๋ฐฐ๋ฏผ์
(Min A Bae)
1
๊น๊ฒฝํธ
(Kyeong Ho Kim)
1
๋ฐฑ์ฌํธ
(Jae Ho Baek)
1*
-
ํ๊ตญ์์ฐ๊ธฐ์ ์ฐ๊ตฌ์์นํ๊ฒฝ์ฌ๋ฃ๊ณต์ ์ฐ๊ตฌ๊ทธ๋ฃน
(Green Materials & Processes Group, Korea Institute of Industrial Technology (KITECH),
Ulsan Regional 44413, Republic of Korea.)
Copyright ยฉ 2022 The Korean Institute of Metals and Materials
Key words
magnesium silicate, adsorbent, clay, glass fiber
1. ์ ๋ก
ํก์ฐฉ์ ์ ๊ฒฝ์ฐ ๊ณต๊ฐ์จ, ์ธ๊ณต์ฉ์ , ๋นํ๋ฉด์ ๋ฑ์ด ํฌ๊ณ , ๋ฐ๋๊ฐ ๋ฎ์์๋ก ํก์ฐฉ ํจ์จ์ด ์ฐ์ํ๋ค. ๊ทธ๋ ๊ธฐ์ ์ฐ์ํ ๋นํ๋ฉด์ ํน์ฑ์ ๊ฐ์ง ํ์ฑํ, zeolite,
magnesium silicate์ ๊ฐ์ ๋ฌผ์ง์ด ํก์ฐฉ์ ๋ก ๋๋ฆฌ ์ฌ์ฉ๋๊ณ ์๋ค. ํก์ฐฉ์ ์ค magnesium silicate๋ ํ์ฑํ๊ณผ ๊ฐ์ด ๋ค๊ณต์ฑ
๊ตฌ์กฐ๋ฅผ ๊ฐ์ง๊ณ ํ๋ฉด์ ์ด ๋๊ธฐ์ ํก์ฐฉ ๋ฅ๋ ฅ์ด ๋ฐ์ด๋๋ฉฐ, ํก์ฐฉ ์๋๊ฐ ๋น ๋ฅด๊ธฐ ๋๋ฌธ์ ๋๊ธฐ ์ค ์ค์ผ๋ฌผ์ง ์ ๊ฑฐ์ ํจ์จ์ ์ด๋ค. ๋ํ Na+, K+ ์ด์จ ๋ฐ ๊ธฐํ ์ด๋งค๋ฅผ ํก์ฐฉํ๋๋ฐ ํจ๊ณผ์ ์ด๊ณ , ํ์ฅํ์๋ ์ฌ์ฉ๋์ด ํผ๋ถ๋ ๋ชจ๋ฐ ๋ด ์๋ถ๊ณผ ์ ๋ถ ํก์๋ฅผ ์ฉ์ดํ๊ฒ ํ์ฌ ํก์์ , ๋ฒํน์ , ๋ถํฌ๋ช
ํ์ ๋ฑ์ผ๋ก
์ฌ์ฉ๋๊ณ ์๋ค. ํ์ง๋ง ํก์ฐฉ์ ๋ก์จ magnesium silicate๋ฅผ ํ์ฉํ ๊ฒฝ์ฐ ๋ถ๋ง ๊ทธ๋๋ก๋ฅผ ์ฌ์ฉํ๊ธฐ ํ๋ ๋ฐ, ์ด๋ ํก์ฐฉ ์์ฉ ์ ํก์ฐฉ๋ฌผ์ง์ด ์์ค๋๊ธฐ
์ฝ๊ณ , ํ์๊ฐ ์ด๋ ต๋ค๋ ๋จ์ ๋๋ฌธ์ด๋ค[1-4]. ์ด๋ฅผ ํด๊ฒฐํ๊ธฐ ์ํด ๋ถ๋ง ํํ์ ํก์ฐฉ๋ฌผ์ง์ ๊ฒฐํฉ์ ๋ฅผ ์ฒจ๊ฐํ๊ณ ์์ถ, ์ฌ์ถ, ํ ๋ ํ ๋ฑ์ ๊ณต์ ์ ํตํด ์ฑํ ๋ฅ๋ ฅ์ ๋ถ์ฌํจ์ผ๋ก์จ ํ์์ ๊ฐ์ง๋ ํก์ฐฉ์ ๋ก
๋ง๋ค์ด ์ฌ์ฉํ๊ณ ์๋ค [5]. ์์ถ์ฑํ์ ๊ฒฝ์ฐ ํผํฉ, ์์ถ, ํ์ง ๋ฐ ์๊ฒฐ์ ์ฐ์๋ ์ธ๋ถ๊ณต์ ์ผ๋ก ๊ตฌ์ฑ๋์ด ์์ผ๋ฉฐ, ๋ค์ํ ์ํ์ ์ ์ฒด๋ฅผ ์ฌ์ฉํ์ฌ ์ํ๋ ์ฑํ๋ฌผ์ ์ฐ์ ์์ฐ์ด
๊ฐ๋ฅํ๊ธฐ์ ์ฌ๋ฌ ์ฐ์
๊ณต์ ์์ ์ฌ์ฉ๋๊ณ ์๋ค. ๊ทธ๋ฌ๋ ์์ถ์ ๊ฐ ์ธ๋ถ ๊ณต์ ์ ๋ณ์๋ค์ ์๋ก ์ํฅ์ ๋ฏธ์น๊ธฐ ๋๋ฌธ์ ์๋ฃ์ ํจ๋, ํจ์์จ ๋ฑ์ ๊ฐ๋ณ ๋ณ์๋ฅผ
ํญ์ ๋
๋ฆฝ์ ์ผ๋ก ๋ณํ์ํฌ ์๋ ์๋ค.
ํก์ฐฉ์ ์ ์์ถ ๋ฐ ํ์ํ๋ฅผ ์ํด ์ฌ์ฉ๋๋ ์ฒจ๊ฐ์ ๋ ์ ๊ธฐ ๊ฒฐํฉ์ , ๋ฌด๊ธฐ๊ฒฐํฉ์ , ๋ณด๊ฐ์ ๋ฑ์ผ๋ก ๋๋ ์ ์์ผ๋ฉฐ, ๊ฒฐํฉ์ ์ ์ธ๋ผ๋ฏน ๋ถ๋ง์ ํผํฉ๋ฌผ์ ์ฑํ์ฑ์
๊ฒฐํฉ์ ์ ์ข
๋ฅ์ ํจ๋์ ๋ฐ๋ผ ์ฐจ์ด๊ฐ ๋๋ฉฐ ๊ฒฐํฉ์ ์ ํผํฉ๋์ด ์ฆ๊ฐํ ์๋ก ์ฑํ์ฒด์ ์๊ฒฐ์ฑ์ ์ ํ๋์ด ๊ณ ๋ฐ๋์ ์๊ฒฐ์ฒด๋ฅผ ์ป๊ธฐ๊ฐ ์ด๋ ต๋ค [6]. ์ฑํ์ฒด์์ ์ ๊ธฐ๊ฒฐํฉ์ ๋ ์์ฑ ์ ํก์ฐฉ์ ์ ํ์์ ์ง ์ญํ ์ ํ๋ฉฐ ์์ฑ๊ณผ์ ์์ ์ ๊ฑฐ๋๋ฉฐ ์ด ๊ณผ์ ์์ ๋ ๋ค๋ฅธ ๊ธฐ๊ณต์ ํ์ฑ์ํจ๋ค. ๋ฌด๊ธฐ๊ฒฐํฉ์ ์ ๋ณด๊ฐ์ ๋
