류욱하
(Wook Ha Ryu)
1
류채우
(Chae Woo Ryu)
2
김경준
(Kyung Jun Kim)
1
곽민경
(Min Kyung Kwak)
1
박은수
(Eun Soo Park)
1*
-
서울대학교 재료공학부 신소재공동연구소
(Department of Materials Science and Engineering, Research Institute of Advanced Materials
& Institute of Engineering Research, Seoul National University, Seoul 08826, Republic of Korea)
-
홍익대학교 신소재공학과
(Department of Materials Science and Engineering, Hongik University, Seoul 04066, Republic of Korea)
Copyright © 2022 The Korean Institute of Metals and Materials
Key words
metallic glass, thermoplastic forming, hologram imprinting, flash-DSC, thermoplastic forming window
1. 서 론
비정질 합금 (Metallic glass, MG)은 장주기적 규칙성이 결여된 원자구조로 인하여 결정질 합금과 구분되는 우수한 기계적 특성과[1-3] 더불어 열가소성 성형(Thermoplastic forming, TPF)이 가능하다는 독특한 장점을 가진다[4-6]. 비정질 합금은 유리 전이 온도(Tg)와 결정화 개시 온도(Tx) 사이에서 과냉각 액체 영역 (Supercooled liquid region)을 가지며, Tg에 대한 상대적인 온도에 따라 결정되는 점도 (Viscosity, η)에 의존하는 뉴토니안 점성 유동 (Newtonian viscous flow, NVF)에 의하여 TPF가 이루어질 수 있다[7]. TPF를 활용하면 복잡한 모양이나 정교한 표면 패턴을 단일 성형 단계를 거쳐 비정질 합금에 쉽게 구현할 수 있다. 특히 MEMS 부품이나 표면
패터닝과 같은 복잡한 형상의 소형 제품을 마이크로 또는 나노 스케일로 보다 쉽고 정확하게 제조할 수 있다는 점에서 장점이 있는 것으로 보고되고 있다[4,8]. 특히, 최종 가공 형태의 크기가 작을수록 성형 시 가열 및 냉각속도 조절이 용이하므로 비정질 합금의 취약한 문제점 중 하나인 결정화를 억제하는
데 있어 더욱 용이한 측면이 있다. 뿐만 아니라 크기가 작을수록 강도 및 소성 변형능 등 기계적 특성이 향상되는 경향이 있다[8]. 이러한 점에 착안하여 TPF가 적용된 비정질 합금에 관한 연구는 점차 소형 제품 및 표면 패터닝을 중심으로 발전해 나가고 있다[9,10].
홀로그램은 상업적으로 제품의 가치를 높이기 위한 장식적인 디자인 요소로 사용될 수 있으며, 또한 복제가 어렵기 때문에 브랜드 보호 및 제품 식별에도
활용된다. 현재는 포일 형태의 고분자 표면에 홀로그램을 프린팅하여 제품에 이를 접착하는 방식이 주로 활용되고 있다. 그러나 자동차 내부의 장식 부품,
배터리 하우징 또는 화장품 포장과 같은 금속 재료에 홀로그램을 직접 프린팅하여 활용하고자 하는 수요에 의하여 이에 관한 연구 또한 꾸준히 진행되어왔다[4,11,12]. 금속 홀로그램은 내구성 측면에서 기존 고분자 재료에 비하여 월등히 뛰어나므로 제품 식별이라는 홀로그램 고유의 장점을 극대화하기에 가장 적합할
뿐만 아니라, 심미성 또한 뛰어나 고부가가치 산업에 적용되어 제품의 가치 상승에 크게 기여할 수 있을 것으로 기대된다. 금속재료의 홀로그램 패턴 프린팅은
레이저 광원을 기반으로 한 여러 엠보싱 공정 (Spatial light modulator [11], femto-second laser [13], low-cost fiber laser [14-16], UV nanosecond laser pulses [12,17]) 을 통해 발전하여 최근에는 스테인리스 스틸 혹은 니켈기 초합금 등에서도 나노 패터닝을 성공적으로 수행할 수 있게 되었다 [17]. 이러한 패터닝 기술은 펄스 에너지, 펄스 반복률, 스캔 속도, 레이저 스팟 크기 또는 레이저 빔 스캔 방향 등과 같은 레이저 처리 매개변수를
절묘하게 조절하여 세부 패턴을 직접 마킹하여 제조해야 하기 때문에 생산성이 떨어진다는 큰 단점을 가지고 있다.
비정질 합금은 모든 금속 중에서 유일하게 TPF가 가능하므로 전통적인 레이저 마킹 패터닝이 아닌 고온 압입에 의한 플랫 프레싱 또는 롤-투-롤 연속
성형 방식의 패터닝 기술을 적용할 수 있어 결정질 금속재료에 비하여 현저히 높은 생산성을 가질 수 있다. 이러한 비정질 합금의 TPF 공정은 Tg 이상의 고온에서 이루어지는데, 가열 속도에 따라서 성형 가능한 온도구간이 가변적인 특징이 있다. 또한 가열 속도 및 성형 시간에 따라서 결정화가
발생할 수 있으므로 합금의 열적 안정성에 따라서 적절한 TPF 공정 온도 및 시간에 관한 성형 가능 영역 (TPF processing window)을
