The Journal of
the Korean Journal of Metals and Materials

The Journal of
the Korean Journal of Metals and Materials

Monthly
  • pISSN : 1738-8228
  • eISSN : 2288-8241

Editorial Office


  1. 한국전기연구원 전기변환소재연구센터 (Korea Electrotechnology Research Institute, Energy Conversion Research Center, Changwon 51543, Republic of Korea)



thermoelectric, Mg3SbBi, La doping, LaSb

1. 서 론

열전기술은 냉각기술과 발전기술로 구분할 수 있으며, 기계적 구동부가 없는 고상소자 기반의 기술로서 무소음 특성과 함께 장수명·고신뢰성의 장점을 지니고 있어, 기존의 타 기술 대비 상대적으로 낮은 효율에도 불구하고 고유의 활용분야를 확보하고 있다[1]. 최근에는 온실가스에 의한 기후변화 문제가 크게 부각되면서 폐열을 회수하는 열전발전기술에 대한 관심이 고조되어, 향후 추가적인 발전효율 향상이 이루어질 경우 화석연료 사용량 절감 및 에너지효율 향상에 일조할 것으로 기대되고 있다[2,3].

다양한 열전소재 중에서 Bi2Te3 기반의 소재는 냉각과 발전에 모두 활용되고 있으며, 실온-500 K의 저온대역에서 상용화되어 사용되고 있는 유일한 소재이다. Bi2Te3 소재는 1950년대에 개발된 이후로 지속적인 연구개발을 통해 소재특성이 향상되어 왔으며, 국내에서도 활발히 연구되고 있다[4-9]. 그러나 Bi2Te3는 가격이 높은 희귀원소인 Te을 다량 함유하고 있어, 소재의 저가화 및 대량생산에 근본적인 취약점을 지니고 있다.

이와 같은 상황에서 2016년 Mg3Sb2-xBix n형 소재가 일본 파나소닉사의 연구로 처음 보고되었고[10], 희귀하지 않은 원소로 구성된 소재로 저온대역에서 높은 열전특성을 얻을 수 있다는 결과들이 보고되면서 향후 n형 Bi2Te3 소재를 대체할 수 있는 유망한 소재로서 활발하게 연구되고 있다[11-19]. Mg3Sb2 및 Mg3Bi2 는 원래 p형 또는 금속성을 띠는 열전특성이 좋지 않은 소재였으나, 2016년에 Tamaki 등이 excess Mg 분위기 조성, Mg3Sb2와 Mg3Bi2의 alloying 및 Te 도핑을 추가하여 최초로 n형 다결정 소재를 구현하였으며, 700 K에서 무차원 성능지수 (zT) 최대값 1.5의 높은 열전특성을 보고한 바 있다[10].

Mg3Sb2-xBix 소재의 열전특성 향상을 위한 n형 도핑은 Sb 및 Bi를 Te, Se, S 등의 칼코겐 원소로 치환하는 방법이 먼저 연구되었고[10,20-23], 뒤이어 Mg를 Y, Sc 등 3족 원소 및 La족 계열의 원소로 치환하는 방식이 연구되었는데[17-19,24-30], 후자의 경우에서 소재의 전자농도 상승 및 열적 안정성이 향상되었다는 결과들이 보고되었다. 특히, Mg를 La로 치환할 경우 Te 및 Se 도핑에 비해 높은 전자농도에 도달할 수 있다는 이론적 계산연구가 발표된 바 있고[26], 실제로 Imasato 등의 실험결과에 의하면 Te 도핑에 비해 La 도핑된 Mg3Sb1.5Bi0.5의 도핑효율이 더 높았을 뿐 아니라 승온상태에서의 소재특성 열화현상도 완화되었다[17]. 따라서 3족 원소 및 La족 계열의 원소로 Mg를 치환하는 도핑기술에 대한 후속연구의 필요성이 증가하고 있다.