์์ฑ ํ ํก์ฐฉ์ ํ์์ ์ ์งํ๋ ์ญํ ์ ํ๋๋ฐ ์์ฑ ๊ณผ์ ์์ ํก์ฐฉ์ ์ ๋ฐ์ฐฉํจ์ผ๋ก์จ ์ฑํ์ฒด์ ๊ฐ๋๋ฅผ ๋์ฌ์ฃผ์ด ์ต์ข
์ ์ผ๋ก ์ํ๋ ํ์์ ์ป๋ ๊ฒ์ ๋์์ค๋ค
[5,7]. ๋ํ ํ์ํ ๊ณผ์ ์์ ์์ฑ ์จ๋ ์ค์ ์ด ์ค์ํ๋ฐ, ์์ฑ ์จ๋๋ฅผ ๋๋ฌด ๋ฎ๊ฒ ์ค์ ํ ๊ฒฝ์ฐ ์ ๊ธฐ๊ฒฐํฉ์ ๊ฐ ์ถฉ๋ถํ ์ ๊ฑฐ๋์ง ์์ ๊ธฐ๊ณต์ ๊ฐ์์ํฌ ์ ์์ผ๋ฉฐ,
๋๋ฌด ๋์ ์จ๋๋ก ์ค์ ํ ๊ฒฝ์ฐ ์์ฌ๋ฃ ๋ฐ ์ฒจ๊ฐ๋ ๋ฌด๊ธฐ๊ฒฐํฉ์ ์ ์๊ฒฐ์ ์ํด ๋นํ๋ฉด์ ์ด ์ค์ด๋ค ์ ์๊ธฐ ๋๋ฌธ์ ์ ์ฌ๋ฃ ์์ฒด์ ํก์ฐฉ์ฑ๋ฅ์ ๋จ์ด๋จ๋ฆด ์
์๋ค [7-8]. ๊ทธ๋ ๊ธฐ์ ํ์ํ ๊ฐ๋๊ฐ ํ๋ณด๋๋ ๋ฌด๊ธฐ๊ฒฐํฉ์ ์ ๋ณด๊ฐ์ ์ ์ฒจ๊ฐ์ ๋ฐ๋ผ ํก์ฐฉ์ ๊ฐ ๊ฐ์ง๋ ๋นํ๋ฉด์ ์ด ๋ณํ๋๊ธฐ์ ๋ฌด๊ธฐ๊ฒฐํฉ์ , ๋ณด๊ฐ์ ์ ๋ฐฐํฉ๋น์ ์ ํฉํ
์์ฑ ์จ๋๋ฅผ ์ฐพ๋ ๊ฒ์ ํ์์ ์ด๋ค.
๋ณธ ์ฐ๊ตฌ์์๋ magnesium silicate๋ฅผ ํก์ฐฉ์ ๋ก ์ด์ฉํ ์, magnesium silicate์ ํ์ํ๋ฅผ ์ํ ๋ฌด๊ธฐ๊ฒฐํฉ์ ์ ๋ณด๊ฐ์ ์ ์ต์
๋ฐฐํฉ๋น ์ ์ ์ ์งํํ์์ผ๋ฉฐ, ์ด ๊ณผ์ ์์ ํก์ฐฉ์ ๋ก์จ ํน์ฑ์ ์ ์งํ ์ ์๋ ์์ฑ ์จ๋๋ฅผ ํน์ ํ๊ธฐ ์ํ ์คํ์ ์งํํ์๋ค. ๋ค์ํ ๋น์จ๋ก ์ ์กฐ๋ ์ฑํ์ฒด๋
์ด ์ค๋ ๋ถ์๊ธฐ(Thermo Gravimetric Analysis(TGA)), ๋นํ๋ฉด์ ์ธก์ ๊ธฐ(Brunauer-Emmett-Teller(BET)),
์ฃผ์ฌ์ ์ํ๋ฏธ๊ฒฝ(Scanning Electron Microscope(SEM))์ ์ด์ฉํ์ฌ ๋ณํ๋๋ ํน์ฑ์ ์ดํด๋ณด์์ผ๋ฉฐ, ์ด๋ฅผ ํตํด ์ต์ ์ ํก์ฐฉ์ฑ๋ฅ์
๋ํ๋ผ ์ ์๋ ์์ฑ ์จ๋์ ๋ฐฐํฉ๋น๋ฅผ ์ ์ ํ์๋ค.
2. ์คํ ๋ฐฉ๋ฒ
๋ณธ ์ฐ๊ตฌ์์ ์ฌ์ฉํ magnesium silicate(Giant Chemical. Co. Ltd, Korea)๋ SiO2๊ฐ 76.17%, MgO๊ฐ 17.74%๋ก ๋ฌผ๋ฆฌ์ ํน์ฑ์ ํ 1๊ณผ ๊ฐ์ผ๋ฉฐ, ์ด๋ฅผ ์๋ฃ๋ฌผ์ง๋ก ํ์ฌ poly vinyl alcohol(DAEJUNG Chemical.Co.Ltd, Korea)์ ์ ๊ธฐ๊ฒฐํฉ์ ๋ก, ๋ฌด๊ธฐ๊ฒฐํฉ์
clay(DAEJUNG Chemical.Co.Ltd, Korea)์ ๋ณด๊ฐ์ ๋ก 300 ยตm ๋จ์ผํฌ๊ธฐ์ ๋ฐฑ์๋ถ๋ง์ธ glass fiber(Milled Fiber
Glass, Korea)๋ฅผ ์ ์ ํ์ฌ ํก์ฐฉ ์ฑํ์ฒด๋ฅผ ์ ์กฐํ์๋ค. Magnesium silicate์ ๋ฌด๊ธฐ๊ฒฐํฉ์ ๋น์จ์ 11~19 wt%๋ก ๋ณํ์ํค๊ณ ,
๋ณด๊ฐ์ ๋ํ 4~16 wt%๋ก ๋ค์ํํ์ฌ ํผํฉํ์์ผ๋ฉฐ, ํผํฉ๋ ์ํ์ 80 ยฐC์์ 24 hr ๊ฑด์กฐํ ๋ค, ์์ฑ์ ๊ฑฐ์ณ ์ฑํ์ฒด๋ฅผ ์ ์กฐํ์๊ณ , ๊ฐ ์ํ์
๋ฐฐํฉ๋น๋ ํ 2์ ๋ํ๋ด์๋ค.
์ฐ์ ์์ฑ ์จ๋์ ์ฐจ์ด์ ๋ฐ๋ฅธ ๋ฌผ๋ฆฌ ํํ์ ํน์ฑ ์ฐจ์ด๋ฅผ ํ์ธํ๊ธฐ ์ํด ์์ฑ ์จ๋๋ฅผ 400 ยฐC, 600 ยฐC, 800 ยฐC๋ก ๋ณํ์์ผฐ์ผ๋ฉฐ, ์ด ๊ฒฐ๊ณผ๋ก