명확하게 규명하는 것이 중요하다. 비정질 합금의 TPF은 Tg와 Tx 사이의 온도에서 일반적으로 점도(η)가 108 Pa·;s 이하인 조건에서 수행되는 것으로 보고되어 왔다[8,18]. 비정질 합금의 점도는 Tg(1012 Pa·s) 이상의 온도에서 Tl(10-2 Pa·s)에 가까워질수록 점차 감소하는데, 가열속도가 빠를수록 Tg가 증가하여 점도도 동일온도에서 더욱 높아지므로 일반적으로 높은 가열속도를 갖는 공정에서는 더욱 높은 온도에서 성형이 수행되어야 한다. 그러나 고온
성형시 비정질 합금의 결정화를 피하기 위하여 결정화가 시작되는 온도인 Tg를 초과하여 성형할 수 없으므로 적절한 성형 온도의 선택이 중요하다. 또한 가열 속도가 빠를수록 증가하는 경향이 있으므로 고속 가열이 가능한 조건에서는
Tl에 근접한 높은 온도 및 상대적으로 낮은 점도에서 TPF이 이루어질 수 있다. 특히 마이크로 및 나노 부품 성형 및 패터닝의 경우 시료의 질량이 작아
고속 가열이 용이하므로, 고속 가열을 통해 보다 낮은 점도에서 TPF를 수행하여 우수한 치수정밀도를 얻을 수 있다. 그림 1은 일반적인 비정질 합금의 CCT와 CHT 곡선 및 과냉각 액체영역에서 TPF 공정을 보여주는 개략도이다[19]. 본 그림을 통하여 용융된 합금이 냉각을 통해 비정질 구조를 형성할 수 있는 임계 냉각 속도 (Critical cooling rate)를 확인할
수 있으며, 이보다 빠른 냉각속도로 합금 용탕을 냉각하는 경우 비정질 합금의 제조가 가능하다. 또한, 연속 가열시 측정되는 유리전이온도와 결정화 개시온도
사이의 온도구간 (Tg, CH - Tx, CH)에서 비정질 합금은 유리전이거동을 통해 과냉각 액체상태로 존재하며, 해당 범위에서 1012 Pa·s에서 부터 점도가 낮아져 TPF이 가능하게 되며, 더 낮은 점도를 얻기 위해서는 최대한 Tx, CH 곡선에 가까운 조건에서 성형을 수행하는 것이 바람직하다. 일반적으로 mm 크기 이상의 벌크 시편은 고속 가열이 어렵기 때문에 수십 K/s 이하의
가열속도가 적용되며, 급속 방전 저항 가열법 (Capacitive discharge heating method) [20, 21]과 같은 전류 인가를 통한 급속 가열 방식을 적용하거나, 마이크로 이하 두께의 소형 샘플을 전도를 통하여 가열하는 경우 고속 가열을 통해 상대적으로
넓은 성형 구간 및 낮은 점도에서 TPF이 가능하다. 이와 같이, 주어진 비정질 합금에 대해 명확한 TPF processing window를 규명하기
위해서는 저속 및 고속 가열을 통하여 비정질 합금의 실제 Tg, CH 및 Tx, CH 곡선을 얻어야 한다.
본 연구에서는 기존에 보고된 다양한 벌크 비정질 합금 중 TPF에 적합한 마그네슘계 비정질 합금을 선택하여 Flash-DSC 등 열분석 장비를 활용하여
연속 냉각 변태 (Continuous cooling transformation, CCT) 곡선 및 연속 가열 변태 (Continuous heating
transformation, CHT) 곡선을 작도하고, 100 ~ 105 K/s의 넓은 승온 속도 범위에서 TPF processing window를 명확히 규명하였다. 이를 통해 적절한 성형 조건에서 TPF를 수행하여
나노스케일 홀로그램 임프린팅 기술을 성공적으로 개발하였다. 본 연구는 마이크로 및 나노 스케일 비정질 합금 성형 기술의 상용화를 촉진할 뿐만 아니라
다양한 조성의 비정질 합금에서 최적의 온도 및 승온 속도 조건을 측정기반으로 한정하여 TPF이 가능하도록 TPF processing window를
규명할 수 있는 체계적인 가이드라인을 제시한다.
2. 실험 방법
본 연구에서는 99.9 % 이상의 고순도 구리 (Cu), 이트륨 (Y), 및 가돌리늄 (Gd) 원소를 아크 플라즈마 공정으로 아르곤 가스 분위기에서
용해하여 버튼 형태의 Cu-Y 및 Cu-Gd 모합금을 제조하였다. 아크 용해 시 성분의 편석을 줄이기 위해 각각 5회 반복하여 용해하였다. 각 모합금은
고주파 유도 용해로를 사용하여 아르곤 분위기에서 질화붕소 (BN) 코팅된 흑연 도가니에서 고순도 마그네슘 (Mg) 원소와 합금화하여 최종적으로 Mg65Cu25Y10 및 Mg65Cu25Gd10 (at. %) 조성의 합금으로 제조하였다. 조성균질성을 개선하기 위해 모합금을 유도로 내에서 3회 이상 용융하였다. 용융을 마친 두 조성의 모합금을
활용하여 멜트 스피닝 장치를 통해 리본 형태의 시편을 제조하였다 . 각 모합금은 석영관에 장입되어 고주파 유도 가열을 이용하여 완전히 용해되고, 50
kPa 압력의 아르곤 가스를 주입함으로써 그 용탕을 약 40 m/s의 표면속도로 회전하는 구리 휠 (Wheel) 표면에 분사하여 약 30 μm 두께
리본형태의 시편으로 제조하였다. 리본상태에서 우수한 성형능이 규명된 Mg65Cu25Gd10 조성의 모합금을 인젝션 캐스팅을 통해 벌크 시편으로 제조하였다. 이를 위해 모합금을석영관에 장입하여 고주파 유도 가열을 이용하여 완전히 용해하고,
50 kPa 압력의 아르곤 가스를 주입하여 그 용탕을 구리 몰드에 주입하여 2 mm 두께의 판상 벌크 시편을 제조하였다.
제조된 합금 시편의 결정구조 분석을 위해 X-선 회절 분석 장치 (New D-8 Advance, Bruker)를 이용하여 CuKα 선 (λ=1.541