본 연구에서는 La이 도핑된 Mg3SbBi n형 소재를 합성하고 열전특성을 분석하였으며, La 도핑을 위해 대기중에서 쉽게 산화되는 La을 사용하지 않고 LaSb 화합물을 사용하여 La 도핑을 실시하였다. 아크멜팅(arc melting)으로 원료를 용융시킨 뒤 볼밀링, 소결공정을 거쳐 Mg3SbBi 소재를 합성하였으며, La 도핑농도에 대한 열전특성의 변화 양상을 관찰하였다.

2. 실험방법

La 도핑된 Mg 3 SbBi 소재를 합성하기 위하여 사용한 원료는 고순도의 Mg (5-25 mm turnings, 99.95%, Sigma Aldrich), Bi (1-12 mm pieces, 99.999%, Sigma Aldrich), Sb (ca. 2 mm grains, 99.999%, Kojundo Chemical), LaSb (lumps, 99.9%, Kojundo chemical) 였으며, 원료의 혼합비율은 소재 합성과정에서의 Mg 손실을 고려하여 몰비가 Mg : Sb : Bi : LaSb = 4 : 1-x : 1 : x (x = 0, 0.002, 0.005, 0.01, 0.02)가 되도록 Mg를 초과투여하여 칭량 및 혼합하였다. 상기의 혼합원료를 Ar 분위기에서 아크멜팅으로 2회 용융시킨 후 볼밀링을 실시하여 모합금을 분말상태로 만들었다 (PM-100, Retsch). 뒤이어 분말을 방전 플라즈마 소결장치(spark plasma sintering, Dr. Sinter, Fuji Electronic Industrial)에 장입한 후 923 K에서 5분간 소결을 실시하여 잉곳을 제작하였다.

제작된 Mg3LaxSbBi 잉곳은 wire saw로 절단가공하여 전기전도도 (σ), 제벡계수 (S), 열확산도 (a), 비열 (Cp) 등을 측정하였으며, 각각의 측정을 위해 ZEM-3 (Ulvac), LFA457 (Netzsch), DSC404 (Netzsch) 등의 상용장비를 사용하였다. 합성된 시편의 밀도 (d)는 아르키메데스법을 이용하여 측정하였고, 소재의 열전도도(κ)는 κ = adCp의 관계식으로부터 계산하였다. 그리고 소재의 상분석을 위해 X선 분석을 실시하였다 (X-Ray Diffraction, XRD, CuKα, X’Pert PRO MPD, Panalytical). 또한 물리적 특성 측정장치(physical property measurement system, PPMS, Quantum Design)를 사용하여 298 K에서 4단자 측정법(4-point probe measurement)으로 소결체의 전하농도를 구하였다.

3. 결과 및 고찰

그림 1은 Mg3LaxSbBi 소결체의 XRD 패턴을 나타낸 그래프이다. 그림 1 하단의 Mg3Sb2의 표준패턴 (ICSD#165386)과 일치하며, Mg3Sb2 이외의 다른 2차상으로 의심되는 peak은 관찰되지 않았다.

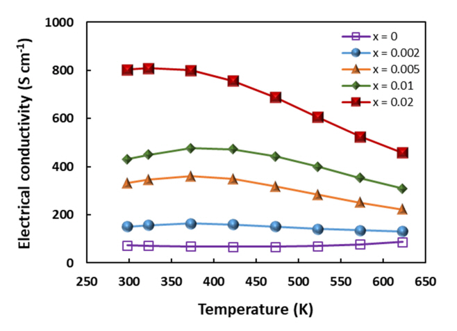
Mg3LaxSbBi 소결체의 전기전도도를 298-623 K 온도구간에서 측정한 결과를 그림 2에 나타냈다. La 함량 x가 증가함에 따라 순차적으로 샘플의 전기전도도가 증가하며, 가장 도핑농도가 높은 x = 0.02에서 최대 전기전도도는 ~808 S cm-1 (323 K)였다. La 도핑농도가 증가하면서 전기전도도가 온도 상승에 따라 점차 감소하는 방향으로 변해가는 것은 고농도로 도핑된 degenerate semiconductor 거동의 대표적인 특징이다.