์ต์ ์ ์์ฑ ์จ๋๋ฅผ ์ค์ ํ ๋ค ๋ฌด๊ธฐ๊ฒฐํฉ์ ์ ๋ณด๊ฐ์ ์ ํจ๋์ ๋ค๋ฅด๊ฒ ํ์ฌ ๋ณํ๋๋ ๋ฌผ๋ฆฌ ํํ์ ํน์ฑ์ ํ์ธํ์๋ค. ๋ฐฐํฉ๋น์ ์์ฑ ์จ๋์ ๋ฐ๋ฅธ ๋ฌผ์ง์
์ง๋ ๋ณํ๋ฅผ ๊ด์ฐฐํ๊ธฐ ์ํด ์ด์ค๋ ๋ถ์(TGA/DSC 3+, Switzerland)์ ์งํํ์์ผ๋ฉฐ, ๋นํ๋ฉด์ (NOVA 2000e, America)
๋ถ์์ ํตํด ๋ฌผ์ง์ ๋นํ๋ฉด์ ๊ณผ ๊ธฐ๊ณต์ ๋ณํ๋ฅผ ํ์ธํ์๋ค. ๋ํ ๋ฏธ์ธ ๊ตฌ์กฐ ๋ณํ๋ฅผ ๊ด์ฐฐํ๊ธฐ ์ํด SEM(SU8020, Japan) ๋ถ์์ ์งํํ์๋ค.
๊ฐ ๋ฐฐํฉ๋ณ๋ก ์ ์กฐ๋ ์ฑํ์ฒด๋ ์ง๊ณต์์ถ์ฑํ๊ธฐ(VEXT-080~130, MINO, Korea)๋ฅผ ์ฌ์ฉํ์ฌ ํ ๋ ํํ๋ก ์์ถํ์์ผ๋ฉฐ, ์์ถ๋ ์ํธ์ ๊ฐ๋๋
์ธ์ฅ์์ถ์ํ๊ธฐ(DS2 OPTECH, China)๋ฅผ ํตํด ์์ถ๊ฐ๋๋ฅผ ์ธก์ ํ์๋ค. ์ต์ข
์ ์ผ๋ก ์ ํ๋ ์ฑํ์ฒด๋ 80 ยฐC์์ 4์๊ฐ ์ด์ ์ ์ฒ๋ฆฌ ํ, 3
flex adsorption analyzer (micromeritics, US)๋ฅผ ์ด์ฉํ์ฌ ์์จ(25 ยฐC)์์ ์๋์๋ ฅ(P/P0)์ ๋ฐ๋ฅธ CO2 ํก์ฐฉ๋ ํ
์คํธ๋ฅผ ์งํํ์ฌ CO2 ํก์ฐฉ์ ๋ก์ ์ฌ์ฉ ๊ฐ๋ฅ์ฑ์ ํ์ธํ์๋ค.
3. ๊ฒฐ๊ณผ ๋ฐ ๊ณ ์ฐฐ
3.1. ์์ฑ ์จ๋์ ๋ฐ๋ฅธ ์ฑํ์ฒด ํน์ฑ
์ ๊ธฐ๊ฒฐํฉ์ ๋ฅผ ์๋ฒฝํ ์ ๊ฑฐํ ์ ์๋ ์์ฑ ์จ๋์ ์จ๋๋ณ ์ง๋ ๊ฐ์๋ฅผ ํ์ธํ๊ธฐ ์ํด ํ 2์ ๋ํ๋ธ ๊ฒ๊ณผ ๊ฐ์ด A1 ๋ฐฐํฉ์ผ๋ก ํก์ฐฉ ์ฑํ์ฒด๋ฅผ ์ ์ํ์์ผ๋ฉฐ A1 ์ํ์ TGA ๊ฒฐ๊ณผ๋ฅผ ๊ทธ๋ฆผ 1(A)์ ๋ํ๋ด์๋ค. TGA ๊ฒฐ๊ณผ๋ฅผ ๋ณด๋ฉด 100 ยฐC๊น์ง H2O์ ์ฆ๋ฐ๋ก ์ธํด ์ฝ 18%์ ์ง๋ ๊ฐ์๊ฐ ๊ด์ฐฐ๋๊ณ , ์ฝ 350 ยฐC๊น์ง ๊ฒฐ์ ์์ ์ฆ๋ฐ๊ณผ ์ ๊ธฐ๊ฒฐํฉ์ ์ ์ฐ์๋ก ์ธํด ๊ธ๊ฒฉํ ์ง๋ ๊ฐ์๋ฅผ ๋ณด์๋ค [7-9]. ๋ํ, 350~600 ยฐC ์ฌ์ด์์ ์ฝ 9%์ ์ง๋ ๊ฐ์๊ฐ ์์ํ ์ผ์ด๋๋๋ฐ, ์ด๋ 350 ยฐC ์ดํ์ ์จ๋์์ ์ ๊ฑฐ๋์ง ์์ ์ ๊ธฐ ๊ฒฐํฉ์ ๊ฐ
์กด์ฌํจ์ ์ ์ ์๋ค [9]. ๋ฐ๋ผ์ 400 ยฐC ์ดํ๋ก ์์ฑ ์จ๋๋ฅผ ์ค์ ํ ๊ฒฝ์ฐ ์ ๊ธฐ๊ฒฐํฉ์ ๊ฐ ์๋ฒฝํ ์ ๊ฑฐ๋์ง ์์ ๊ธฐ๊ณต ํน์ฑ์ ๊ฐ์์ํค๋ ๋ฌธ์ ๊ฐ ๋ฐ์ํ ์ ์๋ค [8-9]. ์ค์ ๊ฐ ์ฒจ๊ฐ์ ์ TAG ๊ฒฐ๊ณผ๋ฅผ ๋ํ๋ธ ๊ทธ๋ฆผ 1(B)๋ฅผ ๋ณด๋ฉด 600 ยฐC์ดํ์ ์จ๋์์ ๋๋ถ๋ถ์ ์ ๊ธฐ๊ฒฐํฉ์ ๊ฐ ์ ๊ฑฐ๋จ์ ํ์ธํ ์ ์๋ค. ๋ํ 400 ยฐC์์ ์์ฑ์ํจ 4A1์ ๊ฒฝ์ฐ ์งํ ๊ฐ์์ ๋ํ๋ด๊ณ ,
6A1์ 8A1์ ๊ฒฝ์ฐ ํ๋ฐฑ์์ ๋ณด์ด๋๋ฐ, ์ด์ ๊ฐ์ ์์ ๋ณํ๋ ์ ๊ธฐ๊ฒฐํฉ์ ์ ์์กด ์ ๋ฌด์ ์ํ ๊ฒ์ผ๋ก ๋ถํด๋์ง ์์ ํ์๊ฐ ๋ฏธ์ธ๊ตฌ์กฐ๋ฅผ ๋ณ์์ํค๋
โ๊ฒ์์ฌโ(black coring)ํจ๊ณผ๋ผ ํ ์ ์๋ค [20]. ๊ทธ๋ฆผ 1์ TGA ๋ถ์ ๊ฒฐ๊ณผ๋ก ํ์ธํ ๊ฒ๊ณผ ๊ฐ์ด 400 ยฐC๋ ๋ถ๊ทผ์์ ๋จ์์๋ ์ ๊ธฐ๊ฒฐํฉ์ ์ ํ์ ์ฑ๋ถ์ด ์์ฑ ์จ๋์ ์์น์ ๋ฐ๋ผ ์ ๊ฑฐ๋จ์ผ๋ก์จ ์์์ด ๋ณํํ
๊ฒ์ผ๋ก ํ๋จ๋๋ค. ์์ฑ ๊ณผ์ ์ ํตํด ๋ฌด๊ธฐ๋ฌผ์ง์ ์ ์ธํ ์ ๊ธฐ๋ฌผ๋ค์ด ์ฐ์๋๋ฉด์ ๊ณต๊ทน์ ํ์ฑํ๊ณ , ์ฑํ์ฒด์ ์๊ฒฐ ํ์์ด ๋ฐ์ํ์ฌ ๋ฌด๊ธฐ๊ฒฐ ํฉ์ ๊ฐ ์์ฌ๋ฃ์
