The Journal of
the Korean Journal of Metals and Materials

The Journal of
the Korean Journal of Metals and Materials

Monthly
  • pISSN : 1738-8228
  • eISSN : 2288-8241

Editorial Office


  1. ์ „๋ถ๋Œ€ํ•™๊ต ์‹ ์†Œ์žฌ๊ณตํ•™๋ถ€ (Division of Advanced Materials Engineering, Jeonbuk National University, Jeonju 54896, Republic of Korea)
  2. ์ „๋ถ๋Œ€ํ•™๊ต ๋Œ€ํ•™์› ์žฌ๋ฃŒ๊ณตํ•™๊ณผ (Department of Materials Engineering, Graduate School, Jeonbuk National University, Jeonju 54896, Republic of Korea)



hydrogen absorbing materials, mechanical alloying/milling, scanning electron microscopy (SEM), X-ray diffraction, VCl3 addition

1. ์„œ ๋ก 

์ˆ˜์†Œ๋Š” ๋Œ€์ฒด ์—๋„ˆ์ง€์˜ ๋งค์šฐ ์œ ๋งํ•œ ๋งค์ฒด์ด๋‹ค. ์ˆ˜์†Œ๋ฅผ ์‹ค์ œ์ ์ธ ์ด์šฉ์— ์ ์šฉํ•˜๊ธฐ ์œ„ํ•ด์„œ๋Š”, ์ˆ˜์†Œ์˜ ์ƒ์‚ฐ๊ณผ ์ €์žฅ ๋ฌธ์ œ๊ฐ€ ํ•ด๊ฒฐ๋˜์–ด์•ผ ํ•œ๋‹ค. ๊ธˆ์†/๊ธˆ์†๊ฐ„ ํ™”ํ•ฉ๋ฌผ์˜ ์ˆ˜์†Œํ™”๋ฌผ๊ณผ ๋ณตํ•ฉ ์ˆ˜์†Œํ™”๋ฌผ ๋“ฑ์˜ ๊ณ ์ƒ ์ˆ˜์†Œํ™”๋ฌผ์— ์˜ํ•œ ์ €์žฅ์€, ์•ˆ์ „๊ณผ ๋‹จ์œ„ ๋ถ€ํ”ผ๋‹น ์ €์žฅ๋Ÿ‰ ์ธก๋ฉด์—์„œ ์••์ถ• ์ €์žฅ๊ณผ ์•ก์ฒด ์ €์žฅ์— ๋น„ํ•ด ์žฅ์ ์„ ๊ฐ€์ง€๊ณ  ์žˆ๋‹ค. ๊ธˆ์† ์ˆ˜์†Œํ™”๋ฌผ์— ์˜ํ•œ ์ €์žฅ์—๋Š” ๋‚ฎ์€ ์••๋ ฅ์ด ์ˆ˜๋ฐ˜๋˜๊ณ  ํก์—ด๋ฐ˜์‘์„ ํ†ตํ•˜์—ฌ ์ˆ˜์†Œ๊ฐ€ ๋ฐฉ์ถœ๋˜์–ด, ์„ธ ๊ฐ€์ง€์˜ ์ˆ˜์†Œ ์ €์žฅ ๋ฐฉ๋ฒ• ์ค‘์—์„œ ๊ฐ€์žฅ ์•ˆ์ „ํ•˜๋‹ค [1].

Mg๋Š” ๋‹จ์œ„ ๋ฌด๊ฒŒ๋‹น ๋†’์€ ์ˆ˜์†Œ ์ €์žฅ ๋Ÿ‰ (7.6 wt%)์„ ๊ฐ€์ง€๊ณ  ์žˆ๊ณ , ์ƒ๋Œ€์ ์œผ๋กœ ๋œ ๋น„์‹ธ๊ณ , ์ง€๊ฐ์— ๋งŽ์€ ์–‘์ด ์ €์žฅ๋˜์–ด ์žˆ๋‹ค. ๊ทธ๋Ÿฌ๋‚˜ ๋น„๊ต์  ๋†’์€ ์˜จ๋„์—์„œ๋„ ์ˆ˜์†Œ ํก์ˆ˜ ๋ฐฉ์ถœ ์†๋„๊ฐ€ ๋‚ฎ๋‹ค. ํก์ˆ˜ ๋ฐฉ์ถœ ์†๋„๋ฅผ ๋†’์ด๊ธฐ ์œ„ํ•˜์—ฌ ๋งŽ์€ ์—ฐ๊ตฌ๊ฐ€, Cu [2], Ni [3,4], Ga [5], Ni์™€ Y [6], Ti, Fe์™€ Ni [7], Fe์™€ Y [8], Ce์™€ Ni [9]์™€ ๊ฐ™์€ ๊ธˆ์†๊ณผ ํ•ฉ๊ธˆํ™” ํ•˜๊ฑฐ๋‚˜ [10,11], CeMg12 [12], Mg17Ba2 [13], YMg4Cu [14]์™€ ๊ฐ™์€ ๊ธˆ์†๊ฐ„ ํ™”ํ•ฉ๋ฌผ์„ ํ•ฉ์„ฑํ•จ์œผ๋กœ์จ ์ˆ˜ํ–‰๋˜์—ˆ๋‹ค.