그림 3은 PPMS를 이용하여 측정한 298 K에서의 전하 농도 및 전하이동도를 표시한 그래프이다. La으로 도핑되지 않은 Mg3LaxSbBi 소결체는 p형 극성을 보였으며, 홀농도는 약 1.7 × 1019 cm-3 이었다. La이 도핑되면서 n형으로 극성이 전환되었고, 그후 La 함량 x에 대하여 전자농도가 거의 선형적으로 증가하였다. 전자농도의 최대값은 x = 0.02에서 9.4 × 1019 cm-3 로 측정되었으며, La 함량을 더 증가시킬 경우 1 × 1020 cm-3 이상의 전자농도를 충분히 얻을 것으로 판단된다. 여기서 La을 사용하여 Mg3Sb2-xBix를 n형으로 도핑한 기존의 문헌들을 살펴보면, Imasato 등은 Mg3La0.03Sb1.5Bi0.5에 대하여 ~6.5 × 1019 cm-3 의 최대 도핑농도를 보고하였고, 전자농도와 La 첨가량은 선형적인 비례관계를 보이지 않고 포화되는 경향을 보였다[17]. 반면 Zhang 등은 Mg3La0.02Sb1.5Bi0.5에서 9.4 × 1019 cm-3 의 전자농도를 보고하였고, La 첨가량과 전자농도는 거의 직선적으로 비례하였다[29]. 따라서 본 연구에서 확인된 실험결과는 Zhang 등의 보고와 유사한 경향을 보이고 있다. Mg3Sb1.5Bi0.5의 열전특성 극대화를 위한 최적 도핑농도 범위가 (2-5) × 1019 cm-3 범위라고 알려진 것을 고려할 때[17,31], LaSb를 n형 도핑에 사용하는 방법은 Sb/Bi 혼합 비율 및 사용온도에 따라 가변되는 Mg3Sb2-xBix 소재의 최적 도핑농도를 안정적으로 만족시킬 수 있다고 판단된다.

그림 4 (a)는 Mg3LaxSbBi 소결체로부터 측정된 제벡계수의 온도의존성을 La 함량별로 표시하여 나타낸 그래프이다. Mg3SbBi 샘플은 제벡계수가 양의 값을 나타내므로 p형임이 확인되며, 이것은 그림 3 (a)의 홀 측정결과와 일치한다. 반면 La이 첨가된 샘플들은 모두 (-)의 제벡계수를 나타내어 n형임을 알 수 있고, La 함량이 증가할수록 제벡계수의 절대값은 감소함이 관찰된다. 이것은 기본적으로 제벡계수와 전하농도는 반비례 관계이기 때문이며, 식 (1)의 Pisarenko relation으로부터 확인할 수 있다[32]:

(1)
S = 8 π 2 k B 2 3 e h 2 m * T ( π 3 n ) 2 / 3 .

식 (1)에서 S는 제벡계수, kB 는 Boltzmann 상수, h는 Planck 상수, m*는 전하의 유효질량 (effective mass), T는 절대온도이고, n은 전하농도이다. 또한 상기 식 (1)에서는 Mg3LaxSbB의 밴드구조가 single parabolic band (SPB) 라고 가정하였다.

SPB 가정에 근거하여 한 발 더 나아가 본 연구에서 합성된 Mg3LaxSbBi 소결체에 대한 Pisarenko plot을 그려보면 그림 4 (b)와 같다. 흥미롭게도 이 실험결과는 La 함량이 증가함에 따라 전자의 유효질량이 0.8 me → 1.2 me로 증가하고 있음을 보여준다. 즉, La 도핑이 밴드구조에 변화를 유발하고 있음을 의미하는 것으로 해석되는데, 이것은 Mg3Sb1.5Bi0.5에 대한 실험에서La 도핑이 밴드구조에 거의 영향을 주지 않는다고 보고했던 Imasato 등의 연구결과와는 상반되는 경향을 보여주는 결과이다[17]. 소재의 Bi/Sb 혼합비율이 서로 달라서 단순비교는 어려우나 도핑에 의해 band edge의 구조가 달라질 가능성은 충분히 있으며, 근본원인을 규명하기 위해서는 시뮬레이션에 의한 밴드구조 계산이 필요하다.

