홍재영
(Jae-Young Hong)
1
박병남
(Byoung-Nam Park)
1*
-
홍익대학교 공과대학 신소재공학과
(Department of Material Science & Engineering, Hongik University, Seoul 04066, Republic of Korea)
Copyright © 2023 The Korean Institute of Metals and Materials
Key words
EPD, MAX, pseudocapacitive behavior, Mxene
1. 서 론
리튬 이온 배터리(Li-ion batteries, LIBs)는 1991년 일본의 Sony Corporation에서 제작되어 현재 전하 수송과 재충전
가능한 에너지 저장 기술로써 크게 주목받고 있고, 지난 수십년간 그 개발과 발전을 지속해 왔다[1-2]. 현재 상용화 되어 있는 LIBs는 음극으로는 높은 전기 전기전도도와 충/방전 과정 중의 부피변화가 적은 흑연(graphite)을 사용하고 있으나
낮은 에너지 저장 밀도(~372 mAh/g)로 인해 다양한 나노 구조체의 음극 물질을 찾기 위한 시도가 꾸준히 진행되어왔다[3].
전이금속산화물을 포함하는 다양한 음극물질 중에서도 2011년에 Gogotsi에 의해 발견된 새로운 2차원 물질인 MXene이 LIBs 음극 물질로
크게 주목받고 있다[4-6]. MXene은 Mn+1XnTx(n 1~3)로 M은 전이금속(Ti, Sc, Cr, V, Nb, Ta, etc), X는 Carbon 또는 Nitrogen, Tx는 표면 작용기(-O, -OH, -F, etc)를 의미한다. MXene은 육방정계 구조로 높은 전기전도도와 넓은 비표면적을 통한 많은 active
site 보유 등의 장점을 가지고 있다. MXene은 MAX phase에서 HF나 HCL, LiF 등의 에칭제를 사용하여 “A”(Al, Si, etc)층을
제거함으로써 2차원 물질로 생성된다[7-8]. 2차원 MXene은 에너지/환경, 센싱 소자 등 여러 분야에서 다양하게 응용되고 있으며 그래핀, 전이금속 산화물을 포함하는 다양한 물질들과 나노
복합체를 형성하여 에너지 저장물질로 각광받고 있다. 반면 transition metal carbides, nitrides, carbonitrides로서의
층상구조를 가지고 있는 MXene의 전구체로서의 MAX phase는 금속과 세라믹을 포괄하는 물리적 특성을 가지고 있지만 소자로의 응용 연구는 MXene과
비교해 뒤처져 있다[9]. MAX phase의 산화 안정성, 높은 전기전도도 및 구조적 안정성을 고려할 때 LIBs 음극소재 로서의 활용가치는 충분하다고 판단된다.
본 연구에서는 ESS(Energy Storge System)등 에너지 저장매체로서 MAX(Ti3AlC2) phase의 배터리 전극으로서의 가능성을 탐색하고 리튬이온 확산 및 pseudocapacitive 전기화학적 거동을 조사하여 LIBs 음극물질로서의
전기화학적 성능을 평가하였다. 무엇보다도, 전극 증착 시스템으로 도전재(conductive agent)로 카본 블랙(Carbon Black)과 바인더로
Polyvinylidene fluoride(PVDF)와 같은 물질들을 전극물질에 첨가하여 전기화학적인 성능 향상을 목적으로 하는 슬러리 시스템이 아닌
전기 영동 증착법 (Electrophoretic Deposit ion, EPD)을 채택하였다. 첨가제를 사용하는 슬러리 제작법은 기본적으로 활물질과
첨가제 사이에 계면이 형성되어 활물질 고유의 전기화학적 성능을 평가하는데 제한이 있다. 본 연구에서는 새로이 주목받고 있는 첨가제 프리 (additive-free)
전극의 제작방법으로 AC 기반 EPD 증착을 통해 슬러리에 포함되어 있는 도전재 및 바인더의 영향을 제거하여 LIBs 음극으로서의 MAX phase
전극 자체의 충방전과 관련된 전기화학적 반응과 구조적 변화를 조사하였다[10-11].