Å)으로 10–80° 구간에서 회절 패턴 분석 시험을 진행하였다. 제조된 합금의 열가소성 성형 영역 (TPF processing window) 과
유리전이온도 (Tg), 결정화 개시온도 (Tx), 및 용융온도 (Tl) 등 특성 온도를 규명하기 위하여 일반 시차주사열량계 (Conventional DSC, DSC 8500 Perkin Elmer, and TGA/DSC1
Mettler Toledo) 및 고속 시차주사열량계 (Flash-DSC, Flash-DSC 1 Mettler Toledo) 를 활용하여 열 흐름 곡선
(Heat flow curves)을 측정하였다. 일반 DSC 분석은 알루미늄 팬 및 알루미나 도가니에 약 20 mg 정도의 시료를 넣은 후 고순도
아르곤 가스 분위기에서 40 K/min의 일정한 승온 속도로 행하였으며, Flash-DSC 분석은 리본 샘플을 약 100 μm 너비의 작은 조각으로
자르고 Flash-DSC 칩에 로드하여 102 ~2.5×104 K/s 사이의 승온 속도로 행하였다. 연속 냉각 변태 곡선의 작도를 위하여 Flash-DSC 장치를 이용하여 용융온도의 100도 이상 온도인 873
K로 가열한 후 103 ~1.5×104 K/s의 냉각속도로 조건을 달리하며 상변화 개시온도를 측정하였다.
홀로그램 임프린팅 실험을 위한 홀로그램 몰드는 고온 압입 공정을 견딜 수 있는 Ni기 초합금을 기반으로 레이저 가공에 의하여 수백 나노미터 수준으로
엠보싱 처리된 제품 (JNSUNG SNT)을 사용하였다. 홀로그램 임프린팅은 고온 압입 성형기 (SAMDOO)를 활용하여 대기중에서 수행되었다. 성형기의
상, 하 가열판에 각각 스테인리스 스틸 (SUS-304) 플레이트를 위치시키고, 그 사이에 홀로그램 몰드 및 비정질 합금을 로드하였다. 이 후 비정질
합금을 18.3 K/s의 속도로 상온에서 483 K까지 가열한 후 10초간 60 Kg·f/cm3 의 힘으로 압입하여 홀로그램 임프린팅을 위한 TPF을 수행하였다. 임프린팅의 완성도를 규명하기 위하여 Ni기 초합금 홀로그램 몰드 및 압입 성형된
Mg65Cu25Gd10 벌크 샘플의 표면 패턴을 주사전자현미경 (SU-70, Hitachi)을 통해 관찰하여 비교하였다.
3. 실험결과 및 고찰
3.1 비정질 합금의 TPF ability
본 연구에서는 홀로그램 임프린팅에 적합한 비정질 합금을 선정하기 위하여 기존에 보고된 다양한 비정질 합금의 열가소성 성형능 (TPF ability,
TPFA)을 비교하였다. 최근관련 연구에 의하면, 서로 반비례의 관계를 갖는 ΔTF = (= Tl – Tx) 및 T2x/mTl ⋅ (Tl – Tx)2 인자 (여기서, m은 fragility index 값)에 의하여 TPFA가 효과적으로 평가될 수 있다[22]. 그림 2는 기존에 보고된 다양한 비정질 합금의 성형능을 ΔTF값과 T2x/mTl ⋅ (Tl – Tx)2값을 비교하여 나타낸 것이다[23-41]. 그림에서 알 수 있는 바와 같이 ΔTF의 값이 낮을수록, 그리고 T2x/mTl ⋅ (Tl – Tx)2의 값이 높을수록 우수한 성형능을 나타내는 것으로 평가할 수 있다. 본 연구에서는 원재료 가격이 비싼 Pd 및 Pt계 합금과 극단적인 취성을 가지는
Ce 및 Ca계 합금을 제외하고 가장 성형능 인자가 우수한 Mg65Cu25Y10 (비정질 형성 최대 직경, Dmax = 4 mm) 및 Mg65Cu25Gd10 (Dmax = 8 mm) 합금을 선정하여 홀로그램 임프린팅 실험을 수행하였다. 특히, Mg65Cu25Y10 과 Mg65Cu25Gd10 합금의 계산된 ΔTF값과 T2x/mTl ⋅ (Tl – Tx)2값은 각각 271 K, 256 K과 0.81, 1.28로 TPFA 인자를 통해서 Mg65Cu25Gd10 합금이 상대적으로 더 우수한 성형능을 나타낼 것으로 예측되었다.
그림 3은 기존에 보고된 연구에서 10 종의 다양한 조성의 비정질 합금을 20 K/min의 일정한 승온 속도 및 1000 lb의 일정한 압축 하중 하에서
TPF하여 그 최종 형상을 비교함을 통해 TPFA를 평가한 결과를 나타낸다[33]. 그림 3 (a, b)는 상기 논문의 실험 방법에 관한 도식을 나타낸다. 특징적인 것으로, 보고된 연구에서는 각 합금을 구성하는 주요 원소에 따라 과냉각 액체영역이 서로
달라져서 일정한 온도에서 성형을 수행할 수 없으므로 일정한 가열 속도 하에서 압입을 시도하였으며, 보고된 결과가 각 조성에서 최적화된 성형 조건이
아닐 수 있다는 한계가 있지만 간단한 실험적 방법으로 성형능을 비교할 수 있는 방법으로 고려할 수 있다. 그림 3 (c)는 10 종의 서로 다른 비정질 합금의 성형 후 사진을 나타내며, 동일한 시편 크기 및 성형조건 (0.1 cm3 의 동일한 시편 부피, 20 K/min의 일정한 승온 속도, 및 1000 lb (=4500 N)의 일정한 압축 하중)에서 성형된 것을 감안할 때,
성형 후 지름으로 TPFA를 평가할 수 있고 산화된 정도를 정성적으로 비교할 수 있다. 그림을 통해 알 수 있는 바와 같이, 본 연구에서 선정한 Mg65Cu25Y10 합금은 Au계 비정질 합금을 제외한 모든 비정질 합금들 가운데 가장 TPFA가 우수하며, 산화된 정도가 적은 것으로 판단된다. 이러한 결과는 그림 2에서 TPFA 평가인자를 통해 계산된 경향과 일치한다. 특히, Mg65Cu25Y10 합금은 상대적으로 낮은 Tg 및 Tx를 가지므로 산화를 억제한 상태에서 손쉽게 성형이 가능할 것으로 사료된다.
