송시정
(Si Jeong Song)
1
Viet Nhan Hoa Nguyen
(Viet Nhan Hoa Nguyen)
1
이만승
(Man Seung Lee)
1*
-
목포대학교 공과대학 신소재공학과
(Department of Advanced Materials Science & Engineering, Institute of Rare Metal, Mokpo
National University, Chonnam 58554, Republic of Korea)
Copyright © 2022 The Korean Institute of Metals and Materials
Key words
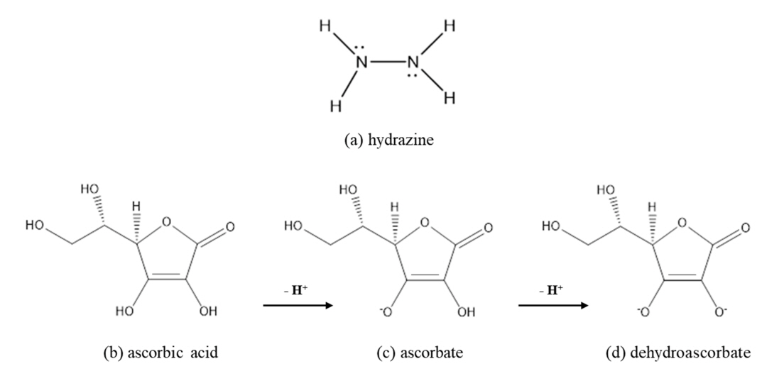
palladium, electroplating solution, reduction, hydrazine, ascorbic acid
1. 서 론
팔라듐은 우수한 수소투과 특성과 촉매능력으로 인해 수소의 분리 및 회수, 수소화와 탈수소화 반응, 초고순도 수소 생산을 위해 활용되고 있다[1-3]. 팔라듐은 고가이므로 팔라듐 분리막을 제조하기 위해 무전해도금을 통해 박막으로 도금한다. 팔라듐의 무전해 도금시 발생하는 회수액, 수세액 및 박리액
등의 도금폐액에는 미량의 팔라듐이 용해되어 있다. 도금폐액에서 팔라듐의 농도가 비교적 높은 경우 전해회수로 회수할 수 있으나 미량인 경우에는 주로
이온교환을 통해 회수한다. 그러나 이온교환법은 용액의 pH에 매우 민감하고, 다단식 흡착 및 세출이 필요하다는 단점이 있다[4]. 반면 치환(cementation)법은 이온화경향 차이를 이용해 단순히 아연금속분말을 도금폐액에 첨가함으로써 팔라듐이온을 금속형태로 농축할 수
있어 간단하다. 도금폐액에서 아연으로 치환된 팔라듐 금속은 진한 산으로 수회 세척한 후에도 내부에 미량의 아연이 잔존하고 있으므로, 고순도 팔라듐을
회수하기 위해서는 먼저 팔라듐 치환물을 침출해 아연과 분리해야 한다. 이 때 팔라듐 치환물은 염산과 과산화수소의 혼합용액이나 황산과 차아염소산나트륨의
혼합용액으로 완전히 침출할 수 있다[5].
상기 염산 또는 황산용액에 용해된 팔라듐과 아연이온을 용매추출 및 침전으로 분리하는 방법이 발표되었으며[6-9], 각 분리방법의 특징을 표 1에 정리했다. 용매추출에 의한 두 금속이온의 분리공정의 경우 상용화 추출제 또는 이온성 액체를 사용하여 팔라듐(II)을 선택적으로 추출하는 것이 가능하다.
그러나 팔라듐을 금속 및 화합물 형태로 회수하기 위해서는 먼저 유기상으로부터 팔라듐을 탈거해야 한다. 또한 침출액에 염화암모늄을 침전제로 첨가해 불용성의
(NH4)2PdCl6를 침전시키기 위해서는 팔라듐이온이 모두 팔라듐(IV)으로 존재해야 한다. 염산용액에서 팔라듐 금속의 팔라듐(II)과 팔라듐(IV)의 산화포텐셜을
다음에 나타냈다[10].
즉, 상기 산화포텐셜값을 보면 염산용액에서 팔라듐 금속이 팔라듐(II)으로 용해되어 PdCl42-로 존재하는 것이 팔라듐(IV)으로 용해되어 PdCl62-로 존재하는 것보다 열역학적인 측면에서 반응이 일어나려는 경향이 훨씬 크다. 또한 팔라듐(II)으로 용해되는 반응속도가 더 빠르므로 일반적인 침출조건에서는
팔라듐 금속이 팔라듐(II)으로 용해된다. 따라서 선택적 침전법을 이용하여 팔라듐(II)과 아연이온을 분리하기 위해서는 팔라듐이온을 팔라듐(IV)으로