2. 실험 방법
2.1. MAX(Ti3AlC2) 콜로이드 용액 제작
본 연구에서는 MAX(Ti3AlC2) phase 분말 미세화를 위하여 400 rpm에서 6시간 동안 건식 볼 밀링을 진행하였다. 볼 밀링 된 MAX(Ti3AlC2) powder(1 g)를 50 ml vial에 ethanol과 넣어 콜로이드 용액을 제작하였다. 제작된 콜로이드 용액을 ultra sonicator를
통해 30분간 초음파 처리를 해주어 용액 내의 입자들을 잘 분산되게 하고, 좀 더 미세하고 균일한 크기로 파쇄시켜주어 그림 1(a)와 같이 AC EPD를 진행하였을 때 current collector 위에 그림 1(b)의 MAX (Ti3AlC2) phase 입자들이 고르고 균일한 박막을 형성할 수 있도록 하였다.
2.2. MAX(Ti3AlC2) 전극 제작
Ti3AlC2 전극은 EPD를 통하여 증착되었다. 황산(H2SO4)으로 에칭한 25 μm 두께의 구리 호일을 스테인리스 플레이트에 고정시키고 전기 영동 전원공급장치(Electrophoresis Power Supply)를
통해 교류전압 (200 V, 2 Hz)을 가하여 증착을 진행하였다. 증착 시간동안 전류 게이지가 0 ampere에서 유지되는 것을 확인하였으며 이는 콜로이드 용액 내의 MAX(Ti3AlC2) phase 입자들이 해리되거나 별도의 부가반응이 발생하지 않음을 의미한다. 증착 후 그림2(a)에서 보여지는 것과 같이 순수한 활물질이 구리 집전체
위에 증착된 것을 확인하였다. EPD를 진행하면서 생긴 전극에 있는 용매와 다른 불순물들을 제거하고 활물질과 집전체의 접촉저항을 낮추기 위하여 전극을
mini furnace 안에서 250 °C에서 1시간 동안 열처리하였다.
그림 2(b)는 집전체위에 EPD를 통해 증착된 MAX(Ti3AlC2) 박막의 SEM 이미지로서 입자들이 집전체 위에 조밀하게 성장되어 있음을 확인할 수 있다. 또한 그림 2(b), (c)에서 ~10 µm 사이즈의 MAX crystallites들이 수마이크로 범위에서 균일하게 증착되어 있음을 확인하였다.
2.3. 코인 셀 제작
MAX (Ti3AlC2) phase의 배터리 충방전과 관련된 전기화학적 성능과 특성을 확인하기 위하여 CR 2032 코인 셀을 제작하였다[12]. 리튬 금속을 기준전극 및 상대 전극, 제작한 MAX(Ti3AlC2) phase 전극을 작동전극으로 하고, ethylene carbonate (EC)와 diethyl carbonate (DEC)를 1:1로 혼합한
1M 농도의 육불화인산리튬염 (LiPF6) 용액을 전해질로 사용하여 제작하였다. 제작 후 open circuit voltage가 1.79V임을 확인하였고 12시간동안 글러브 박스에서 보관하여
평형상태에 도달하였음을 확인한 후 배터리 충/방전 및 electrochemical impedance spectroscopy (EIS), cyclic
voltammetry (CV) 측정을 진행하였다. 배터리 충방전 및 EIS 측정은 배터리 충방전기(BTS, Neware) 및 potentiostat
(Corrtest)을 통해 진행되었다.
3. 결과 및 고찰
증착된 MAX(Ti3AlC2) phase의 구조적 분석은 그림 3의 XRD 패턴을 통해 수행되었으며 층상 육방정계 구조와 일치하는 것을 확인하였다(JCPDS No. 52-0875) [13-14]. Debye-Scherrer method를 통해 (002)픽에서 계산된 crystallite size는 19 nm였으며 이를 통해 작은 crystallites들이
응집되어 수 마이크론 사이즈의 aggregate를 형성하여 EPD 박막으로 증착되어 있음을 알 수 있다.