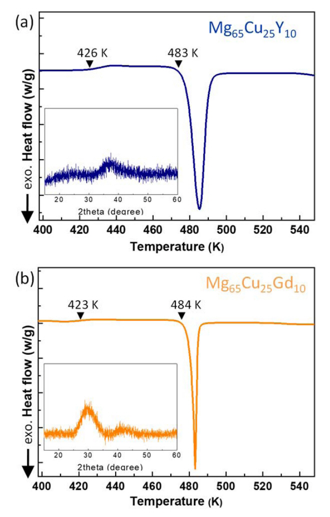
그림 4는 본 연구에서 제조한 (a) Mg65Cu25Y10 및 (b) Mg65Cu25Gd10 합금 리본 시편의 열 흐름 곡선 및 X-선회절 분석 결과를 보여준다. 그림에서 알 수 있는바와 같이 두 합금의 X-선 회절패턴이 넓고 완만한 피크
(Broad halo pattern)를 나타냄에 따라 전형적인 비정질 구조가 형성되었음을 판단할 수 있다. 측정된 두 합금의 Tg와 Tx는 각각 426 K, 483 K와 423 K, 484 K이고, ΔTF(= Tx – Tg))값은 각각 57 K 및 61 K로 두 조성에서 매우 유사한 열 특성 온도가 나타나는 것을 확인하였다. 또한, 이 두 합금에서 Tg/Tx와 점도 (η) 혹은 완화시간 (τ)의 로그 값이 이루는 기울기로 온도에 따른 액상 구조 변화의 민감도를 나타내는 Fragility index, m 값이 각각 50 및 37.6으로, Mg65Cu25Gd10 합금에서 더 낮게 나타났다[7,22,27,28,42,43]. 이를 통해 동일한 온도 조건에서 더 큰 m 값을 갖는 (상대적으로 fragile한) Mg65Cu25Y10 합금 값이 점성저하 관점에서는 유리하며, 더 작은 m 값을 갖는 (상대적으로 strong한) Mg65Cu25Gd10 합금은 액상구조의 안정성 측면에서 TPA에 긍정적인 영향을 끼칠 수 있음을 예상할 수 있다. 각 합금에 대해 m 값을 고려하면 과냉각 액체영역에서 대비 온도에 따른 대략적인 점도 변화를 유추할 수 있으며, 이를 통해 TPF 조건을 보다 정확하게 제어하는데 활용할
수 있으며 관련 내용에 대한 것을 3.4절에서 보다 상세히 논의하고자 한다.
3.2TPF를 통한 홀로그램 임프린팅 실험
그림 5는 본 연구에서 홀로그램 임프린팅 실험에 활용한 장비의 개략도를 나타낸다. 그림 5 (a)는 Ni기 초합금 몰드의 홀로그램 패턴이 TPF를 통하여 비정질 합금의 표면에 전사되는 과정을 나타낸다. 비정질의 과냉각 액체영역에서 고온 압입을
통하여 홀로그램 패턴의 양각은 음각으로, 음각은 양각으로 비정질 합금 표면으로 전사된다. 이때 고온 압입은 약 10초간 수행되며 압입 후 비정질 합금과
홀로그램 몰드를 분리한 후 공냉을 통하여 냉각이 수행된다. 그림 5 (b)는 본 연구에서 활용한 고온 압입 장치를 나타내는 사진이며, 그림 5 (c)에 도시한 바와 같이 해당장치의 상, 하 가열 판에 스테인리스 스틸 판재를 각각 위치시키고 그 사이에 홀로그램 몰드 및 비정질 합금을 로딩하여 TPF을
수행하였다. 본 연구의 TPF 공정은 앞서 0.67 K/s의 승온 속도로 측정한 Tx 값에 최대한 근접한 483 K에서 60 Kg·f/cm3 의 일정한 하중을 인가해 10초 동안 압입하여 수행하였다. 본 연구의 TPF 공정에서 가열 속도는 그림 4에서 열흐름 곡선을 측정할 때 (0.67 K/s)에 비하여 약 25배 이상 빠른 18.3 K/s의 평균 값을 나타내어, 가열 속도 증가로 인해 값이
500 K 이상으로 상승하는 것을 고려할 때 결정화를 충분히 억제할 수 있는 공정조건이다.
그림 6은 (a1, a2) Ni기 초합금 홀로그램 몰드와 (b1, b2) Mg65Cu25Y10 및 (c1, c2) Mg65Cu25Gd10 합금의 리본 시편, 그리고 (d1, d2) Mg65Cu25Gd10 합금의 벌크 시편의 TPF 후 사진을 보여준다. Ni 몰드 및 비정질 합금 시편에서 각도에 따라서 서로 다른 패턴이 강조되어 나타나는 홀로그램을
확인할 수 있다. Mg65Cu25Y10 및 Mg65Cu25Gd10 합금 리본 시편의 사진을 비교하면, 상대적으로 Mg65Cu25Gd10 합금에서 더 명확한 홀로그램 패턴이 나타남을 확인할 수 있다. 이결과는 Mg65Cu25Gd10 합금에서 상대적으로 작은 ΔTF값과 큰 T2x ⁄ mTl ⋅ (Tl – Tx)2 값이 얻어진 결과와 잘 부합한다. 이 결과를 바탕으로 Mg65Cu25Gd10 조성 2 mm 벌크 비정질 합금 시편을 제조하여 동일한 조건으로 TPF을 수행하였고, 그림 6의 (d1, d2)에 나타낸 것처럼 선명한 홀로그램 패턴을 얻을 수 있었다. 이러한 결과를 통해 얇은 박막 형태의 시편 뿐 아니라 다양한 크기를 가진
벌크 시편에서도 본 연구의 TPF 공정을 통해 용이하게 홀로그램 패턴을 구현할 수 있음을 확인하였다.
그림 7은 (a1-a4) Ni기 초합금 홀로그램 몰드 및 (b1-b4) TPF 후 Mg65Cu25Gd10 벌크 시편의 표면을 SEM으로 관찰하여 얻은 결과를 나타낸다. 그림에서 알 수 있는 바와 같이 몰드와 비정질 합금 시편 두 표면 패턴이 서로대칭을
이루어 성공적으로 홀로그램 프린팅이 구현되었으며, 본 연구의 TPF 실험 조건이 적절한 온도 및 시간 조건에서 수행되었음을 알 수 있다. 특히 그림 7 (a3, a4, b3, b4)를 서로 비교하여 보면, 나노 스케일로 미세하게 가공된 Ni 몰드의 패턴이 매우 적은 오차로 전사되어, 10초간의 고온
압입 TPF 공정을 통해 나노 스케일 패턴의 정형 가공이 손쉽게 가능한 것을 확인하였다.
