임정욱
(Jeongwook Lim)
12
김용환
(Yonghwan Kim)
1
김연주
(Yeonjoo Kim)
1
송풍근
(Pungkeun Song)
2*
권아람
(Ahram Kwon)
1*
-
한국생산기술연구원 에너지소재부품연구그룹
(Energy Component & Material R&BD Group, Korea Institute of Industrial Technology,
Busan 46744, Republic of Korea)
-
부산대학교 재료공학과
(Department of Material Science and Engineering, Pusan National University, Busan 46241,
Republic of Korea)
Copyright © 2021 The Korean Institute of Metals and Materials
Key words
EMI shielding, Zn-Ni film, magnetron-sputtering, metallic material, GHz
1. 서 론
4차 산업시대를 맞이하여 모바일 기기의 종류가 다양해지고, 다기능화로 변화되었다. 또한, 5G통신의 발달 및 디지털 기술의 발달로 인해 고 주파수
영역 대(GHz)의 작동 회로주파수를 갖는 전자기기의 사용이 증가함에 따라 전자파 간섭을 줄이는 것이 중요한 화두가 되었다. 또한, 전자기기의 경량화와
전자부품의 고 집적화로 인하여 간섭되는 전파 노이즈(Noise)는 기기 오작동과 신호 품질 저하를 야기시킨다. 이에 따라, 노이즈로 인한 전자파 간섭(Electromagnetic
interference, EMI)을 방지하기 위한 전자파 차폐/흡수 기술의 중요성이 높아졌다 [1]. 또한, 외부에서 발생한 전자파 노이즈에 의한 간섭현상에 대한 적절한 내성 (Electromagnetic susceptibility, EMS)을
가지도록 전자 장비의 설계 및 제작을 요구하고 있고, 국제적으로 전자파의 방출량을 일정수준 이하로 방출하고, 외부의 강한 전자파에도 오작동을 하지
않는 쾌적한 전자파 적합성(Electromagnetic Compatibility, EMC)의 환경을 규제하고 있다. 따라서, 전자파 간섭을 방지하는
차폐 소재의 수요는 점차적으로 증가하는 추세를 보인다 [2-5].
전자파 차폐(Shield)란 외부에서 유입되는 불필요한 전자파를 차단하는 것으로 소재의 표면에서 전자파를 흡수 또는 반사시켜 내부로 전이되는 것을
방지하는 것을 말한다 [6-7]. 금속은 자유전자로 인한 높은 전기 전도성을 가지므로, 표면에서 대부분의 전자기파를 반사시키며, 금속 내에서는 자유전자의 이동에 의해 전기장(E=0)이
되어 넓은 주파수 대역의 전자기파와 전기장을 차단할 수 있어, 대표적인 전자파 차폐소재로 고주파 영역(GHz)영역에서 사용된다 [8-9]. 그러나 현재 상용되는 금속 전자파 차폐 소재는 최소 수십 마이크로미터(mm) 단위 두께로 두껍고, 무거워서 전자부품이 집적화된 기기에 직접적
사용에 제한적이며, 제품의 경량화 트렌드에 방해가 된다. 일반적으로 금속 재료의 단점을 보완하기 위해 다층의 복합체 및 코팅제로 사용하거나, 멀티기능을
활용하여 방열특성이 우수한 전자파 차폐 막에 대한 연구가 주로 이루어지고 있다 [10]. 방열 특성이 좋은 은(Ag)은 높은 차폐 효율을 가지나 고가이기 때문에 은과 비슷한 전기 전도도에 비교적 가격이 저렴한 구리가 전자파 차폐 소재로
널리 사용된다 [11,12]. 그러나, 구리 차폐막의 경우 부식에 취약해 니켈이나 스테인레스 보호막이 반드시 추가되어야 한다는 단점을 가지고 있다. 따라서, 본 연구에서는
전자기기부품용 전자파 차폐 소재로 금속박막 중 내식성이 우수하여 널리 이용되고 있는 Zn-Ni 합금 박막을 다양한 조성범위에서 증착함으로써, 적절한