MAX(Ti3AlC2) phase의 리튬 삽입 및 탈리와 관련된 전기화학적 반응은 그림 4의 배터리 충/방전 테스트를 통해 분석되었다[15]. 그림 4(a)는 첫번째 사이클에서 150 mAh/g의 높은 방전용량을 보여주고 있으며 이후 75~86 mAh/g의 안정적인 충/방전 용량을 보여주고 있다. 그림 4(b)의 voltage profile 및 그림 4(c)의 dQ/dV 플롯을 통해 방전(Cathodic Reaction)과정 에서는 0.7 V, 1.6 V, 충전(Anodic Reaction)과정에서는
1.4 V, 2.4 V에서 각각 리튬의 삽입 및 탈리와 관련된 전기화학반응이 나타나고 있음을 확인하였다[16].
MAX(Ti3AlC2)의 충/방전 속도에 따른 사이클 안정성 및 가역성을 조사하기 위하여 그림 4(d)와 같이 C-rate을 10 C-rate (10C)까지 단계적으로 증가시킨 후 초기의 0.1C로 감소시켰다. 용량 그래프에서 나타나듯이 2C, 5C,
10C의 높은 C-rate에서 진행되는 동안에도 용량이 크게 감소하지 않았으며 0.1C로 돌아왔을 때, 초기의 동일한 속도에서의 비용량과 비슷한 수준으로
복귀되었다. 이는 MAX phase에서 가역적인 리튬 삽입 및 탈리를 통한 충/방전이 진행되고 있음을 보여준다.
충방전과 관련된 전기화학적 반응은 그림 5(a)에서의 CV 플롯을 통해 확인할 수 있다[17-18]. 첫번째 방전구간에서는 0.7, 1.1 V 주변에서 환원픽이 발생하였고 이는 solid electrolyte interphase(SEI)형성 및
타이타늄 산화물의 리튬 이온에 의한 환원과정에 각각 기인한 것으로 알려져 있다. 이어지는 1.4~1.5 V 에서의 환원픽은 MAX(Ti3AlC2)의 산화에 기인한다. 무엇보다도 중요한 것은 MAX(Ti3AlC2) phase로부터 Ti3C2 MXene 층으로의 delamination 현상과 연관된 2.5 V 주변에서의 픽이 관찰되었다는 것이다. 이는 충방전 사이클이 진행됨에 따라 2차원
Ti3C2 MXene 층의 형성이 진행되는 것으로 해석될 수 있다. 해당 픽에서의 전류밀도가 사이클에 따라 점차 증가할 뿐만 아니라 픽의 모양이 sharp해지는
현상이 본 연구진의 해석을 뒷받침해주는 증거라고 할 수 있다.
그림 4에서 보여진 MAX(Ti3AlC2) phase 전극의 사이클 안정성 및 가역성의 원인을 조사하기 위하여 리튬 삽입/탈리와 연관된 리튬 저장 메카니즘과 충방전 사이클에 따른 리튬 이온의
확산 계수 변화를 분석하였다[19]. 우선적으로, 그림 5(c)에서 관찰된 충방전 용량의 faradaic/non-faradaic 기여도를 정량화 하기 위하여 그림 5(b)에서 scan rate에 따른 CV 측정을 수행하였다[20-21]. 전류(i)와 scan rate(ν)의 관계를 통한 전하 저장 메커니즘은 식(1)로 나타낼 수 있다.
식(1)에서 a와 b값은 조정 가능한 매개변수로, 일반적으로 Li이온 확산을 포함하는 활물질의 전하 저장 변수들을 나타낸다. k1은 non-faradaic (surface capacitive component) 전류 비율을, k2는 faradaic (diffusive component) 전류 비율을 나타내고, b 값은 이에 대한 기여도를 나타낸다. 그림 5(c)에서 정량화된 faradaic, non-faradaic 성분들의 기여도는 그림 5(d), (e), (f), (g)의 각 scan rate별 CV 커브를 식(1)을 통해 산출한 것으로서, scan rate가 0.1mV/s에서 0.8mV/s로 증가함에 따라 faradaic
성분의 기여도가 낮아지고 non-faradaic 성분의 기여도가 44.9에서 69.6%로 점진적으로 증가함을 알 수 있다. 흥미로운 것은 낮은 scan
rate에서 faradaic 용량 기여도는 55.1%로 다른 나노 소재 음극물질들과 비교하였을 때 상대적으로 높은 수치를 보여주고 있다는 것이다.
이는 그림 4에서 보여준 MAX phase의 충/방전 용량의 우수한 사이클 안정성이 전해질/전극 계면의 산화/환원 반응과 밀접한 관련이 있음을 보여준다. 전극/전해질
