weon Ho Shin.
REFERENCES
Rahimifrad S., Trollman H., Int. J. Sustain. Eng,11, 1 (2018)

Bell L. E., Science,321, 1457 (2008)

Velders G. J. M., Ravishankara A. R., Miller M. K., Molina M. J., Alcamo J., Daniel
M. J., Fahey D. W., Montzka S. A., Reimann S., Science,335, 922 (2012)

Geballe T. H., Hull G. W., Phys. Rev,94, 1134 (2003)

Tan G., Ohta M., Kanatzidis M. G., Philos. Trans. R. Soc. London Ser. A,377, 20180450
(2019)

Snyder G. J., Toberer E. S., Nat. Mater,7, 105 (2008)

Shi X.-L., Zou J., Chen Z.-G., Rev,120, 7399 (2020)

Kim H. S., Liu W., Chen G., Chu C.-W., Ren Z., Prod. Natl. Acad. Sci. USA,112, 8205
(2015)

Kim H., Heinz N. A., Gibbs Z. M., Tang Y., Kang S. D., Snyder G. J., Mater. Today,20,
452 (2019)

Heo M., Kwon S.-H., Kim S.-i., Park H., Lee K.-H., Kim H.-S., J. Alloys Compd,954,
170144 (2023)

Park H., Kim S.-i., Kim J.-Y., Hwang S.-M., kim H.-S., Ceramics,6, 504 (2023)

Tang G., Zhao L., Shi F., Doak J. W., Lo S., Sun H., Wolverton C., Dravid V. P., Uher
C., Kanatzidis M. G., J. Am. Chem. Soc,136, 7006 (2014)

Kanatzidis , Dravid V. P., Kanatzidis M. G., Nature,508, 373 (2014)

Pei Y., Shi X., LaLonde A., Wang H., Snyder L. Chen G. J., Nature,473, 66 (2011)

Zhang Q., Liao B., Lan Y., Lukas K., Liu W., Esfarjani K., Opeil C., Broido D., Chen
G., Ren Z., Proc. Natl. Acad. Sci. U. S. A,110, 13261 (2013)

Tan G., Shi F., Hao S., Chi H., Bailey T. P., Zhao L., Uher C., Wolverton C., Dravid
V. P., Kanatzidis M. G., J. Am. Chem. Soc,137, 5100 (2015)

Banik A., Shenoy U. S., Anand S., Waghmare U. V., Biswas K., Chem. Mater,27, 581 (2015)

Wu H., Chang C., Feng D., Xiao Y., Zhang X., Pei Y., Zheng L., Wu D., Gong S., Chen
Y., He J., Kanatzidis M. G., Zhao L., Energy Environ. Sci,8, 267 (2015)

Nishitani J., Yu K. M., Walukiewicz W., Appl. Phys. Lett,105, 132103 (2014)

He J., Xu J., Liu G., Shao H., Tan X., Liu Z., Xu J., Jiang H., Jiang J., RSC Adv,6,
32189 (2016)

Novak M., Sasaki S., Kriener M., Segawa K., Ando Y., Phys. Rev. B,88, 140502 (2013)

Tan G., Zeier W. G., Shi F., Wang P., Snyder G. J., Dravid V. P., Kanatzidis M. G.,
Chem. Mater,27, 7801 (2015)

Zhao L., Zhang X., Wu H., Tan G., Pei Y., Xiao Y., Chang C., Wu D., Chi H., Zheng
L., Gong S., Uher C., He J., Kanatzidis M. G., J. Am. Chem. Soc,138, 2366 (2016)

Liang T., Su X., Tan X., Zheng G., She X., Yan Y., Tang X., Uherb C., J. Mater. Chem.
C,3, 8550 (2015)

Tan G., Shi F., Sun H., Zhao L., Uher C., Dravid V. P., Kanatzidis M. G., J. Mater.
Chem. A,2, 20849 (2014)

Zhou Z., Yang J., Jiang Q., Luo Y., Zhang D., Ren Y., He X., Xin J., J. Mater. Chem.
A,4, 13171 (2016)

Kim S.-i., Lim J.-C., Yang H., Kim H.-S., Korean J. Met. Mater,59, 54 (2021)

Kim S.-i., Kim H.-S., Korean J. Met. Mater,59, 127 (2021)

Snyder G. J., Snyder A. H., Wood M., Gurunathan R., Snyder B. H., Niu C., Adv. Mater,32,
2001537 (2020)

Figures
Fig. 1.
(a) Experimental (symbols from Ref. 26) and calculated (lines) S as a function of nH for Sn1-xBixTe (x = 0 - 0.08) at 300 K. (b) The md* calculated as a function of Bi doping content (x). (c) Experimental (symbols from Ref. 26) and calculated (lines) μH as a function of nH for different x. (d) The μ0 calculated as a function of x.
Fig. 2.
(a) Experimental (symbols from Ref. 26) and calculated (lines) σ as a function of nH for Sn1-xBixTe (x = 0 - 0.08) at 300 K. (b) The theoretical σ calculated as a function of Bi doping content (x). (c) Calculated (lines) L as a function of nH for different x. (d) The L calculated as a function of x. (e) Experimental (symbols from Ref. 26) and calculated (lines) κe as a function of nH for Sn1-xBixTe (x = 0 - 0.08) at 300 K. (f) Calculated κe as a function of x.
Fig. 3.
(a) Weighted mobility(μw) of Sn1-xBixTe(x = 0 - 0.08) calculated as a function of x at 300 K. (b) Experimental (symbols from Ref. 26) and calculated (lines) Power factor
(PF) as a function of nH for different x. (c) B-factor calculated as a function of x. (d) Lattice thermal conductivity (κl) calculated as a function of x.
Fig. 4.
Experimental (symbols from Ref. 26) and calculated (lines) nH-dependent zT for Sn1-xBixTe (x = 0 - 0.08) at 300 K.