๋จ๋จํ ๋ฐ์ฐฉ๋์ด ์๊ฒฐ๋๋ฏ๋ก ๋์ ๊ธฐ๊ณ์ ๊ฐ๋๋ฅผ ์ป์ ์ ์๋ค. ์ด์ ์์ฑ ์จ๋๋ฅผ ์ค์ ํจ์ ์์ด, ์์ฌ๋ฃ์ ํก์ฐฉ์ฑ๋ฅ์ ์ ์งํ๊ธฐ ์ํด์๋ ๋นํ๋ฉด์ ์ ํฌ๊ฒ
ํด์น์ง ์๋ ๊ฒ์ด ์ค์ํ๋ค.
์์ฑ ์จ๋์ ๋ฐ๋ฅธ ๋นํ๋ฉด์ ๊ณผ ๊ธฐ๊ณต ๋ถํผ์ ๋ณํ๋ฅผ ํ 3์ ๋ํ๋ด์์ผ๋ฉฐ ํ 1์์ magnesium silicate์ ๋นํ๋ฉด์ ์ 214.87 mยฒ/g, ๊ธฐ๊ณต ๋ถํผ๋ 0.4305 cm3/g, ๊ธฐ๊ณต ํฌ๊ธฐ๊ฐ 80.15 ร
์์ ํ์ธํ ์ ์๋ค. ํ 3์ ๋ณด๋ฉด 400 ยฐC๋ก ์์ฑํ 4A1์ 194.20 mยฒ/g์์ 600 ยฐC๋ก ์์ฑํ 6A1์ ๊ฒฝ์ฐ 83.24 mยฒ/g์ผ๋ก ๋ฐ๊ฐํ์๊ณ , 800 ยฐC๋ก
์์ฑํ 8A1์ 1.91 mยฒ/g์ผ๋ก ์์ฑ ์จ๋๊ฐ ๋์์ง์๋ก ๋นํ๋ฉด์ ์ด ๊ธ๊ฒฉํ ๊ฐ์ํ ๊ฒ์ ํ์ธํ ์ ์๋ค. ๊ธฐ๊ณต์ ๋ถํผ ์ญ์ 4A1์ ๊ฒฝ์ฐ 0.3539
cm3/g์์ 6A1๋ 0.2831 cm3/g๋ก ์ฝ๊ฐ์ ๊ฐ์๊ฐ ์ผ์ด๋ ๋ค 8A1์์๋ 0.0051 cm3/g๋ก ๊ธ๊ฒฉํ ๊ฐ์ํ ๊ฒ์ ๊ด์ฐฐํ ์ ์๋ค. ๊ทธ๋ฌ๋ ๊ธฐ๊ณต ํฌ๊ธฐ์ ๊ฒฝ์ฐ 6A1์ด ๊ฐ์ฅ ๋์ 136.04 ร
๊ฐ ๋ํ๋ฌ๋๋ฐ, ์ด๋ ์ ๊ธฐ๊ฒฐํฉ์ ๊ฐ ์ฐ์๋๋ฉด์
ํ์ฑํ ๊ณต๊ทน์ ์ํฅ์ด๋ผ ํ๋จ๋๋ฉฐ 8A1์ ๊ฒฝ์ฐ ๊ธฐ๊ณต ํฌ๊ธฐ๊ฐ ๋ค์ ์ค์ด๋ค์ด 105.75 ร
์ผ๋ก ๋ํ๋๋ค. ์ด์ฒ๋ผ ์์ฑ ์จ๋๊ฐ ๋์์ง์๋ก ๋นํ๋ฉด์ ๊ณผ ๊ธฐ๊ณต
๋ถํผ๊ฐ ๊ฐ์ํ๋ ๊ฒ์ ์๊ฒฐ ํ์์ ์ํด magnesium silicate์ ์์ง์ด ์ผ์ด๋ ๊ธฐ๊ณต ํน์ฑ์ด ๊ฐ์ํ๊ธฐ ๋๋ฌธ์ด๋ค [11].
SEM ๋ถ์์ ํตํด ์์ฑ ์จ๋์ ๋ฐ๋ฅธ ๋ฏธ์ธ๊ตฌ์กฐ ๋ณํ๋ฅผ ํ์ธํด ๋ณด๋ฉด, ํ 3์ ๊ธฐ๊ณตํน์ฑ ๋ณํ์ ์ ์ฌํ ๋ชจ์ต์ ๋ณด์ด๋๋ฐ ๊ทธ๋ฆผ 2(A)์ ๊ฒฝ์ฐ ๋ค๊ณต์ฑ ๊ตฌ์กฐ์ ๋จ๋ฉด์ด ๊ด์ฐฐ๋์ด ๋์ ๋นํ๋ฉด์ ๊ฐ์ ๋ํ๋ด๋ฉฐ, ๊ทธ๋ฆผ 2(B)๋ ์์ฑ ์จ๋๊ฐ ์ฆ๊ฐํ๋ฉด์ ์
์๋ค์ด ์กฐ๋ฐํด์ง๋ฉฐ ๋นํ๋ฉด์ ์ ๊ฐ์ํ์์ง๋ง, ์ ๊ธฐ๊ฒฐํฉ์ ์ ์ ๊ฑฐ๋ก ์ธํด ์ถ๊ฐ์ ์ธ ๊ธฐ๊ณต์ด ํ์ฑ๋์์์ ๊ด์ฐฐํ ์ ์๋ค [5]. ๊ทธ๋ฆผ 2(C)๋ 800 ยฐC์์ ์ ๊ธฐ๊ฒฐํฉ์ ๊ฐ ์์ ํ ์ฐ์๋๋ฉด์ ํ์ฑ๋ ๊ณต๊ทน์ ์กด์ฌ๊ฐ ํ์ธ๋์ง๋ง ๋์ ์์ฑ ์จ๋๋ก ์ธํ์ฌ ์๊ฒฐ ํ์์ด ์ผ์ด๋ magnesium silicate๊ฐ
์ฉ์ต๋์๋ค๊ฐ ๋ค์ ์์ง๋์ด ํ๋๋ก ๋ญ์ณ์ง ๋ชจ์ต์ ๋ณผ ์ ์๋ค. ๊ทธ๋ฆผ 3์ ๋ํ๋ ์์ฑ ์จ๋๋ณ ๊ฐ๋๊ฐ์ ๋ณด๋ฉด ์์ฑ ์จ๋๊ฐ ์ฆ๊ฐํ ์๋ก ๊ฐ๋๊ฐ์ ์ฆ๊ฐํ๋ฉฐ ํนํ 800 ยฐC์์ ์์ฑ ์ ๊ฐ๋๊ฐ์ 31.64 N์ผ๋ก ํฌ๊ฒ ์ฆ๊ฐํ์๋ค.
์ด๋ ๊ทธ๋ฆผ 2์ SEM ๊ฒฐ๊ณผ์์๋ ๋ํ๋๋ฏ magnesium silicate์ ์๊ฒฐ ํ์์ผ๋ก ์ธํด ๊ฐ๋๊ฐ ์ฆ๊ฐํ ๊ฒ์ด๋ผ ํ ์ ์์ผ๋ฉฐ ์ด๋ก ์ธํด ๋ฎ์ ๋นํ๋ฉด์
ํน์ฑ์ด ํ์ธ๋์๋ค. Magnesium silicate๋ฅผ ํก์์ ๋ก ์ฌ์ฉํ๊ธฐ ์ํด์ ๋์ ๋นํ๋ฉด์ ๊ฐ์ด ํ์์ ์ธ๋ฐ ์ด ๊ฒฐ๊ณผ๋ฅผ ํตํด ์์ฑ ์จ๋๋ฅผ 600