계면에서의 산화 화원 반응에 이은 리튬의 MAX phase에서의 Li 이온의 확산 계수 (DLi+)는 그림 5(d), (e), (f), (g)의 각 scan rate(ν) 별 peak current(ip)를 통해 그림 6과 식(2)의 Randles-Sevcik 식을 통해 정량화 하였다[22].
Randles-Sevcik식에서 n은 redox 반응에서 전달되는 전자의 수, A는 전극의 면적, F는 패러데이 상수, C는 electrolyte의 몰농도, R은 기체상수, T는 온도를 의미한다. 식 (2)를 통해 충방전 과정에서 10-12cm2/s의 리튬이온 확산계수가 산출되었으며 이는 Mxene에서 보고되어진 10-10~10-9cm2/s 의 확산계수와 비교할 때 현저히 낮은 값에 해당한다.
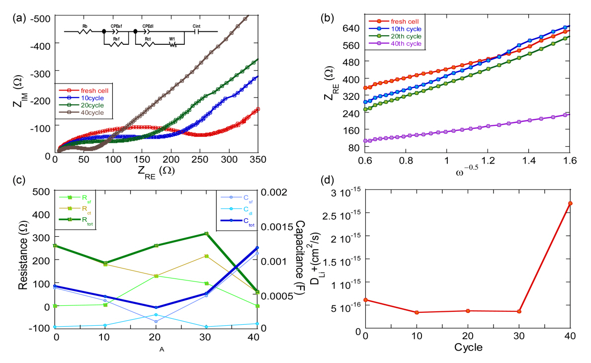
MAX phase/전해질 계면에서의 산화/환원 반응과 관련된 전하 전달 저항은 그림 7(a)에서의 EIS를 통해 측정되었다[23-24]. 그림 7(a)는 10-2~105Hz 주파수 영역에서 측정한 cycle 별 Nyquist plot을 나타낸다. 등가 회로에서 나타난 Rb는 bulk 영역에서의 저항에 해당하며 전해질과 형성된 SEI층 사이의 저항과 캐패시턴스 값이 각각 Rsf, CPEsf로 나타내었다. Rct와 CPEdl은 전하전달저항과 이중층에서의 캐패시턴스 값을 나타낸다. W1 성분은 느린 주파수 영역대에서 Li 이온의 확산으로 생기는 Warburg Impedance를
나타내고, Cint 는 매우 느린 주파수 영역대에서 물질전달 반응 속도의 한계로 인해 격자 외부에 쌓여 있는 Li 이온에 대한 캐패시턴스 값을 나타낸다[25]. 충방전 사이클이 진행됨에 따라 semi-circle의 직경이 작아지며 이는 Rct 값의 감소를 의미한다[26]. 사이클이 증가됨에 따라 Rsf가 유지되고 전극/전해질 계면에서 전하전달저항의 감소와 함께 전체 저항(Rtot)이 감소한다는 것은 전극/전해질 계면에서의 사이클에 따른 전하전달 저항 및 산화 환원 반응을 통한 리튬이온의 삽입 및 탈리가 용이해짐을 의미한다.
그림 5(c)에서 증명된 faradaic reaction의 상대적인 높은 기여도와 일치하는 결과라고 할 수 있다. 더불어 그림 7(c)에서 나타난 사이클 증가에 따른 전체 커패시턴스(Ctot)의 증가는 pseudocapacitive 거동의 활성화를 의미하며 충방전 사이클 안정성 증가의 이유에 대한 중요한 힌트를 제시해준다고 볼 수 있다.
EIS를 통해 산출된 충방전 사이클에 따른 리튬이온 확산 계수의 변화는 그림 7(d)에서 확인할 수 있다. 그림 7(b)에서 느린 주파수 영역에서 각 주파수에 따른 Impedance 실수부(ZRE)의 변화를 통해 리튬이온 확산계수가 식 (3), (4)를 이용하여 계산되었다[27].
식 (3)은 계면에서 물질전달이 발생했을 경우의 확산과 관련 있는 Warburg Impedance 성분을 나타냈다.
Warburg Impedance 성분은 확산에 의거한 Faradaic 전류로 회로에서 전하전달저항 성분인 Rct와 직렬로 구성되어 있다. 식(3)을 통해 구한 Warburg Coefficient(σω)를 통해 식(4)를 이용하여 사이클 증가에 따른 리튬 이온 확산계수를 도출하였다.
그림 7(d)에서 보여지는 것과 같이 30사이클까지의 충방전을 통한 리튬이온의 확산계수는 일정하게 유지되었다. 무엇보다 흥미로운 것은 30사이클 이후 확산계수가
7배이상 현저히 증가하였다는 것이다. 그림 4(d)의 C-rate에 따른 충방전 사이클 테스트를 통해 확인된 MAX phase전극의 우수한 사이클 안정성 및 전기화학적 가역성은 전기화학적 반응에 따른
pseudocapacitive 거동과 더불어 전해질/전극 계면에서의 전하 전달 저항 감소에 따른 faradaic reaction의 활성화가 주된 원인으로
생각된다.