그림 5는 Mg3LaxSbBi 소결체의 파워팩터를 표시한 그래프이다. 파워팩터는 열전발전의 출력의 척도이며, (전기전도도) × (제벡계수)2으로 계산된다. La 첨가량이 증가함에 따라 전반적으로 파워팩터가 상승하며, 도핑농도가 높은 샘플들에서 상대적으로 고온영역의 파워팩터가 더 크게 증가함을 볼 수 있다. 파워팩터의 최대값은 x = 0.02인 샘플에서 얻어졌으며, 523 – 573 K 구간에서 약 1.8 mW m-1K-2였다.

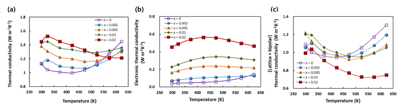
그림 6 (a)는 Mg3LaxSbBi 샘플들의 열전도도를 비교하여 나타낸 그래프이다. La 첨가량이 증가함에 따라 전체적으로 열전도도가 상승함을 알 수 있다. 이것은 La 첨가량이 증가함에 따라 전자농도가 증가하여 이로 인한 전자열전도도가 크게 증가하였기 때문이다. 소재의 열전도도 κ는격자열전도도(κlat), 전자열전도도 (κel), 그리고 양극성 전도 (bipolar conduction)에 의한 성분인 κbi로 구성되며, 식 (2)와 같이 표현된다:

(2)
κ = κ l a t + κ e l + κ b i .

한편, Wiedemann-Franz 법칙에 따르면, 전자열전도도 κel은 다음과 같이 구할 수 있다:

(3)
κ e l = L σ T .

식 (3)에서 L은 Lorenz number, ¥ò는 전기전도도, T는 절대온도이다. Lorenz number의 계산은 SPB 가정을 도입하여 이미 측정된 제벡계수로부터 계산을 통해 추출할 수 있는데, Lorenz number와 제벡계수는 Fermi-Dirac integral Fn(ξ)를 사용하여 아래와 같이 표현된다[33]:

(4)
S = ± k B e ( r + 5 2 ) F r + 3 2 ( ξ ) ( r + 3 2 ) F r + 1 2 ( ξ ) - ξ
(5)
L = k B e 2 ( r + 7 2 ) F r + 5 2 ξ ( r + 3 2 ) F r + 1 2 ξ - ( r + 5 2 ) F r + 3 2 ξ ( r + 3 2 ) F r + 1 2 ξ 2 ,
(6)
F n ξ = 0 x n 1 + e x - ξ d x   0.

식 (4)-(6)에서, r은 scattering parameter, ξ는 reduced Fermi energy (=EF/kT)이다. 포논산란의 주된 기전이 acoustic phonon scattering이라고 가정하면 r = -1/2이 되며, 이에 따라 ξ를 제벡계수 S로부터 계산하여 Lorenz number 계산에 적용할 수 있다. 그림 6 (b)는 이와 같은 방법으로 계산해낸 전자열전도도이며, 예상대로 La 도핑이 증가함에 따라 전 온도범위에서 상승함을 보여주고 있다.