3.3 CHT 및 CCT 곡선 작도를 통한 TPF processing window 규명
본 연구의 TPF를 활용한 홀로그램 임프린팅 실험에서는 온도 및 시간 조건이 최적의 TPF 공정인지를 판단할 기준이 없을 뿐만 아니라, 생산성 향상을
위해서는 마이크로 스케일 두께의 비정질 합금을 더 빠른 속도로 가열하는 것이 가능하므로 고속 가열에 의한 TPF시 어떠한 조건에서 공정을 수행하여야
하는지에 관한 정보를 확보하는 것 또한 필요하다. 이를 위해서는 넓은 가열 속도 범위에서 Tg, CH 및 Tx, CH 를 측정하여 피팅을 통해 CHT 곡선을 얻어야 하며, 본 연구에서는 Flash-DSC 장비를 활용하여 102 ~2.5×104 K/s 범위의 연속 가열 조건에서 Mg65Cu25Gd10 합금의 Tg, CH 및 Tx, CH 를 측정하였다. 이와 같이 측정된 데이터는 Kissinger 분석 방법을 적용하여 피팅을 통해 CHT 곡선을 얻는데 활용할 수 있다[44-47]. 따라서, 연속 가열 중 유리전이 온도와 결정화 개시 온도의 가열 속도 의존성은 다음과 같이 표현될 수 있다[48]:
이 식에서 T는 Tg,CH 및 Tx, CH, β는 가열 속도, E는 활성화 에너지, R은 기체 상수, 그리고 C는 상수이다. -E/R와 C가 상수임을 고려할 때 In(β/T2x)과 1/Tx 는 선형적인 상관관계를 가진다. 그림 8은 일반 DSC 및 Flash-DSC를 통해 측정한 Mg65Cu25Gd10 합금의 Tg,CH 및 Tx,CH 값을 그래프로 나타낸 것이다. 그림에서 알 수 있는 바와 같이 측정된 데이터 값은 식 (1)에 의하여 선형으로 피팅되어 기울기 (-E/R) 및 절편 (C)을 얻을 수 있다. Mg65Cu25Gd10 합금의 Tg, CH 및 Tx, CH의 변화를 반영하는 식은 그림에 표시한 것과 같이
ln
β
T
g
,
C
H
2
=
-
26.6
T
g
,
C
H
+
53.5
와
ln
β
T
x
,
C
H
2
=
-
21.3
T
x
,
C
H
+
32.0
로 수렴하는 것으로 확인할 수 있으며, 이 때, CHT 곡선을 이루는 Tg, CH 및 Tx, CH값은 주어진 β에 대하여 위에 도출한 식을 통해 계산할 수 있다. 이에 더하여, CCT 곡선을 얻기 위해, Mg65Cu25Gd10 합금을 용융온도보다 100 도 이상의 온도인 873 K로 가열 후 102 ~2.5×104 K/s 범위의 냉각 속도로 냉각 시 합금의 용탕으로부터 결정화 개시온도 (Tx, CC)를 측정하였다. 그 결과 8.0×103 K/s 이상의 냉각속도에선 Tx가 나타나지 않았으며, 이에 따라 이 합금의 비정질 구조 구현을 위한 임계 냉각 속도가 8.0×103 K/s 이하임을 유추할 수 있다. 불균일 핵생성 역학에 관한 이론적인 모델에 의하면 결정화 시작시간 및 결정화 온도는 액상온도에 대하여 다음의 식으로
표현될 수 있다[46,49,50]:
이 식에서 t1은 결정화 시작시간, a 및 b는 상수이다. Flash-DSC 측정을 통하여 얻은
ln
t
1
및
(
T
l
2
(
T
x
+
T
l
)
2
T
x
3
(
T
l
-
T
x
)
)
값은 서로 ln(t1) 값은 서로 선형적인 관계를 가지며, 선형 피팅에 의하여 상수 a 및 b 의 값을 얻을 수 있다. 상기 측정을 통해 얻어진 데이터를 통해 식 (2)의
관계가 얻어졌으며, CCT 곡선 (Tx, CC)은 주어진 냉각 속도에 의하여 예상되는 결정화 시작시간 t1을 얻어진 식에 대입하여 계산할 수 있었다.
위와 같이 계산된 Tg, CH, Tx, CH 및 Tx, CC 곡선과 측정된 데이터 값을 그림 9에 도시하였다. 이 때, Tx, CH곡선 및 Tx, CC 곡선의 접점을 결정화의 nose 지점으로 판단할 수 있으며[46] 이에 따라 Mg65Cu25Gd10 합금의 비정질 구조 형성을 위한 연속 냉각시 임계 냉각 속도는 약 7.3×103 K/s로 계산된다. 이 값은 기 보고된 Mg65Cu25Gd10 합금의 벌크 비정질 형성 최대 직경 8 mm로 계산된 임계냉각 속도 98.8 K/s [51] 대비 약 100 배 큰 값으로, 이러한 차이는 Flash DSC에 의한 Tx, CC 측정시 용융온도 이상으로 액상 유지시 표면산화 거동에 의한 불균일 핵생성에 기인한 것으로 사료되며, 더 자세한 논의는 본 논문의 범주를 벗어나 차후
다른 논문에서 상술하고자 한다. 이에 반해 Tx, CH 및 Tx, CC 값은 고상 비정질 상태에서 가열을 통해 얻어지기 때문에 이러한 산화거동의 영향이 상대적으로 작으며, 이 두 값에 대한 곡선 사이의 영역에서 비정질
합금은 유리 전이를 통해 과냉각 액체상태로 존재한다. 실제 TPF 공정을 통해 성형이 가능한 TPF processing window는 Tg, CH로부터 충분히 더 높은 온도로 가열되어 점도가 108 Pa·;s 이하인 경우로 알려져 있다[8,18,52]. 105 Pa·s 이하의 점도에서는 capillary force에 의해 Ag paste 구성물질 사이를 채우는 공정이 가능한 것으로 보고되어 있으며[53], 또한 몰드의 표면 상태와 거의 유사한 수준의 이상적인 정형 가공은 104 Pa·s이하의 점도에서 가능한 것으로 보고되었다[20]. 일반적으로 과냉각 액상의 점도는 온도 및 가열속도 두 매개변수에 의존하기 때문에 정확한 점도를 모든 조건에서 측정하는 것은 어렵다. 그러나 합금의