산화시키는 단계가 추가로 필요하다. 선택적 침전법의 다른 단점으로는 (NH4)2PdCl6을 고온에서 하소시켜야 팔라듐 금속을 회수하는 것이 가능하다는 점이다.
선택적 침전법이 용매추출에 비해 아연과 팔라듐이온의 분리에 효율적이지만 상술한 바와 같이 침출용액에 산화제를 재첨가하여 팔라듐(II)을 팔라듐(IV)으로
산화시키고, 침 전물을 고온에서 하소하는 두 단계의 공정이 필요하다. 따라서 본 연구에서는 팔라듐(II)과 아연(II)이 용해된 염산과 황산 침출용액에서
팔라듐(II)을 환원시켜 아연(II)과 분리하면서 동시에 금속으로 회수하는 공정에 대해 조사하였다. 이러한 목적으로 환원제로 히드라진(hydrazine,
N2H4)과 아스코르브산(ascorbic acid, C6H8O6)을 사용했으며, 환원제와 팔라듐(II)의 당량비, 반응온도 및 시간을 변화시켜 금속환원에 의한 아연(II)과 팔라듐(II)의 분리 및 팔라듐(II)의
환원율 변화를 조사했다. 히드라진과 아스코르브산의 환원전위를 다음에 나타냈고, 각 환원제의 분자구조를 그림 1에 나타냈다.
상기식에서 C6H6O6은 dehydroascorbic acid를 나타낸다.
2. 실험재료 및 실험방법
2.1 실험재료
도금폐액에서 아연으로 치환된 팔라듐 금속은 국내 업체로부터 제공받았다. 팔라듐(II)의 선택적 환원실험에 사용된 침출용액은 아연치환물을 염산(HCl,
Daejung Co., 35%)과 과산화수소(H2O2, Daejung Chemical & Metals Co., > 30%), 황산(H2SO4, Daejung Co., 98%)과 차아염소산나트륨(NaClO, Sigma-Aldrich with available chlorine 10-15%)의
혼합용액에 침출시켜 준비했으며, 각각의 최적 침출조건은 이전 연구를 통해 구했다[5]. 아스코르브산을 사용한 환원실험에서 염산 및 황산 침출용액의 pH는 수산화나트륨(NaOH, Daejung Co., 97%)으로 조절했다. 환원제로는
히드라진수화물(N2H4 .H2O, Daejung Co., 80%)과 아스코르브산(C6H8O6, Samchun pure chemical Co., 99.5%)을 사용했으며, 본 연구에 사용된 모든 시약은 분석급으로 별도의 정제없이 사용했다.
2.2 실험방법
환원실험은 자석교반기에 20 mL의 침출용액이 담긴 100 mL 내용적의 반응조를 올려놓고, 온도를 조절한 다음 환원제를 첨가해 수행했다. 액체상태인
히드라진의 경우 300 rpm 이상에서 교반속도가 환원율에 큰 영향을 미치지 않으므로 교반속도를 300 rpm으로 고정했고[11], 분말형태의 아스코르브산의 경우 균일한 반응을 위해 교반속도를 700 rpm으로 고정했다. 또한 산도(acidity)를 낮출 목적으로 2차 증류수로
침출용액을 수회 희석했다. 반응시간 후 침전물과 여액을 여과지로 분리했으며, 최적조건에서 얻은 침전물에 대해 XRD (Bruker AXS, Karlsruhe,
Germany)분석을 수행했다. 여액에 남아있는 금속농도는 ICP-OES(Arcos, Spectro, Germany)로 측정했으며, 환원반응에 의한
금속의 환원율은 다음 식으로 구했다.
여기서 mini와 mr는 각각 환원반응 전후 수상에서 금속의 질량을 의미한다.
3. 결과 및 고찰
3.1. 히드라진 대 팔라듐 당량비 및 희석횟수의 영향
히드라진은 강력한 환원제이면서 저렴할 뿐만 아니라 반응 생성물이 질소가스와 물이므로 환원된 금속을 오염시킬 염려가 적다. 따라서 팔라듐(II)과 아연(II)이