그림 6 (c)는 식 (2)를 적용하여 계산한 {격자열전도도 + 양극성 열전도도}로서, La 도핑이 증가할 때 저온대역에서는 정체 또는 소폭 상승하는 반면, 상대적으로 고온대역에서는 큰 폭으로 감소하는 현상이 관찰된다. 특히, x = 0.01에서 0.02로 La 함량이 증가할 때 고온대역에서의 감소가 두드러지며, 또한 x = 0.02를 제외한 나머지 샘플들에서는 열전도도가 최저값을 나타낸 후 다시 상승하는 포물선 모양을 뚜렷하게 나타내고 있다. 승온상태에서 대부분의 결정질 소재의 격자열전도도가 T-1 온도의존성을 보이고, 특히 Mg3Sb2에서는 이론적으로 T-0.48, 실험적으로는 T-0.57의 온도의존성이 보고되고 있음을 고려할 때[34], 그림 6 (c)의 포물선형 온도의존성 거동은 온도가 상승할수록 격자열전도도 이외에 양극성 전도에 의한 열전도도가 중요하게 기여하고 있음을 의미한다. 양극성 전도는 온도 상승에 의한 열적 여기(thermal excitation)로 인하여 전자-정공쌍이 활발하게 생성될 때 발현되며, Mg3SbBi는 밴드 갭이 약 0.2 eV로 작기 때문에[35] 상대적으로 저온에서도 양극성 전도가 일어나서 열전특성을 저하시키게 된다. 양극성 전도를 줄이기 위해서는 소재의 밴드갭을 크게 하거나 majority carrier의 농도를 증가시키는 방법을 사용하게 되는데[36], 그림 6 (c)에서는 La 함량을 증가시켜 majority carrier 인 전자의 농도를 증가시킴에 따라 ~500 K 이상에서의 열전도도가 감소하는 경향을 보이고 있으며, 이로부터 두 번째 방법의 효과를 확인할 수 있다. x = 0.02인 샘플에서는 고농도 La도핑에 의해 양극성 전도의 영향이 크게 감소한 것으로 보이며, 양극성 전도를 무시할 수 있다고 가정할 경우 본 연구를 통해 합성된 Mg3LaxSbBi 샘플의 격자열전도도의 최저값은 523K에서 약 0.73 W m-1K-1로 얻어진다.

한편, 격자열전도도의 온도의존성에 대한 타 연구그룹의 논문을 살펴보면 F. Zhang 등이 본 실험결과와 매우 유사한 경향을 보고하였는데, Mg3.2-xLaxSb1.5Bi0.5에서 x = 0.015를 넘을 때 격자열전도도의 본격적인 감소가 시작되었으며, ~500 K 이상에서의 감소폭이 저온대역보다 더 컸다[29]. 반면, Imasato 등은 예상과는 달리 La 도핑에 의한 격자열전도도의 뚜렷한 감소를 관찰하지 못하였다고 보고한 바 있다[17]. 그림 6 (c)의 실험결과는 La 고농도 도핑에 의하여 격자열전도도가 ~500 K 이상의 온도대역을 중심으로 현저하게 감소하는 경향을 보여주며, 이것은 Mg와 La의 원자반경 및 원자량의 차이에 의하여 포논산란이 증가된 결과로 설명할 수 있다.

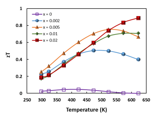
그림 7은 본 연구에서 합성된Mg3LaxSbBi 소재의 무차원 성능지수(dimensionless figure of merit) zT의 그래프이며, zT = (파워팩터 × 절대온도)/(열전도도)로 계산된다. La으로 도핑되지 않은 p형 소재는 매우 낮은 성능지수를 갖는 반면, La이 첨가된 n형 소재는 성능지수가 큰 폭으로 증가하며, 도핑농도가 증가할수록 점차로 더 높은 온도에서 최대값이 나타나는 것을 관찰할 수 있다. 이것은 앞서 설명한 바와 같이 양극성 전도가 발현되어 제벡계수 및 무차원 성능지수가 하락하기 시작하는 온도 Tm이 La 도핑이 증가함에 따라 상승하기 때문이다. 본 연구에서는 Mg3La0.02SbBi에서 최대의 성능지수를 얻을 수 있었으며, T = 623 K에서 0.89의 최대값을 확인하였다.

4. 결 론

본 연구에서는 LaSb 화합물을 이용하여 La 도핑된 n형 Mg3LaxSbBi (0 ≤ x ≤ 0.02) 열전소재를 합성하고 열전특성을 분석하였다. LaSb는 La 사용시와는 달리 산화 등 원료변질의 우려가 없어 안정적으로 소재합성이 가능하며, 실험 결과 LaSb 투입량과 Mg3LaxSbBi의 전자농도는 선형적으로 비례하였다. Mg3La0.02SbBi 소결체에서 최대 전자농도 9.4 × 1019 cm-3 를 확인하였고, 동일 샘플에서 파워팩터 최대값 1.8 mW m-1K-2 과 무차원 성능지수 0.89 를 얻었다. 또한 La 도핑에 의해 격자열전도도가 하락하는 부수적인 이득을 얻을 수 있음을 확인하였으며, Mg3La0.02SbBi에서 0.73 W m-1K-1의 최저값을 얻었다.