fragility index, m 값을 알고 있을때 Tg에 대한 상대적인 온도에서의 점도 변화를 Angel plot에 기반해 유추할 수 있다. 우리는 동일한 조성의 과냉각 액상에서 가열 속도와 상관없이
점도와 Tg의 상관관계가 일정하다는 가정하에, 점도와 Tg/T의 상관관계를 나타내는 Angel plot으로부터 Mg65Cu25Gd10 합금의 점도를 추정하여 계산하였다[7,54]. 이에 따르면 특정 점도를 나타내는 과냉각 액상의 온도는 Tg에 대한 함수로 다음과 같이 표현된다:
이 식에서 A는 과냉각 액상의 점도에 따라 Angel plot에서 추정되어 얻어지는 상수로, 점도 값이 1011 부터 103 Pa·s의 값으로 점차적으로 감소되는 값을 가질 때, 각각 1/10배로 점도 값이 변해감에 따라 0.979, 0.961, 0.921, 0.894,
0.866, 0.835, 0.803, 0.761, 및 0.714의 값을 갖는다. 이렇게 식 (3)에 의하여 얻어지는 특정 점도를 나타내는 과냉각 액상의
온도 곡선을 그림 9의 Tg,CH 및 Tx,CH 곡선 사이의 영역에 도시하였다. 이 때, 일반적인 TPF processing window는 점도가 108 Pa·;s이상인 온도를 나타내는 곡선 및 Tx,CH 곡선 사이의 영역으로 정의될 수 있다. 또한 정형 가공이 가능한 이상적인 TPF processing window는 104 Pa·s이상인 온도를 나타내는 곡선 및 Tx,CH 곡선 사이의 영역으로 정의될 수 있다. 그림 9를 바탕으로 다양한 가열 속도 및 온도 범위에서 TPF이 가능한 공정영역을 명확하게 판단할 수 있고, 비정질 합금 시편 특성 및 성형장치의 구동가능
조건에 맞추어 최적화된 TPF 공정을 설계할 수 있는 가이드라인을 제시할 수 있다. 마지막으로 본 연구에서 실제로 수행한 TPF 공정을 CHT 도식위에
나타내었다. 추정된 값에 따르면 본 연구의 홀로그램 임프린팅 공정은 Mg65Cu25Gd10 합금의 과냉각 액상의 점도가약 106 Pa·s 내외의 값을 갖는 조건에서 수행되었음을 알 수 있다. 이 점도 값은 일반적인 기준에서[8,18] TPF이 원활하게 가능한 조건에 있다고 평가될 수 있다. 또한 보다 더 우수한 치수 정밀도가 필요한 경우에는 최대 500 K의 더 높은 온도로
시편을 가열하여 약 105 Pa·s 내외의 점도에서 TPF를 수행함을 통해 구현가능함을 예측할 수 있다. 나아가 비정질 합금 시편을 100 K/s 이상의 빠른 속도로 가열할
수 있는 조건에서는 이상적인 TPF processing window에 해당하는 104 Pa·s 이하의 점도에서도 TPF을 수행할 수 있는 가능성이 있음을 확인할 수 있다.
4. 결 론
본 연구에서는 비정질 합금에 홀로그램 패턴을 임프린팅하기 위한 TPF 공정을 최적화하였다. 이를 위해 다양한 비정질 합금의 TPFA 인자를 비교하여
대기 중에서도 우수한 성형능을 가질 것으로 예측되는 마그네슘계 비정질 합금 (Mg65Cu25Y10 와 Mg65Cu25Gd10)을 제조하고 열분석을 통해 적합한 TPF 공정을 설계하여 나노 홀로그램 패턴을 성공적으로 임프린팅 하였다. 특히, 첨단 열분석 장치인 Flash-DSC를
이용하여 Mg65Cu25Gd10 합금의 Tg,CH, Tx,CH, 및 Tx,CC 값을 측정하여 CCT 및 CHT 곡선을 작도하였고, 해당 합금의 m 값을 반영하여 점도를 추정하여 일반적 TPF processing window (η<108 Pa·;s) 및 이상적 TPF processing window (η<104 Pa·s)에 해당하는 열가소성 성형 온도 및 공정 시간에 대하여 명확히 규명하였다. 이에 따라 Mg65Cu25Gd10 합금에서 TPF을 위한 최적의 온도 및 가열 속도를 장치 및 샘플에 맞게 제어할 수 있는 명확한 가이드라인을 제시하였다. 본 연구의 방법론은 다양하게
개발된 다른 조성의 비정질 합금에서도 동일하게 적용되어 온도, 공정 시간, 그리고 가열 속도에 따라 과냉각 액상의 점도를 예측하여 TPF processing
window를 명확하게 규명하는 데 활용될 수 있다. 또한, 본 연구 결과는 홀로그램의 가공 비용, 시간, 및 복잡성을 현저히 감소시켜 생산성을 크게
향상시킬 수 있을 것으로 기대되는 비정질 합금 TPF의 장점을 극대화할 수 있는 마이크로 및 나노 스케일 성형 조건을 CCT 및 CHT 도면 작도
기반으로 정밀 제어하는 방법을 제시하여, 향후 비정질 합금을 활용한 홀로그램 임프린팅 기술 상용화를 촉진하는데 크게 기여할 수 있을 것으로 기대된다.
Acknowledgements
This work was supported by Samsung Research Funding Center of Samsung Electronics
under SRFC-MA1802-06 and Institute of Engineering Research, Seoul National University.
REFERENCES
Kumar G., Neibecker P., Liu Y. H., Schroers J., Nat. Commun,4, 1, 1 (2013)