내식성으로 보호층이 필요 없는 초경량 전자파차폐 박막에 대하여 연구하였다.
2. 실험 방법
Zn-Ni 합금 박막은 8.4 × 10-6 Torr 이하의 진공도를 갖는 마그네트론 스퍼터링 장치를 사용하여 Ar의 분위기 속(working pressure: 1.5 × 10-3 Torr)에서 전처리 공정을 진행한 Si Wafer(100) 기판(5 cm × 5 cm) 위에 상온에서 증착 하였다. 조성에 따른 특성연구를 위하여
Ni (99.95 wt. %)와 Zn (99.995 wt. %) 두 개의 타겟을 사용하였으며, 각각의 타겟 인가 파워를 조절함으로써 합금의 조성을
제어하였다. 기판과 타겟의 거리는 18 cm로 고정하고, 조성 외에 전자파 차폐특성에 영향을 미치는 다른 인자를 없애고자 균일한 두께의 박막을 얻을
수 있도록 증착 시간을 조절하였다. 각 조건에서 얻어진 Sample의 표면 상태, 두께 및 조성은 SEM과 EDS를 통하여 관찰하였으며, XRD(Cu
Kα radiation [λ = 0.15406 Å])로 박막의 결정구조를 분석하였다. 전자파차폐/흡수 특성의 경우에는 4 Point probe로 측정한
면저항을 활용하여 전자파 차폐률을 계산한 수치와 직접적으로 근접장(마이크로 스트립라인을 이용한 전력흡수평가) 및 원역장(ASTM D-4935)에서의
전력흡수율 및 차폐율을 측정한 수치를 비교 검토하였다. 또한 내식성 평가를 위해 AMETEK사의 PARSTAT 4000A를 이용하여 분극 실험(Ag/AgCl
기준전극, 백금 보조전극, 3.5 wt. %의 NaCl 용액, 전위 -0.8~0.4 V, 1 mV/sec)을 실시하였다.
3. 실험 결과 및 고찰
마그네트론 스퍼터링으로 제조된 Zn-Ni 합금 박막의 형상 및 표면 조직을 SEM으로 관찰한 결과를 그림 1에 나타냈다. Zn-Ni 합금 박막은 균일한 grain들이 성장하여 형성되었으며, 조성에 따른 변화는 보이지 않았으며. 모든 조성 조건에서 약 370
nm의 일정한 두께와 결정립의 크기가 100 nm의 크기로 균일한 박막 증착이 되었음을 확인하였다.
표 1은 인가전압에 따라 증착한 Zn-Ni 합금 박막의 조성에 대한 EDS분석 결과를 나타냈다. Zn 함량은 50~70 at%임을 확인 할 수 있었으며
해당하는 조성 범위에서 특성 분석을 진행하였다.
조성에 따른 상형성 거동을 보기 위한 XRD 결과를 그림 2에 나타냈다. 기판인 Si(100)관련 peak이 2θ = 61.7°, 69.1°에서 나타났으며 Ni filter에 의한 66.5°에서의 X-ray
absorption edge가 관찰되었다. Zn-Ni 합금과 관련된 상은 NiZn, Ni5Zn21의 2가지의 상이 혼합되어 형성되어 있음을 알 수 있었다. Zn의 조성이 50~56 at%에서는 Ni5Zn21 상이 더 우세하게 성장하였으며, Zn의 함량이 더 증가할수록 NiZn와 Ni5Zn21 상이 혼합되어 형성되었으며, Zn 70at%에서는 NiZn (200)의 상형성도 관찰되었다.
전자파 차폐 효율 특성 분석을 위해서는 직접측정법과 계산을 통한 간접측정을 한 뒤 그 수치를 비교해보았다. 먼저 간접측정의 경우 전자파 차폐, 흡수를
위한 특수한 측정장치 없이 비교적 간단한 측정으로 차폐효율을 계산하는 방식이다. 4 Point Probe를 사용한 면 저항(Sheet-Resistance,
[ohm/sq.])을 측정하고 식 (1)에 따라 차폐효율(Shielding Effect, [dB])로 변환하여 원거리 영역에서 차폐효율을 계산 해
보았다 [12].
식(1)에서 Zo는 자유 임피던스 값[377 Ω]을 나타내고, Rs는 Sheet-Resistivity [ohm/sq.]를 나타낸다.