ยฐC๋ก ์ค์ ํ ์ ์ ๊ธฐ๊ฒฐํฉ์ ๊ฐ ์ ๊ฑฐ๋๊ณ , ์ด๋ก ์ธํด ์๊ธด ๊ณต๊ทน์ผ๋ก ํก์ฐฉํน์ฑ์ ๋์ผ ์ ์๊ธฐ์ ํก์ฐฉ์ด ๊ฐ๋ฅํ ๋นํ๋ฉด์ ์ ํ๋ณด๊ฐ ๊ฐ๋ฅํ ๊ฒ์ผ๋ก ํ๋จ๋๋ค.
3.2. ๋ฌด๊ธฐ๊ฒฐํฉ์ ์ ๋ณด๊ฐ์ ์ฒจ๊ฐ์ ๋ฐ๋ฅธ ์ฑํ์ฒด์ ํน์ฑ ๋ณํ
Magnesium silicate๋ฅผ ํก์ฐฉ์ ๋ก ํ์ํํ์ฌ ์ฌ์ฉํ๊ธฐ ์ํด ๋ฌด๊ธฐ๊ฒฐํฉ์ ์ ๋๋ถ์ด ๊ฐ๋๋ฅผ ๋ณด๊ฐํ ์ ์๋ ๋ณด๊ฐ์ ์ฒจ๊ฐ๋ ์ต์ ํ ์ฐ๊ตฌ๋ฅผ ์งํํ์๋ค.
๋ฌด๊ธฐ๊ฒฐํฉ์ ์ธ clay๋ ๋์ ํ๋ฉด์ (700~800 mยฒ/g)์ ๊ฐ์ง๋ฉฐ ์ฌ๋ฃ ์ฌ์ด์ ์ํธ์ธ๋ ฅ์ผ๋ก ์ธํด ๋ณตํฉ์ฌ๋ฃ๋ด์ ์๋ ฅ ์ ์ด๊ฐ ์ฉ์ดํ์ฌ ๊ธฐ๊ณ์ , ์ด์
์ฑ์ง์ด ์ฆ๊ฐํ๋ค๋ ๊ฒ์ ์ด๋ฏธ ์ ์๋ ค์ ธ ์๋ค [7-8,11]. ๋ํ ๋์ ์ข
ํก ๋น๋ฅผ ๊ฐ์ง๋ clay๋ค์ด ์ฌ๋ฃ ๋ด์์ ์ผ์ ํ ๋ฐฉํฅ์ผ๋ก ๋ฐฐ์ด๋๋ค๋ฉด ๋ฌผ์ง์ด ํฌ๊ณผ๋๋ ๊ฒฝ๋ก๋ฅผ ์ฆ๊ฐ์์ผ ๊ฐ์ค ํฌ๊ณผ ์ต์ ์ฑ์ ๋ฌผ๋ก ์ ์ฐ์ฑ,
๋ด์ฉ๋งค์ฑ, ๋ด์ด์ฑ ๋ฑ์ ์ฅ์ ๋ ๊ฐ์ง ์ ์๋ค [12-13].
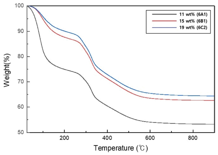
Clay์ ํจ๋์ 11 wt%, 15 wt%, 19 wt%๋ก ๋ณํ์ํจ ์ํ์ ์ ์ํ์์ผ๋ฉฐ, ๊ฐ ์ํ์ ์ด์ ๊ฑฐ๋์ ๊ทธ๋ฆผ 4์ ๋ํ๋ด์๋ค. Clay 15 wt%๋ฅผ ์ฌ์ฉํ 6B1์ 19 wt%์ 6C2๋ 11 wt%๋ฅผ ์ฌ์ฉํ 6A1๊ณผ ์ ์ฌํ ํจํด์ ์ง๋ ๊ฐ์๋ฅผ ๋ณด์ด๋, clay์
ํจ๋์ด ์ฆ๊ฐํ ์๋ก ์ง๋๊ฐ์ ํญ์ ์๊ฒ ๋ํ๋๋๋ฐ, ์ด๋ clay๊ฐ ์ด์ด ์ด๋ํ๋ ๊ฒฝ๋ก๋ฅผ ์ฐจ๋จํ์ฌ H2O์ ์ฆ๋ฐ๊ณผ ์ ๊ธฐ๊ฒฐํฉ์ ์ ์ฐ์๋ฅผ ๋ฐฉํดํ๊ธฐ ๋๋ฌธ์ด๋ค [11]. ํ 4์ clay ํจ๋์ ๋ฐ๋ฅธ ๊ธฐ๊ณตํน์ฑ์ ์ดํด๋ณด๋ฉด clay ํจ๋์ด ์ฆ๊ฐํ ์๋ก clay์ ์ํฅ์ผ๋ก ๋นํ๋ฉด์ ์ 83.24 mยฒ/g์์ 93.52 mยฒ/g๋ก
์ํญ ์ฆ๊ฐํ๋ ๊ธฐ๊ณต์ ๋ถํผ์ ํฌ๊ธฐ๋ ๊ฐ์ํ์๋ค. ๋ํ ๊ทธ๋ฆผ 6(A)์ clay ํจ๋์ด ์ฆ๊ฐํ ์๋ก ์ํ์ด ๊ฐ์ง๋ ๊ฐ๋๊ฐ์ ๋ณด๋ฉด 2.98 N์์ 5.03 N์ผ๋ก ์ฝ 40% ์ฆ๊ฐํ์๋ค. ๊ทธ๋ฌ๋ clay ํจ๋์ด ์ฆ๊ฐํ ์๋ก
๊ทธ๋ฆผ 5์ ๊ฐ์ด ์์ถ์ ํตํ ์ฐ์์ ์ธ ํ ๋ ์ฑํ์ ๋ถ๊ฐํจ์ ํ์ธํ์๋ค.
Clay๋ ๋
ํนํ ๊ฐ์์ฑ์ ๊ฐ์ง๋ ์นด์ฌ๋ฆฌ๋์ดํธ [Al(Si2O5)(OH)2] ๊ตฌ์กฐ๋ก 450~700 ยฐC์์ ๋ฉํ์นด์ฌ๋ฆฐ(Al2Si2O6)์ด ์์ฑ๋๋ฉด์ ๊ฒฐ์ ์๊ฐ ์ ๊ฑฐ๋๋๋ฐ, ์ด๋ ์ฉ์ต ํ์์ด ๋ฐ์ํ๋ค. Clay์ ๊ฐ์ ๊ฐ์์ฑ์ ์ง๋ ์ฌ๋ฃ๋ค์ ์ด๋๋ ์
์ ๋ณธ์ฐ์ ๋ชจ์์ ์์ง ์๊ณ ๋ ์น๋ฐํํ์ฌ
๊ฐ๋๋ฅผ ๋ฐํํ๊ฒ ํ๋ค [14-15]. ์ฑํ์ฒด๋ฅผ ์ ์ํ ๋ ์์ฑ๊ณต์ ์ ์ถ๊ฐํ๋ ๊ฒ์ ์ฌ๋ฃ๋ฅผ ๋จ๋จํ๊ฒ ํ๋ ์น๋ฐํ ๋จ๊ณ๋ฅผ ๋ถ์ฌํ๊ธฐ ์ํ ๊ฒ์ด๋ฉฐ ์
์๊ฐ ์น๋ฐํ ๋ฐ์์ ํ๋ฉด์๋์ง์ ์ํ
๋ชจ์ธ๊ด๋ ฅ์ด ์์กดํ๊ณ ์ด ํ์ ์
์์ ํฌ๊ธฐ์ ๋ฐ๋น๋กํ๋ค. ์น๋ฐํ๋ฅผ ์ํํ๊ฒ ํ๋๋ฐ๋ ์๋น๋์ ๋ฏธ๋ฆฝ์๊ฐ ํ์ํ๋ฐ, ๋ณธ ํก์ฐฉ ์ฑํ์ฒด์์ ์ด ๋ฏธ๋ฆฝ์ ์ญํ ์