Li N., Xu X., Zheng Z., Liu L., Acta Mater,65, 400 (2014)

Schuh C. A., Hufnagel T. C., Ramamurty U., Acta Mater,55, 12 (2007)

Schroers J., Adv. Mater,22, 14 (2010)

Pitt E. Bryn, Kumar G., Schroers J., J. Appl. Phys,110, 4 (2011)

Schroers J., Hodges T. M., Kumar G., Raman H., Barnes A. J., Pham Q., Waniuk T. A.,
Mater. Today,14, 1-2, 14 (2011)

DeRieux W. -S.W., Li Y., Lin P., Laskin J., Bertram A. K., Nizkorodov S. A., Shiraiwa
M., Atmospheric Chem. Phys,18, 9, 6331 (2018)

Kumar G., Desai A., Schroers J., Adv. Mater,23, 4, 461 (2011)

Schroers J., Pham Q., Desai A., J Microelectromech Syst,16, 2, 240 (2007)

Song S. M., Liao Y. C., Li T. H., Lee C. K., Tsai P. H., Jang J. S. C., Huang J. C.,
J. Mater. Res. Technol,8, 2, 1907 (2019)

Behrens B. A., Krimm R., Jocker J., Reithmeier E., Roth B., Rahlves M., Method to
emboss holograms into the surface of sheet metals, Key Engineering Materials,125-132,
Trans Tech Publ (2013)

Wlodarczyk K. L., Ardron M., Waddie A. J., Dunn A., Kidd M. D., Weston N. J., Hand
D. P., J Mater Process Technol,222, 206 (2015)

Dusser B., Sagan Z., Soder H., Faure N., Colombier J. -P., Jourlin M., Audouard E.,
Opt. Express,18, 3, 2913 (2010)

Antończak A. J., Kocoń D., Nowak M., Kozioł P., Abramski K. M., Appl. Surf. Sci,264,
229 (2013)

Veiko V., Odintsova G., Ageev E., Karlagina Y., Loginov A., Skuratova A., Gorbunova
E., Opt. Express,22, 20, 24342 (2014)

Murphy T., Harrison P., Norman S., Black anneal marking with pulsed fiber lasers,
Industrial Laser Applications Symposium (ILAS 2015), SPIE, 123-128, (2015)

Wlodarczyk K. L., Ardron M., Waddie A. J., Taghizadeh M. R., Weston N. J., Hand D.
P., Opt. Express,25, 13, 15216 (2017)

Schroers J., Jom,57, 5, 35 (2005)

Sohrabi N., Schawe J. E. K., Jhabvala J., Löffler J. F., Logé R. E., Scr. Mater,199,
113861 (2021)

Kaltenboeck G., Harris T., Sun K., Tran T., Chang G., Schramm J. P., Demetriou M.
D., Johnson W. L., Sci. Rep,4, 1, 1 (2014)

Johnson W. L., Kaltenboeck G., Demetriou M. D., Schramm J. P., Liu X., Samwer K.,
Kim C. P., Hofmann D. C., Science,332, 6031, 828 (2011)

Oh H. S., Kim S. Y., Ryu C. W., Park E. S., Scr. Mater,187, 221 (2020)

Kim J., Shin S., Lee C., Mater Trans,46, 6, 1440 (2005)

Park E. S., Na J. H., Kim D. H., Appl. Phys. Lett,91, 3, 031907 (2007)

Wang W. H., J. Appl. Phys,99, 9, 093506 (2006)

Wang W. H., Prog. Mater. Sci,57, 3, 487 (2012)

Gun B., Laws K. J., Ferry M., Mater. Sci. Eng. A,471, 12, 130 (2007)

Men H., Kim D. H., J. Mater. Res,18, 12, 1502 (2003)

Lu Z. P., Goh T. T., Li Y., Ng S. C., Acta Mater,47, 7, 2215 (1999)