면저항값과 차폐효율은 반비례의 관계에 있음을 이용하여 Zn함량에 따른 측정된 면저항값과 계산된 차폐율 값을 그림 3에 그래프로 나타냈다. Zn 함량이 증가할수록 면저항값은 감소하고 차폐율은 증가하는 경향을 확인할 수 있었다. 앞의 XRD 결과와 비교해보면, Ni5Zn21상이 주로 형성된 Zn 함량이 50~57 at%인 박막의 면저항 값은 약 3 Ω/sq. 에서 NiZn상이 우세하게 형성된 Zn 함량 60~70 at%의
박막으로 갈수록 0.5 Ω/sq. 정도까지 면 저항이 감소함을 확인할 수 있었다. 이와 반대로 전자파 차폐/흡수율의 경향은 Ni5Zn21상이 주로 형성된 Zn의 함량 50~57 at %에서 NiZn상이 우세하게 성장할수록 SE값이 증가하였다. 식(1)을 통해 계산한 전자파 차폐/흡수율의 값은 Zn의 함량이 실험조건 50~70 at%일 때, 약 36~52 dB의 값을 가지며, NiZn상이 형성된
Zn함량 70% 박막에서 52 dB의 값을 얻을 수 있었다.
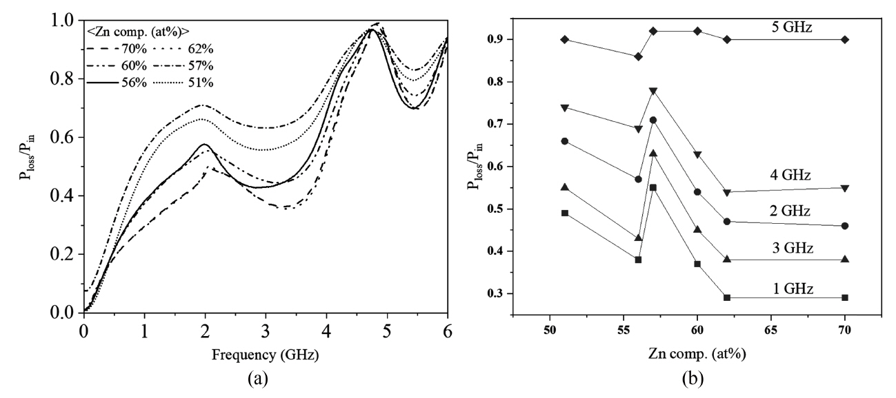
실제 전자파 흡수효율을 알아볼 수 있는 근접장에서 입사되는 전자파의 에너지와 손실되는 전자파의 에너지 비(Ploss/Pin)를 그림 4에서 나타냈다. 조성에 상관없이 약 2GHz, 4.8GHz에서 높은 전력흡수능을 보였으며, 약 4.8GHz에서 평균적으로 97%에 가까운 가장 높은
전력흡수율 나타냈다. 또한, 근접장에서 주파수와 상관없이 Zn의 조성이 57 at%일 때 실험 범위 내 가장 높은 전자파 흡수율을 보임을 그림 4(b)에서 확인할 수 있었다. 근접장에서 흡수율은 Ni5Zn21 상이 많이 성장할수록 높음을 그림 4의 결과와 비교해보면 알 수 있다. 원역장에서 전자파 차폐/흡수율은 Zn의 함량이 증가함에 따라 전자파 차폐/흡수율이 증가하는 경향을 확인할 수 있었으며,
Zn 70 at%에서 최대 42 dB의 전자파 차폐/흡수효율을 그림 5에 나타냈다. 이는 스마트폰, 컴퓨터 등 주변의 전자기기에 사용되는 일반적인 수십~수백 mm 두께의 상업용 전자파 차폐재료가 갖는 차폐효율(SE)의
기술적인 평균값인 30−60 dB 범위에 들어가는 차폐율 수치에 해당한다 [14].
4 point probe를 통한 면 저항을 통한 전자파 차폐/흡수율 계산 값(그림 3)과 원역장에서 전자파 차폐/흡수율을 실제 측정한 값(그림 5)을 비교해본 결과를 그림 6에 나타냈다. 각각의 측정방법에서 얻은 값은 일정한 차이를 보이며, 같은 경향성을 나타내고 있다. 절대적 수치 값의 경우 차이가 있긴 하지만 면 저항을
통한 전자파 차폐/흡수율 계산으로 실제 전자파 흡수/차폐율을 유추 가능하다는 것을 확인 할 수 있었다.
조성 및 상형성에 따른 내식특성 분석을 위해 실시한 동전위분극시험 결과 곡선을 그림 7에 나타냈다. 또한, 표 2는 이로부터 구해진 부식전위(Ecorr) 부식전류밀도(Icorr)를 나타낸 것이다. Zn의 함량이 증가함에 따라 Ni-Zn 박막의 부식전위는 감소하고, 부식전류밀도는 증가함으로써 내식성이 감소하는 경향을 나타낸다.
이러한 부식전위와 부식 전류밀도의 경향은 Zn 함량 60% 이상과 미만으로 나누어 볼 수 있으며, Ni5Zn21 상의 비율이 높은 Zn 60% 미만의 경우가 NiZn의 혼합상이 존재하는 Zn 60% 이상의 경우에 비해 상대적으로 우수한 내식성을 보이게 됨을
확인할 수 있다 [15,16]. 따라서 Ni5Zn21 상이 높은 비율로 성장함에 따라 박막의 내식성을 높아지게 되며, Zn 함량 60% 이하에서는 일반적 전자파차폐 금속 Cu층의 부식방지 보호층으로
사용되는 Ni의 표준기전력인 -0.43V 보다 더 높은 부식전위값을 보여줌으로써 별도의 보호층이 필요 없어 더 얇고 가벼운 전자파차폐 소재로의 응용이
가능함을 확인할 수 있었다.
또한, 전체 분극곡선에서 부식전위로부터 한계전류밀도 시작되는 전위까지 구간에 부식전류의 증가 속도가 감소하는 이른바 부식억제(inhibition)