clay๊ฐ ๋์ ํ๋ ๊ฒ์ผ๋ก ํ๋จ๋๋ค. ์ผ๋ฐ์ ์ผ๋ก ์
์๊ฐ ํผํฉ๊ณ์์ ์กฐ๋ฆฝ 70%์ ๋ฏธ๋ฆฝ 30%์ ํผํฉ๊ณ๊ฐ ์ต๊ณ ์ ์ถฉ์ ๋ฐ๋๋ฅผ ํ์ฑํ๋ค ์๋ ค์ ธ ์์ผ๋ฉฐ ๋ฏธ๋ฆฝ์๊ฐ
30% ๊ฐ๊น์ด ์ฑ์์ก์ ๋ ์์ฑ์ค๋ฏธ๋ฆฝ์ด ์กฐ๋ฆฝ ์ฌ์ด๋ฅผ ๊ฝ ์ฑ์ ์ ์ฒด ์์ถ๋ฅ ์ ์ํฅ์ ์ฃผ์ง ์์ผ๋ฉด์ ์น๋ฐํ๋ฅผ ํ์ฑํ ์ ์๋ค [15]. ๊ทธ๋ฌ๋ ํก์ฐฉ ์ฑํ์ฒด๋ก ์ฌ์ฉํ ์ clay ํจ๋์ ๋ฌดํ์ ์ฆ๊ฐํ๊ฒ ๋๋ฉด ํก์ฐฉ ๋ฌผ์ง์ ์ด๋ ๊ฒฝ๋ก๊ฐ ์ฐจ๋จ๋๋ค๋ ๋จ์ ์ด ์๋ค. ๊ทธ๋ ๊ธฐ์ ์คํ๊ฒฐ๊ณผ๋ฅผ ๋ฐํ์ผ๋ก
clay ํจ๋์ 15 wt%๋ก ๊ณ ์ ํ๊ณ ๋ณด๊ฐ์ ์ธ glass fiber์ ํจ๋์ 4~16 wt%๋ก ๋ฌ๋ฆฌํ์ฌ ์ํ์ ์ ์ํ๊ณ ๋นํ๋ฉด์ ๋ณํ๋ฅผ ํ์ธํ์๋ค
[26-27].
Glass fiber๋ ์ ๋ฆฌ์๋ฃ๋ฅผ 1,500~1,600 ยฐC์ ๊ณ ์จ์์ ์ฉ์ต ๋ฐฉ์ฌํ์ฌ ์ป์ ์ฌ์ ํํ์ ๋ฌด๊ธฐ๋ฌผ๋ก ๋ณตํฉ์ฌ๋ฃ๋ก ๋ง์ด ์ฌ์ฉํ๋ฉฐ, ์ผ๋ฐ ์ ๋ฆฌ๊ฐ
๊ฐ์ง๋ ํฌ๋ช
์ฑ, ๋ถํ์ฑ ๋ฐ ๋ด์ฝํ์ฑ๊ณผ ์ฌ์ ์ ํน์ฑ์ธ ์ ์ฐ์ฑ(flexibility), ๊ฐ๋ฒผ์(lightness of weight), ๊ฐ๋ ํน์ฑ๋ฟ๋ง ์๋๋ผ
ํ๊ดด ๋ณํ๋ฅ ์ด ํฌ๋ฉฐ ์ฑํ์ฒด์ ์ฐ์ฑ์ ์ธ ํน์ฑ์ ๋ถ์ฌํ๋ค [16]. Glass fiber ํจ๋์ด ์ฆ๊ฐํ ์๋ก ์ฑํ์ฒด๊ฐ ๊ฐ์ง๋ ๋นํ๋ฉด์ ์ด 87 mยฒ/g์์ 60.98 mยฒ/g๋ก, ๊ธฐ๊ณต๋ถํผ๊ฐ 0.34 m2/g์์ 0.14
m2/g๊น์ง ๊ฐ์ํ์์ผ๋, ๊ธฐ๊ณตํฌ๊ธฐ๋ 126~128 ร
๋ก ์ ์ฌํ๊ฒ ์ธก์ ๋์๋ค. ์ด๋ ์นจ์ ํํ์ธ glass fiber์ ํจ๋์ด ์ฆ๊ฐํ ์๋ก ์ฑํ์ฒด๊ฐ
๊ฐ์ง๋ ๊ธฐ๊ณต์ ๋ง์ ๊ฒ์ผ๋ก ํ๋จ๋๋ฉฐ ๊ทธ๋ฆผ 7์ SEM ์ฌ์ง์ ํตํด์๋ ํ์ธ์ด ๊ฐ๋ฅํ๋ค. ๋ํ Glass fiber์ ํจ๋์ด ์ฆ๊ฐํ ์๋ก ์์ฌ๋ฃ์ ์๋ก ์ํค์ด ๊ฐ๋ ์ฆ๊ฐ ์์๋ก ์์ฉํ๊ณ , ๊ฐ๋๊ฐ์ด
4.47 N์์ 7.52 N๊น์ง ์ฆ๊ฐํ์๋ค. Glass fiber์ ๊ฒฝ์ฐ ์ฑํ์ฒด์ ํ๊ดด๊ฐ ๋ฐ์ํ ์ fiber์ด ๊ท ์ด์ ๊ฐ๊ต(bridging)์ญํ ์
ํ์ฌ ๊ท ์ดํญ์ด ์ฆ๊ฐํ๋ ๊ฒ์ ์ต์ ํ์ฌ ํ๊ดด๋ฅผ ์ง์ฐ์ํค๊ฒ ๋๋ค. ๊ทธ๋ฆผ 8์ ๋ณด๋ฉด ์ฑํ์ฒด์ ์ด๊ธฐ๊ท ์ด์ glass fiber์ ์ํฅ๋ณด๋ค ์ฑํ์ฒด์ ํน์ฑ์ ๋ฐ๋ผ ๊ฒฐ์ ๋๋ฉฐ ์ฑํ์ฒด ๋ด๋ถ์ ์กด์ฌํ๊ณ ์๋ ๊ณต๊ทน ๋๋ ๊ณ๋ฉด์์ ์ด๊ธฐ๊ท ์ด์ด
๋ฐ์๋๋ค. ์ด๊ธฐ ๊ท ์ด์ ์ ์ง์ ์ผ๋ก ์ธ์ ํ ๊ท ์ด๋ค๊ณผ ์ฐ๊ฒฐ, ํตํฉ๋์ด ํญ์ ํค์ฐ๊ฒ ๋๋ฉด์ ํฐ ๊ท ์ด๋ก ์ฑ์ฅํ๊ฒ ๋๋๋ฐ ์ด๋ ๊ท ์ด๊ณผ ๊ท ์ด ์ฌ์ด์์ glass
fiber์ด ๊ฐ๊ต ์ญํ ์ ํ์ฌ ๊ท ์ด์ ์ต์ ์ํจ๋ค [17-18]. ๊ทธ๋ ๊ธฐ์ glass fiber์ ํจ๋์ด ์ฆ๊ฐํ ์๋ก ์ฑํ์ฒด ์
์ ์ฌ์ด ๊ฐ๊ต์๊ฐ ๋ง์์ ธ ๊ฐ๋๊ฐ ์ฆ๊ฐํ๊ฒ ๋๋ ๊ฒ์ด๋ค.
์ฝ 87 mยฒ/g์ ๋นํ๋ฉด์๊ณผ 4.63 N์ ๊ฐ๋๊ฐ์ ๋ณด์ด๋ 6B1 ์ฑํ์ฒด์ ๋ํ CO2 ํก์ฐฉ ํ