Jiang Q. K., Wang X. D., Nie X. P., Zhang G. Q., Ma H., Fecht H. J., Bendnarcik J.,
Franz H., Liu Y. G., Cao Q. P., Jiang J. Z., Acta Mater,56, 1785 (2008)

Kim W., Oh H. S., Park E. S., Intermetallics,91, 8 (2017)

Kato H., Kawamura Y., Inoue A., Chen H. S., Appl. Phys. Lett,73, 25, 3665 (1998)

Schroers J., Acta Mater,56, 3, 471 (2008)

Zhang B., Wang R. J., Zhao D. Q., Pan M. X., Wang W. H., Phys. Rev. B,70, 22, 224208
(2004)

Tanaka H., J Non Cryst Solids,351, 8-9, 678 (2005)

Kawamura Y., Itoi T., Nakamura T., Inoue A., Mater. Sci. Eng. A,304, 735 (2001)

Kawamura Y., Nakamura T., Inoue A., Scr. Mater,39, 3, 301 (1998)

Dalla G., Battezzati L., Acta Mater,61, 6, 2260 (2013)

Xu D., Duan G., Johnson W. L., Phys. Rev. Lett,92, 24, 245504 (2004)

Yamasaki T., Maeda S., Yokoyama Y., Okai D., Fukami T., HM K., Inoue A., Mater Trans,46,
12, 2746 (2005)

Fan G. J., Fecht H. -J., Lavernia E. J., Appl. Phys. Lett,84, 4, 487 (2004)

Busch R., Liu W., Johnson W. L., J. Appl. Phys,83, 8, 4134 (1998)

YC C., JC H., CW T., CI C., JSC J., Mater Trans,49, 11, 2605 (2008)

Louzguine D. V., Inoue A., Appl. Phys. Lett,81, 14, 2561 (2002)

Ruitenberg G., Thermochimica acta,404, 1-2, 207 (2003)

Kim J. -H., Park J. S., Park E. S., Kim W. T., Kim D. H., Met. Mater. Int,11, 1, 1
(2005)

Svoboda R., Čičmanec P., Málek J., J. Therm. Anal. Calorim,114, 1, 285 (2013)

Kissinger H. E., J. Res. Natl. Bur. Stand,57, 4, 217 (1956)

Turnbull D., J. Appl. Phys,21, 10, 1022 (1950)

Thompson C. V., Spaepen F., Acta Mater,27, 12, 1855 (1979)

Park E. S., Ryu C. W., Kim W. T., Kim D. H., J. Appl. Phys,118, 6, 064902 (2015)

Woon S. D., Min H., Lee J. K., Korean J. Met. Mater,59, 5, 281 (2021)

Kim W., Kim J. W., Lee J. I., Park E. S., Korean J. Met. Mater,58, 2, 77 (2020)

Angell C. A., J. Res. Natl. Inst. Stand. Technol,102, 2, 171 (1997)

Figures
Fig. 1.
Schematic diagram for continuous cooling transformation (CCT) curve and continuous
heating transformation (CHT) curve in MG. Here, Tl is liquidus melting temperature, Tx, CC is crystallization onset temperature during continuous cooling, and Tg, CH and Tx, CH is glass transition temperature and crystallization onset temperature during continuous
heating, respectively. TPF is performed in the temperature range between the Tg, CH and Tx, CH. Schematics diagram also illustrates critical cooling rate and TPF process by ultra-fast
heating and conventional heating
Fig. 2.
Comparison of the TPF ability in previously reported various MGs including the Mg65Cu25Y10 and Mg65Cu25Gd10 MGs by considering ΔTF = (= Tl – Tx) and T2x/mTl ⋅ (Tl – Tx)2. Here, m is fragility index.
Fig. 3.
TPF results by simple hot press of various bulk metallic glasses (BMGs). (a) Schematic
diagram of the TPF process in which MG is located between heated plates and is applied
for constant load. (b) Illustration on the temperature-time curve showing thermoplastic
forming window at a constant heating rate of 20 K/min. (c) Images of 10 BMG samples
after TPF process. (reproduced from ref. [33] with permission. Copyright © 2007 Acta Materialia Inc. Published by Elsevier Ltd)
Fig. 4.
DSC traces and XRD patterns of (a) Mg65Cu25Y10 and (b) Mg65Cu25Gd10 MGs.
Fig. 5.
(a) Schematic diagram of hologram imprinting (TPF) process. (b) Photograph showing
the hot press device for TPF. (c) Schematic diagram of the placement of Ni-based hologram
mould and MG sample for hologram imprinting.
Fig. 6.
Images of (a1, a2) Ni-based hologram mould and the thermoplastically imprinted hologram
patterns on Mg65Cu25Y10 (ribbon; b1, b2) and Mg65Cu25Gd10 (ribbon; c1, c2 and bulk; d1, d2) MGs.
Fig. 7.
SEM images of Ni-based hologram mould and the thermoplastically imprinted hologram
patterns on Mg65Cu25Gd10 (bulk) MG.
Fig. 8.
Kissinger plots for Tg and of Mg65Cu25Gd10 MG at various heating rates between 10-1 and 105 K/s.
Fig. 9.
Measured CCT (Tx,CC) and CHT (Tg,CH, Tx,CH) curves at different heating rates between 10-1 and 105 K/s showing TPF processing window of the Mg65Cu25Gd10 MG. (Tg,CH, Tx,CH) and (Tx,CC) values are fitted with Eq. (2) and Eq. (3), respectively. The calculated continuous
cooling curve obtained by cooling from 800 K at a critical cooling rate is indicated
by a blue dotted line. The iso-viscosity line estimated against the Tg value according to the m value in Mg65Cu25Gd10 MG is shown between Tg,CH and Tx,CH as solid gray lines. The temperature-time curve of the TPF process for hologram imprinting
in this study is also illustrated.