함유되어있는 염산 및 황산 침출용액에서 두 금속의 분리를 위한 환원제로 히드라진을 사용했다. 그림 1 (a)의 히드라진의 분자구조를 보면, 히드라진의 N에는 비공유전자쌍이 존재하므로 산성용액에 첨가하면 수소이온과 산-염기반응에 의해 수소화되면서 N2H5+로 존재하며, 이를 다음에 나타냈다[12].
한편 식 (6)을 보면 N2H5+는 산성용액에서 환원제로 작용할 수 있으며, 산선용액에서 N2H5+에 의한 PdCl42-와 아연(II)의 환원반응을 다음에 나타냈다.
식 (11)의 표준환원전위 값은 산성용액에서 히드라진에 의한 아연(II)의 환원반응이 열역학적으로 일어나기 어렵다는 것을 말한다. 예비실험에서 7
M의 염산 및 5M의 황산 침출용액에 과량의 히드라진을 첨가하더라도 팔라듐(II)이 전혀 환원되지 않았다. 이는 식 (6)과 (9)를 이용하여 설명할
수 있다. 즉, 산성용액에서 히드라진이 환원제로 작용하기 위해서는 N2H5+에서 탈수소반응이 일어나야 하는데, 진한 염산이나 황산용액에서는 수소이온의 농도가 높으므로 N2H5+의 탈수소화반응이 일어나기 어렵기 때문에 PdCl42-의 환원 반응이 일어나지 않는다. 따라서 히드라진으로 팔라듐(II)을 환원시키기 위해서는 침출용액의 pH를 조절해야 한다.
본 연구에서는 침출용액의 pH를 증가시킬 목적으로 NaOH용액을 첨가하는 대신 2차 증류수로 희석하는 방법을 이용했다. 2차증류수와 침출용액의 부피비를
5에서 20배까지 변화시켰고, 희석비율에 따른 용액에서 팔라듐(II)과 아연(II)의 농도를 표 2에 정리했다. 또한 식 (10)에 의하면 2몰의 팔라듐(II)을 환원시키기 위해서는 1몰의 히드라진이 필요함을 알 수 있다. 따라서 히드라진 대 팔라듐(II)의
당량비를 1에서 9까지 변화시켜 실험을 진행했으며, 염산과 황산 침출용액에 대한 실험결과를 그림 2와 3에 나타냈다. 염산과 황산 침출용액 모두에서 희석배율과 히드라진 농도가 증가함에 따라 팔라듐(II)의 환원율이 증가했으나, 본 실험조건에서 아연(II)은
전혀 환원되지 않았다. 히드라진의 당량비가 증가함에 따라 팔라듐(II)의 환원율이 증가하는 것은 히드라진 농도 증가에 의한 정반응 촉진 및 약알칼리인
히드라진에 의해 용액의 pH가 약간 증가하기 때문인 것으로 판단된다. 그림 2의 7 M 염산 침출용액의 경우, 5배 희석용액에서는 팔라듐(II)이 거의 환원되지 않았으나, 10배 용액에서 히드라진의 당량비가 증가함에 따라 환원율이
급격히 증가했고, 15와 20배로 희석한 용액에서는 3당량비의 히드라진으로 각각 99.9%와 96.4%의 팔라듐(II)이 환원되었다. 다음으로 그림 3의 5 M 황산 침출용액에서는 7 M 염산용액과 달리 1당량비의 히드라진을 첨가했을 때 5배 희석용액에서도 83.9% 이상의 팔라듐(II)이 환원되었다.
이는 5 M 황산 용액의 pH가 7 M 염산 용액보다 낮기 때문인 것으로 판단된다. 그런데 히드라진의 당량비가 3으로 동일할 때, 염산용액에서는 희석횟수가
증가할수록 환원율이 증가했으나 황산용액에서는 오히려 감소하는 경향을 보였다. 이는 진한 황산에서는 수소이온의 해리가 적지만 용액을 희석할수록 수소이온의
해리도가 증가해 히드라진의 탈수소반응을 억제하기 때문인 것으로 생각된다.
히드라진 첨가에 의한 팔라듐(II)의 환원반응은 용액의 산도에 큰 영향을 받는다. 하지만 팔라듐(II)의 환원율을 향상시키기 위해 용액을 많이 희석할수록