์คํธ๋ฅผ ์งํํ์์ผ๋ฉฐ, 25 ยฐC ๋๊ธฐ์์์ ์ฝ 0.41 mmol/g์ CO2 ํก์ฐฉ๋์ ๋ณด์ด๋ ๊ฒ์ ํ์ธํ์๋ค. ์ด๋ ๋์ผ ์กฐ๊ฑด์์ zeolite์ CO2 ํก์ฐฉ๋(0.27~0.48 mmol/g)๊ณผ ์ ์ฌํ ์์น์ธ๋ฐ, magnesium silicate, zeolite์ ๊ฐ์ ๊ณ ์ฒด ํก์ฐฉ์ ๋ ํ์ฑํ๊ณผ ๋ค๋ฅด๊ฒ
๋ฏธ์ธ๊ธฐ๊ณต์ด ๋ฐ๋ฌ๋์ด ์์ง ์๊ธฐ ๋๋ฌธ์ ๋ฌผ๋ฆฌ์ ์ธ ํก์ฐฉ๊ธฐ์ ์ผ๋ก CO2๋ฅผ ํฌ์งํจ์ผ๋ก ์ ํ์ ์ผ๋ก CO2๋ฅผ ํก์ฐฉํ๋ ๋ฅ๋ ฅ์ด ๋ฎ์ ๋ฌธ์ ์ ์ด ๋ณด๊ณ ๋๊ณ ์๋ค [19-20]. ๊ทธ๋ฌ๋ zeolite์ ๋น๊ตํ ์ ์ฑํ์ ์ํด ์ฒจ๊ฐ๋ ๋ฌด๊ธฐ์ฒจ๊ฐ์ ๊ฐ CO2 ํก์ฐฉ์ ๋ฏธ์น๋ ์ํฅ์ด ๊ฑฐ์ ์์์ ํ์ธํ์๋ค.
4. ๊ฒฐ ๋ก
๋ณธ ๋
ผ๋ฌธ์์๋ magnesium silicate ํก์ฐฉ๋ฌผ์ง ์ ์กฐ๋ฅผ ์ํด ์์ฑ ์จ๋์ ์ฐจ์ด๊ฐ ํก์ฐฉ๋ฌผ์ง์ ๋ฏธ์น๋ ์ํฅ์ ํ์
ํ๊ณ ๋ฌด๊ธฐ๊ฒฐํฉ์ ์ ๋ณด๊ฐ์ ๋ฅผ ์ฒจ๊ฐํ์ฌ
๊ทธ ํน์ฑ ๋ถ์์ ์งํํ์์ผ๋ฉฐ, ํก์ฐฉ ํน์ฑ์ ์ํฅ์ ๋ฏธ์น์ง ์๋ ์์ฑ ์จ๋๋ฅผ TGA, BET, SEM ๋ถ์์ ํตํด ํ์ธํ์๋ค. 800 ยฐC์ ๋์ ์จ๋์์๋
์๊ฒฐ ํ์์ผ๋ก ์ธํด ์
์๋ค์ด ์น๋ฐํ ๊ตฌ์กฐ๋ฅผ ํ์ฑํ์ฌ ๊ฐ๋๋ ์ฆ๊ฐํ๋ ์
์๊ฐ ์์ง์ผ๋ก ์ธํด ๋๋ถ๋ถ์ ๊ธฐ๊ณต์ด ์๋ฉธํ์๊ณ , 600 ยฐC๋ก ์์ฑํ๋ ๊ฒฝ์ฐ
์ ๊ธฐ๊ฒฐํฉ์ ๊ฐ ์์ ํ๊ฒ ์ ๊ฑฐ๋๋ฉด์ ์ด๋ก ์ธํ ์ถ๊ฐ์ ์ธ ๊ธฐ๊ณต์ ์ป์์ผ๋ก์จ ํก์ฐฉ์ ๋ก์จ ๊ธฐ๊ณต ํน์ฑ์ ๋์ผ ์ ์์๋ค. ๋ฌด๊ธฐ๊ฒฐํฉ์ ์ ํจ๋์ด ์ฆ๊ฐํ ์๋ก ํก์ฐฉ๋ฌผ์ง์ด
๊ฐ์ง๋ ๊ฐ๋ ๊ฐ์ ์ฝ 40%๊น์ง ์ฆ๊ฐํ์์ผ๋ ๋ฌด๊ธฐ๊ฒฐํฉ์ ์ ํจ๋์ด ์ฆ๊ฐํ ์๋ก ํก์ฐฉ๋ฌผ์ง์ ์ด๋๊ฒฝ๋ก๊ฐ ์ฐจ๋จ๋ ์ ์๊ธฐ์ 15 wt% ๋ฐฐํฉ๋น๋ฅผ ์ ์ ํ์ฌ ๋ณด๊ฐ์
์ฒจ๊ฐ ํ ํน์ฑ์ ํ์ธํ์๋ค. ๋ฌด๊ธฐ๊ฒฐํฉ์ ์ ๋์ผํ๊ฒ ๋ณด๊ฐ์ ์ ํจ๋์ด ์ฆ๊ฐํ ์๋ก ์ฑํ์ฒด์ ๊ฐ๋๊ฐ์ด ์ฝ 49% ์ฆ๊ฐํ์์ผ๋ ๋ณด๊ฐ์ ์ ํ์ ํน์ฑ์ผ๋ก ์ธํด
๊ธฐ๊ณต์ด ๊ฐ์ํ์๋ค. ํก์ฐฉ์ ๊ฐ ๊ฐ์ง๋ ๊ธฐ๊ณต ํน์ฑ์ ๊ณ ๋ คํ์ฌ ๋ฌด๊ธฐ๊ฒฐํฉ์ 15 wt%, ๋ณด๊ฐ์ 4 wt%๋ฅผ ๊ฐ์ง๋ ์ฑํ์ฒด๋ฅผ 600 ยฐC๋ก ์์ฑํ์ฌ CO2 ํก์ฐฉ ์ํ์ ์งํํ์์ผ๋ฉฐ ๋๊ธฐ์์์ ์ฝ 0.41 mmol/g์ CO2 ํก์ฐฉ๋์ ํ์ธํ์๋ค.
Acknowledgements
This work was supported by the Technology Innovation Program(20000126) funded by the
Ministry of Trade, Industry & Energy (MOTIE, Korea). Also the support of the Korea
Institute of Industrial Technology as (KITECH EO200014) and Small and Medium Business Technology Information Promotion Agency as (S3025882).
REFERENCES
Jo K. H., NEW & INFORMATION FOR CHEMICAL ENGINEERS,35, 4 (2017)