그림 4(d)에서 60사이클의 충방전후 다시 0.1C로 돌아왔을 때 비용량에 있어서 초기의 값보다 더 증가된 값으로 복귀했다. 이는 충/방전 사이클을 통한 pseudocapacitive
거동의 활성화와 더불어 전하전달과 관련된 kinetic 메커니즘의 변화에 의한 것이라고 판단된다. 그림 7(d)에서 확인된 30사이클 이후 확산 계수의 비약적인 증가가 이를 뒷받침해준다고 할 수 있다.
위에서 언급한 kinetic 메커니즘의 변화를 이끌어온구조적 변화는 그림 5(a)에서 언급한 MAX(Ti3AlC2) phase로부터 MXene(Ti3C2)층으로의 delamination현상에 의해 야기되어진다고 본 연구진은 판단하고 있다. 다시 말해 충방전에 따른 Mxene nanosheet layer
구조와 3차원 Max phase의 공존은 faradaic 성분에 의한 산화/환원 반응과 관련된 전하 전달 저항의 감소 및 이어지는 리튬이온의 전극
내에서의 확산 계수의 증가를 야기하였다고 판단된다. 그림 7(c)에서 확인된 Ctot의 증가와 연계된 pseudocapacitive 거동의 활성화 역시 직접적인 사이클 안정성 및 전기화학적 가역성의 원인임을 알 수 있다.
2차원 MXene 재료 전극의 리튬이온 확산계수와 비교하였을 때 현저히 낮은 확산계수는 MXene precursor로서 갖는 재료 내부 구조적 결함과
전극 증착공정에서 야기되는 morphology와 연관이 있다고 판단된다. EIS를 통해 구한 Li이온의 확산계수가 CV를 통해 구한 Li이온의 확산계수보다
대략 103~104배 정도 작게 나타나는 것은, 충/방전 과정에서의 true diffusion constant(single phase)와 apparent diffusion
constant(two phase region)의 차이에서 비롯된 것으로 판단된다. Two phase region에서는 상의 내부에서 그리고 상과
상간의 확산 계수를 평균화한 값이므로 상의 분포에 따라 확산 계수의 차이는 발생할 수 있다. 확산 계수의 절대적인 수치의 현저한 차이는 리튬이 포함된
전극의 조성에 따라 상이할 수 있음은 많은 연구를 통하여 보고되어졌다. 그러나 본 연구에서도 확인된 사이클에 따른 확산 계수 증가의 경향 및 전하전달저항
감소 경향은 발표된 다른 많은 연구들과 일관된 경향을 보여주고 있다[28].
4. 결 론
본 연구에서는 최근 LIBs의 음극 재료로써 크게 주목받고 있는 MXene의 precursor인 MAX를 슬러리가 아닌 EPD를 통해 coin cell로
제작하여 첨가제의 영향을 배제하고 고유의 배터리 충방전과 관련된 전기화학적 특성을 평가하였다. 결과적으로, MAX를 음극재료로 사용한 배터리는 첫
방전에서 148.2 mAh/g의 비용량을 보여주었으며 또한 70사이클 동안의 high C-rate에서 나타난 높은 사이클 안정성 및 가역성은 pseudo-capacitive
거동에 따른 faradaic, non-faradaic 기여도의 활성화에 기인한다. 이는 사이클에 따른 계면에서의 전하전달 저항 감소 및 capacitance의
증가를 통해 확인하였으며 10C에서 0.1C로 복귀시에 보여준 높은 가역성의 원인이기도 하다. 또한 충방전 사이클을 통한 계면 반응에 따른 kinetic
메커니즘의 변화를 통해 pseudocapacitive 거동의 활성화를 확인하였다. 이러한 결과들은 MAX(Ti3AlC2)는 LIBs의 음극재료로서 유망함과 동시에 MAX 물질의 화학적 구조적 변화를 통해 배터리 연구분야에서 전기화학적 성질의 튜닝의 가능성을 보여준다.
Acknowledgements
이 논문은 과학기술정보통신부 (NRF-2020R1A2C1007258)와 교육부(2015R1A6A1A03031833)의 지원을 받아 수행된 연구입니다.
또한 2022학년도 홍익대학교 학술연구진흥비에 의하여 지원받아 수행된 연구이며, 이에 감사드립니다.
REFERENCES
Liu B., Zhang J. G., Xu W., Joule,2, 5, 833 (2018)