용액 내 팔라듐(II)농도가 감소하고, 폐수발생량도 증가하는 단점이 있다. 따라서 팔라듐(II)의 농도를 최대한 유지하고 폐수발생량을 줄이기 위해서는
염산보다 황산 침출용액에서 팔라듐(II)을 환원시키는 것이 유리한 것으로 생각된다.
3.2. 반응온도 및 반응시간의 영향
3.2.1. 반응온도
3.1절에서 염산과 황산 침출용액에서 팔라듐(II)의 환원을 위한 최적조건을 구했다. 각각의 최적 희석횟수는 염산 용액의 경우 15배, 황산용액의
경우에는 5배였으며 이 때 히드라진의 최적 당량비는 3으로 동일했다. 이러한 최적 환원 조건에서 반응온도를 20에서 80 °C까지 변화시켜 팔라듐(II)의
환원율에 미치는 영향에 대해 조사한 결과를 그림 4와 5에 나타냈다. 염산 침출용액에서 반응온도가 20에서 60 °C로 증가함에 따라 팔라듐(II)의 환원율이 3.2%에서 99.9%로 급격히 증가했고,
60 °C 이상의 온도에서 팔라듐(II)은 완전히 환원되었다. 반면, 황산 침출용액에서는 반응온도에 관계없이 팔라듐(II)이 완전히 환원되었다. 염산용액에서
팔라듐(II)은 PdCl42-의 형태로 존재하며 리간드인 염소이온의 존재로 인해 Pd(II)에 비해 환원이 일어나기 어렵다. PdCl42-와 Pd(SO4)22-의 착물형성상수는 각각1.23×1013과 1.15×105로 황산용액에서 팔라듐(II)이 황산이온과 착물을 형성하지 않는 자유이온의 몰분율이 크므로[13] 상온에서도 쉽게 팔라듐 금속으로 환원되는 것으로 생각된다.
염산과 황산 침출액에서 최적의 환원을 위한 희석횟수가 각각 15와 5배이었다. 이와 같이 희석횟수가 다르면 팔라듐과 아연이온의 농도뿐 아니라 수소이온,
염소이온 및 N2H5+의 농도도 큰 폭으로 변한다. 식 (10)반응에 대한 실제 전위는 표준전위를 이용하여 다음과 같이 나타낼 수 있다.
즉, 희석횟수가 증가하여 수소이온과 염소이온의 농도는 감소하면서 N2H5+의 농도가 증가하는 조건에서 환원반응의 실제전위가 증가하므로 반응 구동력이 증가하게 된다.
3.2.2. 반응시간
염산 및 황산 침출용액에서 반응시간이 팔라듐(II)의 환원율에 미치는 영향을 조사하기 위해 반응시간을 5에서 30분까지 변화시켰으며, 결과를 그림 6과 7에 나타냈다. 그림 6의 염산 침출용액의 경우 반응시간이 5분에서 15분으로 증가함에 따라 팔라듐(II)의 환원율이 13.1에서 99.9%로 급격히 증가했으며, 그림 7의 황산 침출용액의 경우에는 반응시간에 관계없이 5분 이후에 팔라듐(II)이 완전히 환원되었다. 염산과 황산 침출용액에서 반응시간의 차이가 발생하는
것은 PdCl42-가 Pd(SO4)22-보다 열역학적으로 더 안정하므로 팔라듐(II)에 배위된 염소이온을 제거하는 것이 황산이온의 경우보다 어렵기 때문이다.
3.3. 아스코르브산 대 팔라듐 몰비의 영향
히드라진은 강력한 환원력과 값싼 가격으로 경제성이 우수하지만, 인체 호흡기 및 피부에 접촉시 독성으로 인해 작업자에게 유해하다. 반면 아스코르브산은
인체에 무해하고 친환경적이므로 히드라진의 대체제로 주목받고 있다. 그림 1에 나타낸 아스코르브산의 구조를 보면 히드라진과 달리 오각형의 분자구조에 수소이온이 부착되어 있어 금속이 온의 환원에 효과적이다[14,15]. 그러나 4개의 전자를 제공할 수 있는 히드라진과 달리 아스코브르산은 2개의 전자만 제공할 수 있으므로 상대적으로 환원력이 약하다. 또한 약산은