거동이 나타나고 있다. 각각 Zn 70% E = -0.492 ~ -0.437 V, Zn 62% E = -0.468 ~ -0.399 V, Zn 60%
E = -0.413 ~ -0.317 V, Zn 57% E = -0.403 ~ -0.266 V, Zn 55% E = -0.405 ~ -0.145 V,
Zn 50% E = -0.378 ~ -0.131 V (vs. Ag/AgCl sat’d KCl)의 구간에 해당하며, Zn의 조성비가 감소함에 따라,
즉 Ni5Zn21 상의 형성이 증가함에 따라 현저한 부식억제 거동을 나타내고 있다. 이러한 부식억제 구간은 분극시험이 NaCl용액에서 이루어졌음에도 불구하고, 별도의
탈기처리를 하지 않았기 때문에 Zn 또는 Ni 과 관련한 수산화물(Zn-/Ni-hydroxide)의 일정 수준 형성에 기인한 것으로 추정된다. 이들
수산화물은 완전한 부동태(passivation)에는 이르지는 못하지만 금속 이온의 용해 속도를 감소시키는 역할이 가능한 것으로 사료된다.
한편, Zn 함량 60% 이상에서 주로 나타나는 NiZn 혼합상의 경우 높은 Zn 비율로 인해 불안정한 Zn계 수산화물이 형성되는 반면, Ni5Zn21 상은 상대적으로 안정한 Ni계 수산화물을 형성하는 것으로 추정된다. 그 결과 동일 과전압(overpotential) 하에서 Ni5Zn21 상의 비율이 높은 Zn 60% 미만의 경우가 낮은 부식전류, 즉 용해속도를 나타내게 된다.
Ni5Zn21 상이 주로 형성된 Zn 57at%의 Zn-Ni 합금 박막은 부식특성이 우수하나 원역장에서의 전자파 차폐율은 떨어졌으며, 근접장 영역에서의 전자파흡수율은
가장 우수한 경향을 보였다. 근접장 영역에서의 전자파 흡수율이 더 중요하게 여겨지는 집적화된 전자부품에 있어, 고주파로 인해 발생하는 전파 노이즈를
제거하기 위한 흡수체로 사용하기에는 Ni5Zn21 상이 많이 형성될수록 유리하고, 내부식 특성 또한 Zn 50~57 at%에서 우수한다고 판단된다.
4. 결 론
두께가 두꺼울수록 효율이 높기 때문에 mm단위의 상대적으로 두꺼운 두께를 가지는 전자파 차폐/흡수체에 대하여 경량 집적화된 전자부품에 응용하기 위한
방안으로 내부식성이 우수한 Zn-Ni 합금을 스퍼터링으로 증착하여 박막으로 성장시켰으며, 조성에 따른 전자파 차폐효율 및 내부식 거동을 살펴보았다.
Zn의 함량이 50~57 at%에서는 Ni5Zn21상이 성장하였으며, 60~70 at%에서는 Zn의 함량이 증가함에 따라 NiZn, Ni5Zn21의 혼합상으로 성장 후 점점 NiZn상이 우세하게 성장하였다.
박막의 두께가 약 370 nm 임에도 면저항 측정으로 계산된 전자파 차폐율은 Zn 70 at%에서 52 dB을 나타내었으며, 원역대 전자파 차폐측정결과와
같은 경향성을 보임으로써, 면저항 측정으로 차폐율 예측이 가능함을 확인하였다. 근접장 영역에서 전자파 흡수능을 측정한 결과 Ni5Zn21 상이 많이 형성될수록 흡수능이 증가하였으며, 분극 시험 결과 이 조성범위에서 Zn함량이 높은 샘플보다 우수한 내부식특성을 얻을 수 있었다. 그러나,
원역대 차폐율의 경우 Zn 함량이 50at%로 떨어질 경우 급격한 감소를 보임에 따라 내식특성 및 근접장/원역장 전자파 차폐/흡수를 모두 고려했을
경우 Zn 57at%의 조성 컨디션이 전자부품용으로 사용시 최적의 조성조건으로 보여 진다.
Acknowledgements
본 연구는 한국생산기술연구원 기관주요사업 “2021년 기능성전극소재 적용을 위한 몰리브덴 전해 표면처리기술개발(kitech EM-21-0012)”의
지원으로 수행한 연구입니다.
REFERENCES
Choi J. R., Jung B. M., Choi U. H., Cho S. C., Park K. H., Kim W.-j., Lee S.-K., Lee
S. B., Composites Research,28, 333 (2015)