Li J., Kong Z., Liu X., Zheng B., Fan Q., Jin H., InfoMat,3, 12, 1333 (2021)

Buqa H., Goers D., Holzapfel M., Spahr M. E., Novák P., J. Electrochem. Soc,152, 2,
A474 (2005)

Naguib M., Come J., Dyatkin B., Presser V., Taberna P. L., Simon P., Gogotsi Y., Electrochem
commun,16, 1, 61 (2012)

Wu Z., Shang T., Deng Y., Tao Y., Yang Q. H., Adv. Sci,7, 7, 1903077 (2020)

Naguib M., Kurtoglu M., Presser V., Lu J., Niu J., Heon M., Barsoum M. W., Adv. Mater,23,
37, 4248 (2011)

Zhang J., Kong N., Uzun S., Levitt A., Seyedin S., Lynch P. A., Razal J. M., Adv.
Mater,32, 23, 2001093 (2020)

Tang X., Guo X., Wu W., Wang G., Adv. Energy Mater,8, 33, 1801897 (2018)

Sengupta A., Rao B. B., Sharma N., Parmar S., Chavan V., Singh S. K., Ogale S., Nanoscale,12,
15, 8466 (2020)

Lalau C. C., Low C. T. J., Batteries & supercaps,2, 6, 551 (2019)