강산용액에서 해리되기 어려우므로 실험에 앞서 염산 및 황산 침출용액을 각각 20배로 희석한 다음 수산화나트륨용액으로 희석용액의 pH를 2까지 증가시켰다.
본 연구에서는 아스코르브산 대 팔라듐의 몰비를 4에서 20까지 변화시켰으며, 실험결과를 그림 8과 9에 나타냈다. 산성용액에서 아스코르브산에 의한 팔라듐(II)의 환원반응은 반응속도적 측면에서 히드라진보다 느린 반응이었다. 또한 그림 8을 보면 염산 침출용액에서 팔라듐(II)을 완전히 환원시키기 위해 팔라듐(II)의 8 당량비에 해당하는 아스코르브산이 필요했다. 반면, 황산 침출용액의
경우 4 당량비의 아스코르브산으로 팔라듐(II)을 완전히 환원시켰다. 아스코르브산의 환원력은 히드라진과 마찬가지로 pH에 의존한다. 아스코르브산은
그림 1 (b)~(d)와 같이 pH가 증가함에 따라 수산화그룹의 수소를 잃고 아스코르브산(C6H8O6)에서 ascorbate(C6H7O6-)와 diascorbate(C6H6O62-)로 변함에 따라 환원력과 전자공여율이 증가한다[14]. 용액의 pH에 따른 아스코르브산의 농도분포에 의하면 pH 2를 기점으로 아스코르브산의 몰비율이 감소하면서 C6H7O6-종이 형성되기 시작하며, pH가 10이상인 조건에서 C6H6O62-가 주화학종으로 존재한다[14]. 본 논문에서 용액의 pH가 2일 때 C6H7O6-에 의한 팔라듐(II)의 환원반응을 다음에 나타냈다.
본 연구에서 pH는 염산 및 황산 침출용액 모두 2로 동일하므로 수소이온농도가 환원율 차이에 미치는 영향은 적으므로 염산 침출용액에서 황산보다 더
많은 양의 아스코르브산이 필요한 것은 PdCl42-의 존재에 기인한 것으로 생각된다. 따라서 히드라진과 아스코르브산에 의한 환원 침전시 염소이온의 영향을 최소화하기 위해서는 염산보다 황산 침출용액이
유리하다.
3.4. 최적 조건에서 회수한 환원물의 XRD 분석
도금폐액에서 아연으로 치환된 팔라듐 금속의 염산 및 황산 침출용액에서 환원제로 히드라진과 아스코르브산을 사용하여 팔라듐(II)을 선택적 환원시키기
위한 최적조건을 구했다. 히드라진의 경우 5 M 황산 침출용액을 5배 희석한 다음 히드라진을 3당량비만큼 첨가한 조건, 아스코르브산의 경우에는 5
M 황산의 20배 희석용액의 pH를 2로 조절한 다음 4 당량비의 아스코르브산을 첨가한 조건이 최적조건이었다. 각각의 최적조건에서 얻은 환원물을 XRD로
분석해 그 결과를 그림 10에 나타냈다. XRD 분석결과 팔라듐 금속의 단일피크만 관찰되었고, 아연은 측정되지 않았다. 또한 환원물을 왕수로 모두 용해시켜 ICP-OES로 분석한
결과에서도 Pd(II)만 측정되었다. 이러한 결과로부터 아연으로 치환한 팔라듐의 염산 또는 황산 침출용액에서 히드라진이나 아스코르브산으로 팔라듐(II)을
선택적으로 환원시켜 고순도 팔라듐 금속의 회수가 가능함을 확인했다.
3.5 염산 및 황산 침출용액에서 선택적 침전 및 환원에 의한 팔라듐 금속 회수 비교
아연치환체를 9 M의 염산용액으로 침출시켜 얻은 용액에 염화암모늄을 침전제로 첨가해 순수한 팔라듐 화합물을 회수하는 방법이 보고되었다[8,9]. 염화암모늄은 PdCl62-와 반응해 용해도가 매우 작은 (NH4)2PdCl6를 침전시킨다. 염화암모늄은 Pt(IV) 이외에도 다양한 백금족 금속과 착물을 형성하나, 팔라듐(II)의 경우 용해도가 큰 (NH4)2PdCl4을 형성하므로 불용성 염을 형성하기 위해서는 Pd(II)를 Pd(IV)로 산화시켜야 한다[8,9,16]. 따라서 침출액에 NaClO와 NaClO3와 같은 산화제를 추가로 첨가해주어야 한다[17]. 이처럼 산화제를 첨가하면 강산용액에서도 팔라듐을 화합물형태로 침전시킬 수 있다. 그러나 최종적으로 팔라듐 금속을 제조하기 위해서는 (NH4)2PdCl6 전구체를 310 °C 이상 고온에서 하소해야 한다.