Lee S. H., Kim S. S., Korean. J. Met. Mater,52, 549 (2014)

Jou W. S., Cheng H. Z., Hsu C. F., J. Alloys Compd,434, 641 (2007)

Hu Q., Kim M. S., Carbon Lett,9, 298 (2008)

Martzui L., Vovchenko L., Prylutskyy Y., Korotash I., Marzui V., Eklund P., Ritter
U., Scharff P., Mater. Sci. Eng. C,27, 1007 (2007)

Schulz R. B., Plantz V. C., Brush D. R., IEEE Transactions on Electromagnetic Compatibility,30,
187 (1988)

Wilson P. F., Ma M. T., Adams J. W., IEEE Transactions on Electromagnetic Compatibility,30,
239 (1988)

Lee S. E., Kim D., Lee M. Y., Lee M. K., Jeong E., Lee Y. S., Polymer Korea,39, 114
(2015)

Kang Y. M., The proceeding of KIEE,68, 31 (2019)

Ann S., Kwon K. J., 56, The Institute of Electronics and Information Engineers,10,
(2019)

Kim S. H., Shin D. H., Choi Y. S., Kim J. G., Kim S. H., Korean. J. Met. Mater,43,
538 (2005)

Mäkelä T., Pienimaa S., Taka T., Jussila S., Isotalo H., Synthetic Metals,85, 1335
(1997)

Cho D. M., Park J.-s., Lee J. W., Kim S. J., Korean J. Met. Mater,58, 599 (2020)

Oh T. S., Polymer Science and Technology,2, 179 (1991)

Byk T. V., Gaevskaya T. V., Tsybulskaya L. S., Surface and Coatings Technology,202,
5817 (2008)

YE G. C., Shin H. J., Metal Finishing Society of Korea,21, 39 (1988)

Figures and Tables
Fig. 1.
SEM images of Zn-Ni film thickness (left) and surface (right).
Fig. 2.
XRD patterns of Zn-Ni alloy films according to the content of Zn.
Fig. 3.
Sheet-Resistance and Shielding Effect according to Zn content measured by the 4 point
probe.
Fig. 4.
Microwave Shielding effectiveness according to the frequency over the entire Near-Field
(a) and the radio wave absorption capacity at each of the frequencies of 1, 2,3,4,5
GHz.
Fig. 5.
Microwave Shielding effectiveness according to the composition in Far-Field.
Fig. 6.
Comparison of 4-point probe calculation value and ASTM D-4935 measurement value (Far-field).
Fig. 7.
Potential polarization curve in 3.5 wt. % NaCl solution of Zn-Ni thin film according
to the Zn composition.
Table 1.
Applied voltage and composition ratio of Ni and Zn in films.
|
Zn Target Power (W)
|
Ni Target Power (W)
|
Composition ratio (at %) Zn : Ni
|
|
200
|
150
|
50 : 49
|
|
250
|
200
|
55 : 45
|
|
150
|
150
|
57 : 43
|
|
250
|
250
|
60 : 40
|
|
250
|
150
|
62 : 38
|
|
250
|
100
|
70 : 30
|
Table 2.
Corrosion potential and current density
|
|
Ecorr (V vs. Ag/AgCl)
|
Icorr (× 10-6A)
|
|
70 at.% Zn
|
-0.492
|
16.97
|
|
62 at.% Zn
|
-0.468
|
12.36
|
|
60 at.% Zn
|
-0.413
|
10.30
|
|
57 at.% Zn
|
-0.403
|
6.23
|
|
55 at.% Zn
|
-0.405
|
0.64
|
|
50 at.% Zn
|
-0.378
|
0.59
|