Lee K. M., Jo Y. M., J. Korean Ind. Eng. Chem,19, 5 (2008)

Zhang J., Dang L., Zhang M., Lu Q., Zhao S., Surfaces and Interfaces,8, 112 (2017)

Choi H. C., Bae J. Y., Korea, patent 10-1314532, (2011)

Jung W. H., Kim J. J., Cho S. H., J. Korean Ceramic Society,25, 4 (1988)

Ham S. K., Jung M. H., Chang J. H., polymer,30, 6 (2006)

Kim J. H., Ryu G. H., Korean J. Food Sci. Technol,33, 1 (2001)

Lee G. H., Korean J. Met. Mater,59, 9 (2021)

Sharma B., Mahajan S., Chhibber R., Mehta R., Procedia chemistry,4, 39 (2012)

Oh H. G., Park F. K., Kim Y., Lee M. S., Korean J. Mer. Mater,57, 12 (2019)

Churl K. J., Kim J. H., Jun J. Y., Park Y., Kim S. H., Park J. S., J. Korea Organic
Resource Recycling Association,17, 1 (2009)

Favero J. D. S., Peterle J. P., Angeli V. W., Brandalise R. N., Gomes L. B., Berbmann
C. P., Santos V. D., Applied Clay Science,124, (2016)

Jeong S. I., Kim N. I., Lee S. J., Korean J. Mer. Mater,54, 10 (2016)

James S., Principles of ceramics processing,504-516, John Wiley & Sons (1995)

Kingery W. D., Bowen H. K., Uhlmann D. R., Introduction to ceramics,7-649, Wiley (1976)

Lee J. S., Lee M. J., Lim T. Y., Lee Y., Jeon D. W., Hyum S. K., Kim J. H., Korean
J. Mer. Mater,55, 4 (2017)

Kim Y. S., Kim I. K., J. Korean Soc. Precis. Eng,17, 5 (2000)

Yun H. D., Kim S. W., Jeon E., JOURNAL OF THE ARCHITECTURAL INSTITUTE OF KOREA Structure
& Construction,22, 12 (2006)

Choi S. W., J. Environ. Scien,20, 7 (2011)

Park I. G., Hong M. S., Kim B. S., Kang H. G., J. Kor. Environ. Eng,35, 5 (2013)

Chandradass J., Kumar M. R., Velmurgan R., J. Reinf. Plast. Compos,27, 15 (2008)

Yasui K., Sasaki K., Ikeda N., Kinoshita H., Appl. Sci,9, 8 (2019)

Park J., Kim Y., Jung M., J. Korean Ceram. Soc,49, 5 (2012)

Kim J. Y., J. Korean Inst. Electr. Electron. Mater. Eng,30, 5 (2017)

Kinoshita H., Kaizu K., Hasegawa S., Ando T., Kawamura R., Ikeda K., Kobayashi T.,
Fukuyama H., Journal of Environ. Eng,8, 1 (2013)

Bae M. A., Fabrication of De-NOx SCR catalyst using al waste dross,33-60, Busan University
(2013)

Jang S. H., CLEAN TECHNOLOGY,19, 4 (2013)

Figures and Tables
Fig. 1.
Result of TGA curves : (A) Reference ratio A1 and (B) Additives.
Fig. 2.
SEM images of magnesium silicate according to sintering temperature : (A) 4A1, (B)
6A1 and (C) 8A1.
Fig. 3.
Strength test results according to sintering temperature.
Fig. 4.
Result of TGA curves for clay contents.
Fig. 5.
Pictures of making pellets using an extruder : (A) Clay 11 wt%, (B) Clay 15 wt% and
(C) Clay 19 wt%.
Fig. 6.
Strength test results according to contents of clay and glass fiber : (A) Clay, (b)
Glass fiber.
Fig. 7.
SEM images of magnesium silicate with glass fiber added.
Fig. 8.
The role of glass fiber inside the molded body.
Table 1.
Physiochemical properties of prepared magnesium silicate
|
Sample
|
Chemical composition (%)
|
Surface Area (mยฒ/g)
|
Pore Volume (cm3/g)
|
Pore Size (ร
)
|
|
SiO2 |
MgO
|
Na2O
|
SO3 |
|
Magnesium silicate
|
76.17
|
17.74
|
3.02
|
2.40
|
214.87
|
0.4305
|
80.15
|
Table 2.
Mixing ratio of magnesium silicate
|
wt%
|
4A1
|
6A1
|
8A1
|
6B1
|
6C2
|
6D1
|
6D3
|
6D4
|
|
Magnesium silicate
|
100
|
100
|
100
|
100
|
100
|
100
|
100
|
100
|
|
Clay
|
11
|
11
|
11
|
15
|
19
|
15
|
15
|
15
|
|
PVA (Polyvinyl-Alcohol)
|
20
|
20
|
20
|
20
|
20
|
20
|
20
|
20
|
|
Glass fiber (300 ยตm)
|
8
|
8
|
8
|
8
|
8
|
4
|
12
|
16
|
|
Sintering Temp. (ยฐC)
|
400
|
600
|
800
|
600
|
600
|
600
|
600
|
600
|
Table 3.
BET results according to sintering temperature
|
|
4A1
|
6A1
|
8A1
|
|
Surface Area (mยฒ/g)
|
194.20
|
83.24
|
1.91
|
|
Pore Volume (cm3/g)
|
0.3539
|
0.2831
|
0.0051
|
|
Pore Size (ร
)
|
72.89
|
136.04
|
105.75
|
Table 4.
BET results according to the contents of clay and glass fiber
|
|
6A1
|
6B1
|
6C2
|
6D1
|
6D3
|
6D4
|
|
Surface Area (mยฒ/g)
|
83.24
|
87.15
|
93.52
|
87.27
|
64.38
|
60.98
|
|
Pore Volume (cm3/g)
|
0.2831
|
0.2805
|
0.2746
|
0.34
|
0.1501
|
0.1402
|
|
Pore Size (โซ)
|
136.04
|
128.74
|
117.46
|
127.12
|
127.78
|
126.01
|