본 연구에서는 팔라듐(II)과 아연(II)이 용해되어 있는 염산 및 황산 침출액에 환원제로 히드라진과 아스코르브산을 첨가해 팔라듐(II)을 금속으로
환원시켜 회수하는 공정에 대해 조사했다. 실험결과 히드라진과 아스코르브산은 용액의 pH에 민감해 강산 용액에서 환원제로 작용하기 어렵다. 그러나 희석
등의 방법을 통해 용액의 산도를 조절하면 히드라진이나 아스코르브산을 사용해 팔라듐(II)을 팔라듐 금속으로 환원시키는 것이 가능하다.
액체 상태의 히드라진의 경우 첨가함과 동시에 팔라듐(II)의 환원반응이 관찰되었으며, 5~15분 이내의 짧은 반응 시간과 상온에서도 쉽게 반응이 완료되었다.
이러한 조건에서 팔라듐(II)은 입자가 충분히 성장하기 전에 환원반응이 완료되므로 미세한 팔라듐 분말을 제조하는 데 적합하다. 반면, 아스코르브산의
경우 60 °C의 반응온도에서 팔라듐(II)의 환원반응이 완료되기까지 1시간이 소요되었다. 일반적으로 고온에서 긴 반응시간은 입자 성장에 유리하므로
팔라듐 금속의 입자크기는 히드라진을 첨가했을 때보다 더 크다[18,19]. 환원반응온도와 팔라듐(II)을 환원시키는데 필요한 환원제의 당량비 등을 비교하면 상온에서 비교적 낮은 당량비로 팔라듐(II)을 모두 환원시킬
수 있는 히드라진이 아스코브르산에 비해 효과적이다.
이처럼 침출액에서 환원을 통해 팔라듐(II)을 금속형태로 분리한 여액에는 아연(II)만 남는다. 일반적으로 산폐수에서 값싼 아연(II)의 회수는 비경제적이므로
크게 고려되지 않지만, 수산화나트륨과 같은 알칼리 첨가물에 의해 아연수산화물 형태로 회수할 수 있다[20].
4. 결 론
도금폐액에 함유된 미량의 팔라듐(II)을 아연으로 치환하면 농축해 회수할 수 있다. 산화제를 첨가한 7 M 염산과 5 M 황산용액을 사용하면 아연치환체에
함유된 팔라듐을 모두 용해시키는 것이 가능하다. 본 연구에서는 이러한 침출용액에서 선택적 환원을 통해 팔라듐(II)과 아연(II)의 분리와 순수한
팔라듐 금속의 회수에 대한 연구를 수행했다. 환원제로는 히드라진과 아스코르브산을 사용해 비교했으며, 두 환원제 모두 강산용액에서 환원력이 감소하므로
침출용액을 5에서 20배까지 희석했다. 또한 동일한 환원제 당량비에서 염산보다 황산용액이 팔라듐(II)의 환원율이 높았는데, 이는 염산과 황산용액의
최적 희석횟수의 차이에 의한 환원반응 참여 물질의 농도변화와 PdCl42-의 형성에 기인한다. 히드라진은 상온에서 15분 이내의 짧은 반응시간에 팔라듐(II)을 모두 환원시킬 수 있는 반면, 아스코르브산은 60 °C에서
1시간의 반응시간이 필요했다. 염산이나 황산용액 침출 및 선택적 환원법에 의해 아연치환체로부터 고순도 팔라듐 금속의 회수가 가능했다.
Acknowledgements
이 연구는 2020년도 산업통상자원부 및 산업기술평가관리원(KEIT) 연구비 지원에 의한 연구임(20013071)
REFERENCES
Chen W. H., Chen K. H., Chein R. Y., Ong H. C., Arunachalam K. D., Int. J. Hydrog.
Energy accepted, (2022)