Saidaminov M. I., Abdelhady A. L., Murali B., Alarousu E., Burlakov V. M., Peng W.,
Bakr O. M., Nat. Commun,6, 1, 1 (2015)

Rowden B., Garcia-Araez N., Energy Rep,7, 97 (2021)

Wang Y., Ma C., Ma W., Fan W., Sun Y., Yin H., Ding Y., Materials,6, 4, 045025 (2019)

Wang Z., Zhang H., Liu X., Jiang Y., Gao H., He Y., Mater. Chem. Phys,208, 85 (2018)

Xiao P., Jin N., Lin Z., Mater. Lett,9, 12, 516 (2021)

Fly A., Chen R., J Energy Storage,29, 101329 (2020)

Joho F., Rykart B., Blome A., Novák P., Wilhelm H., Spahr M. E., J. Power Sources,97,
78 (2001)

Ng S. H., Vix-Guterl C., Bernardo P., Tran N., Ufheil J., Buqa H., Novák P., Carbon,47,
3, 705 (2009)

Akiyama T., Oshiyama A., J. Phys. Soc. Japan,70, 6, 1627 (2001)

Kissinger P. T., Heineman W. R., J Chem Educ,60, 9, 702 (1983)

Mabbott G. A., J Chem Educ,60, 9, 697 (1983)

Kim T., Choi W., Shin H. C., Choi J. Y., Kim J. M., Park M. S., Yoon W. S., J. Electrochem.
Sci. Technol,11, 1, 14 (2020)

Zhai N. S., Li M. W., Wang W. L., Zhang D. L., Xu D. G., J Phys Conf Ser,48, 215 (2006)

Westerhoff U., Kurbach K., Lienesch F., Kurrat M., Energy Technol,4, 12, 1620 (2016)

Jow T. R., Marx M. B., Allen J. L., J. Electrochem. Soc,159, 5, A604 (2016)

Oldenburger M., Beduerftig B., Gruhle A., Grimsmann F., Richter E., Findeisen R.,
Hintennach A., J Energy Storage,21, 272 (2019)

Li J., Huang J., Li J., Cao L., Qi H., Cheng Y., Dang H., J. Alloys Compd,727, 998
(2017)

Tian B., Światowska J., Maurice V., Pereira-Nabais C., Seyeux A., Marcus P., J. Phys.
Chem. C,119, 2, 919 (2015)

Figures
Fig. 1.
(a) Schematic illustration of electrophoretic deposition of MAX(Ti3AlC2) onto 25 µm Cu foil. (b) Crystal structure of MAX(Ti3AlC2) phase.
Fig. 2.
SEM images of an electrophoretic-deposited MAX(Ti3AlC2) phase film on a Cu foil at (a) high and low magnifications/ The inset shows an optical
micrograph of an electrophoretic-deposited MAX(Ti3AlC2) phase film.
Fig. 3.
XRD of MAX (Ti3AlC2) powder
Fig. 4.
(a) Specific capacity of a MAX(Ti3AlC2)/Li coin cell as a function of cycle. (b) Voltage Profile at 0.1C-rate in the voltage
window between 0.1 and 3.0V. (c) Plot of dQ/dV at 0.1C-rate. (d) Specific capacity
at varying C-rate.
Fig. 5.
(a)Cyclic voltammetry (CV) curves at a scan rate of 0.1mV/s. (b)CV curves of MAX phase
at different scan rates. (c)Fraction of faradaic and non-faradaic contribution for
MAX phase at different scan rate. Faradaic contribution(red) at a scan rate of (d)0.1mV/s,
(e)0.3mV/s, (f)0.5mV/s and (g)0.8m/s.
Fig. 6.
Plot of peak current as a function of scan rate.
Fig. 7.
(a) Nyquist plots of MAX(Ti3AlC2) electrode at each cycle. (b) Z’ plotted against ω-0.5 at low frequency. (c) Resistance and capacitance at each cycle. (d) Diffusion coefficient
of Li ion at each cycle calculated by EIS.