Acknowledgements

이 연구는 2023년도 정부(과학기술정보통신부)의 재원으로 국가과학기술연구회의 지원을 받아 수행 중인 한국전기연구원 기본사업의 성과물임 (No.23A01031).

REFERENCES

1 
Bell L. E., Science,321, 1457 (2008)Google Search
2 
Araiz M., Casi Á., Catalán L., Martínez Á., Astrain D., Energy Convers. Manag,205, 112376 (2020)Google Search
3 
Tohidi F., Holagh S. G., Chitsaz A., Appl. Therm. Eng,201, 117793 (2022)Google Search
4 
Kim S. I., Lee K. H., Mun H. A., Kim H. S., Hwang S. W., Roh J. W., Yang D. J., Shin W. H., Li X. S., Lee Y. H., Snyder G. J., Kim S. W., Science,348, 109 (2015)Google Search
5 
Jo S., Kim H.-S., Kim Y., Kim S.-I., Lee K. H., J. Alloys Compd,884, 161030 (2021)Google Search
6 
Yang Y., Kim T.W., Hong S., An J., Kim S.-I., Korean J. Met. Mater,58, 721 (2020)Google Search
7 
Lim Y. S., Park B. G., Lee G.-G., Korean J. Met. Mater,60, 463 (2022)Google Search
8 
Lim Y. S., Lee S., Korean J. Met. Mater,55, 651 (2017)Google Search
9 
Jang K.-W., Kim H.-J., Jung W.-J., Kim I.-H., Korean J. Met. Mater,56, 66 (2018)Google Search
10 
Tamaki H., Sato H. K., Kanno T., Adv. Mater,28, 10182 (2016)Google Search
11 
Shu R., Zhou Y., Wang Q., Han Z., Zhu Y., Liu Y., Chen Y., Gu M., Xu W., Wang Y., Zhang W., Huang L., Liu W., Adv. Funct. Mater,29, 1807235 (2019)Google Search
12 
Mao J., Zhu H., Ding Z., Liu Z., Gamage G. A., Chen G., Ren Z., Science,365, 6452 (2019)Google Search
13 
Chen X., Wu H., Cui J., Xiao Y., Zhang Y., He J., Chen Y., Cao J., Cai W., Pennycook S. J., Liu Z., Zhao L.-D., Sui J., Nano Energy,52, 246 (2018)Google Search
14 
Imasato K., Kang S. D., Snyder G. J., Energy Environ. Sci,12, 965 (2019)Google Search
15 
Xu C., Liang Z., Shang H., Wang D., Wang H., Ding F., Mao J., Ren Z., Mater. Today Phys,17, 100336 (2021)Google Search
16 
Ying P., He R., Mao J., Zhang Q., Reith H., Sui J., Ren Z., Nielsch K., Schierning G., Nat. Commun,12, 1121 (2021)Google Search
17 
Imasato K., Wood M., Kuo J. J., Snyder G. J., J. Mater. Chem. A,6, 19941 (2018)Google Search
18 
Xia C., Cui J., Chen Y., J. Materiomics,6, 274 (2020)Google Search
19 
Shi X., Zhang X., Ganose A., Park J., Sun C., Chen Z., Lin S., Li W., Jain A., Pei Y., Mater. Today Phys,18, 100362 (2021)Google Search
20 
Zhang J., Song L., Pedersen S.H., Yin H., Hung L. T., Iversen B. B., Nat. Commun,8, 13901 (2017)Google Search
21 
Zhang J., Song L., Mamakhel A., Jørgensen M. R. V., Iversen B. B., Chem. Mater,29, 5371 (2017)Google Search
22 
Zhang J., Song L., Borup K. A., Jørgensen M. R. V., Iversen B. B., Adv. Energy Mater,8, 1702776 (2018)Google Search
23 
Zhang F., Chen C., Yao H., Bai F., Yin L., Li X., Li S., Xue W., Wang Y., Cao F., Liu X., Sui J., Zhang Q., Adv. Funct. Mater,30, 1906143 (2020)Google Search
24 
Gorai P., Toberer E.S., Stevanovic V., J. Appl. Phys,125, 025105 (2019)Google Search
25 
Wang Y., Zhang X., Liu Y., Wang Y., Liu H., Zhang J., J. Materiomics,6, 216 (2020)Google Search
26 
Gorai P., Ortiz B. R., Toberer E. S., Stevanovic V., J. Mater. Chem. A,6, 13806 (2018)Google Search
27 
Shi X., Zhao T., Zhang X., Sun C., Chen Z., Lin S., Li W., Gu H., Pei Y., Adv. Mater,31, 1903387 (2019)Google Search
28 
Shi X., Sun C., Zhang X., Chen Z., Lin S., Li W., Pei Y., Chem. Mater,31, 8987 (2019)Google Search
29 
Zhang F., Chen C., Li S., Yin L., Yu B., Sui J., Cao F., Liu X., Ren Z., Zhang Q., Adv. Electron. Mater,6, 1901391 (2020)Google Search
30 
Li J., Jia F., Zhang S., Zheng S., Wang B., Chen L., Lu G., Wu L., J. Mater. Chem. A,7, 19316 (2019)Google Search
31 
Li A., Fu C., Zhao X., Zhu T., Research,1934848 (2020)Google Search
32 
Zhu J., Zhang X., Guo M., Li J., Hu J., Cai S., Cai W., Zhang Y., Sui J., NPJ Comput. Mater,7, 116 (2021)Google Search
33 
Goldsmid H. J., Introduction to thermoelectricity,23-41, Springer-Verlag (2010)Google Search
34 
Zhu Y., Xia Y., Wang Y., Sheng Y., Yang J., Fu C., Li A., Zhu T., Luo J., Wolverton C., Snyder G. J., Liu J., Zhang W., Research,4589786 (2020)Google Search
35 
Imasato K., Kang S.D., Ohno S., Snyder G.J., Mater. Horiz,5, 59 (2018)Google Search
36 
Kim H.-S., Lee K.H., Kim S.-I., J. Mater. Res. Technol,14, 639 (2021)Google Search