Bang G., Moon D. K., Kang J. H., Han Y. J., Kim K. M., Lee C. H., Chem. Eng. J,411,
128473 (2021)

Jansonius R. P., Kurimoto A., Marelli A. M., Huang A., Sherbo R. S., Berlinguette
C. P., Cell Rep. Phys. Sci,1, 100105 (2020)

Nagireddi S., Golder A. K., Uppaluri R., J. Water Process. Eng,22, 227 (2018)

Song S. J., Nguyen V. N. H., Lee M. S., Korean J. Met. Mater,59, 1 (2021)

Song S. J., Nguyen V. N. H., Lee M. S., Korean J. Met. Mater,60, 132 (2022)

Song S. J., Nguyen V. N. H., Lee M. S., Korean J. Met. Mater,60, 188 (2022)

Nguyen V. N. H., Song S. J., Lee M. S., Physicochem. Probl,58, 88 (2021)

Nguyen V. N. H., Song S. J., Lee M. S., Korean J. Met. Mater,60, 502 (2022)

Cramer S. D., Covino B. S., ASM Handbook Volume 13B Corrosion: Materials,665ASM International
(2005)

Jicsinszky L., Iványi R., Carbohydr. Polym,45, 139 (2001)

Rothgery E. F., Kirk-Othmer Encyclopedia of Chemical Technology,13, 567 (2004)

Brown P. L., Wanner H., Predicted formation constants using the unified theory of
metal ion complexation,54OECD Nuclear Energy Agency (1987)

Rodrigues T. S., Zhao M., Yang T. H., Gilroy K. D., Silva A. G. M. D., Camargo P.
H. C., Xia Y., Chem. Eur. J,24, 16944 (2018)

Rabah M. A., AIMS Mater. Sci,4, 1358 (2017)

Schreier G., Edtmaier C., Hydrometallurgy,68, 69 (2003)

Ilyas S., Srivastava R. R., Kim H., Cheema H. A., Sep. Purif. Technol,248, 117029
(2020)

Na Y. I., Song Y. I., Kim S. W., Suh S. J., Carbon Lett,24, 1 (2017)

Gulrajani M. L., Gupta D., Periyasamy S., Muthu S. G., J. Appl. Polym. Sci,108, 614
(2008)

Zueva S. B., Ferella F., Innocenzi V., Michelis I. D., Corradini V., Ippolito N. M.,
Vegliò R., Sustain,13, 407 (2021)

Figures and Tables
Fig. 1.
The structure of reducing agents (a) hydrazine, (b) ascorbic acid, (c) ascorbate and
(d) dehydroascorbate.
Fig. 2.
Effect of molar ratio of hydrazine to Pd(II) on the reduction of Pd(II) from 7 M HCl
leaching solution by hydrazine. (diluted 5 times: [Pd(II)]=385 mg/L, [Zn(II)]=14.8
mg/L; diluted 10 times: [Pd(II)]=192 mg/L, [Zn(II)]=7.4 mg/L; diluted 15 times: [Pd(II)]=
128 mg/L, [Zn(II)]=4.9 mg/L; diluted 20 times: [Pd(II)]=96 mg/L, [Zn(II)]=3.7 mg/L;
temperature: 60 °C; time: 30 min; stirring speed: 300 rpm)
Fig. 3.
Effect of molar ratio of hydrazine to Pd(II) on reduction of Pd(II) from 5 M H2SO4 leaching solution by hydrazine. (diluted 5 times: [Pd(II)]=385 mg/L, [Zn(II)]=14.8
mg/L; diluted 10 times: [Pd(II)]=192 mg/L, [Zn(II)]=7.4 mg/L; diluted 15 times: [Pd(II)]=
128 mg/L, [Zn(II)]=4.9 mg/L; diluted 20 times: [Pd(II)]=96 mg/L, [Zn(II)]=3.7 mg/L;
temperature: 60 °C; time: 30 min; stirring speed: 300 rpm)
Fig. 4.
Effect of reaction temperature on reduction of Pd(II) from 5 M H2SO4 leaching solution by hydrazine. (diluted 5 times: [Pd(II)]=385 mg/L, [Zn(II)]=14.8
mg/L; molar ratio of hydrazine to Pd(II)=3; time: 30 min; stirring speed: 300 rpm)
Fig. 5.
Effect of reaction temperature on reduction of Pd(II) from 5 M H2SO4 leaching solution by hydrazine. (diluted 5 times: [Pd(II)]=385 mg/L, [Zn(II)]=14.8
mg/L; molar ratio of hydrazine to Pd(II)=3; time: 30 min; stirring speed: 300 rpm)
Fig. 6.
Effect of reaction time on reduction of Pd(II) from 7 M HCl leaching solution by hydrazine.
(diluted 15 times: [Pd(II)]=128 mg/L, [Zn(II)]=4.9 mg/L; molar ratio of hydrazine
to Pd(II)=3; temperature: 60 °C; stirring speed: 300 rpm)
Fig. 7.
Effect of reaction time on reduction of Pd(II) from 5 M H2SO4 leaching solution by hydrazine. (diluted 5 times: [Pd(II)]=385 mg/L, [Zn(II)]=14.8
mg/L; molar ratio of hydrazine to Pd(II)=3; temperature: 60 °C; stirring speed: 300
rpm)
Fig. 8.
Effect of molar ratio of ascorbic acid to Pd(II) on reduction of Pd(II) from 7 M HCl
leaching solution diluted 20 times. ([Pd(II)]=96 mg/L, [Zn(II)]=3.7 mg/L, pH=2; temperature:
60 °C; time: 1 h; stirring speed: 700 rpm)
Fig. 9.
Effect of molar ratio of ascorbic acid to Pd(II) on reduction of Pd(II) from 5 M H2SO4 leaching solution diluted 20 times. ([Pd(II)]=96 mg/L, [Zn(II))=3.7 mg/L, pH=2;
temperature: 60 °C; time: 1h; stirring speed: 700 rpm)
Fig. 10.
XRD patterns of the palladium metals obtained under the optimum conditions with (a)
hydrazine and (b) ascorbic acid from 5 M H2SO4 leaching solution. (Reduction conditions: (a) diluted 5 times: [Pd(II)]=385 mg/L,
[Zn(II)]=14.8 mg/L; molar ratio of hydrazine to Pd(II)=3; temperature: 25 °C; time:
5 min (b) diluted 20 times: [Pd(II)]=96 mg/L, [Zn(II))=3.7 mg/L; pH=2; molar ratio
of ascorbic acid to Pd(II)=4; temperature: 60 °C; time: 60 min)
Table 1.
Comparison of several methods for the separation of Pd(II) from hydrochloric acid
solutions.
|
Solvent extraction [6,7]
|
Reduction precipitation
|
Selective precipitation [9]
|
|
침출액의 산농도에 적합한 추출제를 선택할 수 있고 유기상의 재생이 가능함 .
|
산용액에서 Pd(II)를 환원시키기 위해서는 pH를 0.3 이상으로 조절하는 것이 필요.
|
산농도가 높을수록 NH4Cl 에 의한 침전률이 높음.
|
|
용매추출에 의한 팔라듐(II)의 분리는 추출과 탈거로 구성됨.
|
별도의 추가공정없이 침출액에서 Pd(II)를 금속으로 간단히 회수 가능함.
|
(NH4)2PdCl6 를 침전시키기 위해 Pd(II)를 Pd(IV)로 산화시켜야 함.
|
|
탈거액에서 팔라듐 금속 또는 화합물 침전을 위한 추가공정이 필요함.
|
환원전위 차이를 통해 Zn(II)과 분리 가능함.
|
Pd 금속을 얻기 위해서는 침전물 을 300 oC에서 하소공정이 필요.
|
Table 2.
Variation in the concentration of metal ions in the leaching solution with the dilution
ratio.
|
number of dilutions
|
Concentration, mg/L
|
|
Pd(II)
|
Zn(II)
|
|
Leaching solution (Stock)
|
1926.0
|
74.0
|
|
5 times diluted leaching solution
|
385.2
|
14.8
|
|
10 times diluted leaching solution
|
192.6
|
7.4
|
|
15 times diluted leaching solution
|
128.4
|
4.9
|
|
20 times diluted leaching solution
|
96.3
|
3.7
|