Figures

Fig. 1.

XRD patterns from the as-sintered Mg3LaxSbBi samples.

../../Resources/kim/KJMM.2023.61/kjmm-2023-61-6-437f1.jpg
Fig. 2.

Temperature dependence of electrical conductivity of the Mg3LaxSbBi samples.

../../Resources/kim/KJMM.2023.61/kjmm-2023-61-6-437f2.jpg
Fig. 3.

(a) The carrier concentration vs. x in Mg3LaxSbBi, and (b) the Hall mobility vs. electron concentration in Mg3LaxSbBi.

../../Resources/kim/KJMM.2023.61/kjmm-2023-61-6-437f3.jpg
Fig. 4.

(a) Temperature dependence of Seebeck coefficients of the Mg3LaxSbBi samples, and (b) Pisarenko plot at 298 K.

../../Resources/kim/KJMM.2023.61/kjmm-2023-61-6-437f4.jpg
Fig. 5.

Temperature dependence of power factor of the Mg3LaxSbBi samples.

../../Resources/kim/KJMM.2023.61/kjmm-2023-61-6-437f5.jpg
Fig. 6.

Temperature dependence of (a) total thermal conductivity, (b) electronic thermal conductivity, and (c) {lattice + bipolar} thermal conductivity of the Mg3LaxSbBi samples.

../../Resources/kim/KJMM.2023.61/kjmm-2023-61-6-437f6.jpg
Fig. 7.

Figures of merit (zT) of the Mg3LaxSbBi samples vs. temperature.

../../Resources/kim/KJMM.2023.61/kjmm-2023-61-6-437f7.jpg