Malka ๋“ฑ [15]์€ ํ–‰์„ฑ ๋ณผ ๋ฐ€์—์„œ ๋ฐ€๋ง์— ์˜ํ•ด ํ• ๋กœ๊ฒ ํ™”ํ•ฉ๋ฌผ์˜ ์ฒจ๊ฐ€๋Š”, MgH2์˜ ์ˆ˜์†Œ ๋ฐฉ์ถœ ๊ณผ์ •์— ๊ฐ•ํ•œ ์ด‰๋งค ํšจ๊ณผ๋ฅผ ๋ณด์˜€๋‹ค๊ณ  ๋ณด๊ณ ํ•˜์˜€๋‹ค. ์ด ๋“ค์€ ๋˜ํ•œ ๋†’์€ ์‚ฐํ™” ์ˆ˜๋ฅผ ๊ฐ€์ง„ ํ• ๋กœ๊ฒ ํ™”ํ•ฉ๋ฌผ์€ ๋‚ฎ์€ ์‚ฐํ™” ์ˆ˜๋ฅผ ๊ฐ€์ง„ ํ• ๋กœ๊ฒ ํ™”ํ•ฉ๋ฌผ๋ณด๋‹ค ๋” ํšจ๊ณผ์ ์œผ๋กœ MgH2 ์ˆ˜์†Œ ๋ฐฉ์ถœ ์˜จ๋„๋ฅผ ๋‚ฎ์ท„๋‹ค๊ณ  ๋ณด๊ณ ํ•˜์˜€๋‹ค. ์ฃผ๊ธฐ์œจ ํ‘œ์˜ IV ์กฑ๊ณผ V ์กฑ์˜ ํ• ๋กœ๊ฒ ํ™”ํ•ฉ๋ฌผ์€, ์—ฐ๊ตฌํ•œ ๋‹ค๋ฅธ ํ• ๋กœ๊ฒ ํ™”ํ•ฉ๋ฌผ์— ๋น„ํ•ด ๋” ์ข‹์€ ์ด‰๋งค์ œ์˜€๋‹ค. Malka ๋“ฑ [16]์€, ๋˜ํ•œ ZrF4๊ณผ NbF5๊ฐ™์€ ๊ธˆ์† ํ• ๋กœ๊ฒ ํ™”ํ•ฉ๋ฌผ ์ฒจ๊ฐ€๋Š” MgH2์˜ ์ˆ˜์†Œ ํก์ˆ˜ ๋ฐฉ์ถœ ์†๋„๋ฅผ ์ƒ๋‹นํžˆ ์ฆ๊ฐ€์‹œํ‚จ๋‹ค๊ณ  ๋ณด๊ณ ํ•˜์˜€๋‹ค. ๊ทธ๋“ค์€, Mg-H ๊ฒฐํ•ฉ์„ ์•ฝํ™”์‹œ์ผœ MgF2์™€ ์ˆœ์ˆ˜ํ•œ ์ „์ด ๊ธˆ์†์„ ํ˜•์„ฑํ•˜๋Š” F ์Œ์ด์˜จ์˜ ์กด์žฌ๊ฐ€ ์ด๋Ÿฐ ํšจ๊ณผ๋“ค์„ ๊ฐ€์ ธ์˜จ๋‹ค๊ณ  ๋ณด๊ณ ํ•˜์˜€๋‹ค. Zhang ๋“ฑ [17]์€, MgH2์— TiF3 ํ˜น์€ Nb2O5, ํ˜น์€ ๋‘˜ ๋‹ค๋ฅผ ๊ณ  ์—๋„ˆ์ง€ ํ–‰์„ฑ ๋ฐ€์—์„œ ๋ฐ€๋ง์— ์˜ํ•˜์—ฌ ์ฒจ๊ฐ€ํ•˜๊ณ  ์ด‰๋งค๊ฐ€ ์ฒจ๊ฐ€๋œ MgH2์˜ ๋น„ ๋“ฑ์˜จ ์ˆ˜์†Œ ๋ฐฉ์ถœ ๊ฑฐ๋™์„ ์—ฐ๊ตฌํ•˜์˜€๋‹ค. ์ฒจ๊ฐ€๋ฌผ์— ๋”ฐ๋ผ์„œ ์ด‰๋งค๊ฐ€ ์ฒจ๊ฐ€๋œ MgH2์˜ ์ˆ˜์†Œ ๋ถ„ํ•ด ์ตœ๊ณ  ์˜จ๋„๊ฐ€ ๋‚ฎ์•„์กŒ๊ณ , TiF3๊ณผ Nb2O5์ด ๋™์‹œ์— ์ฒจ๊ฐ€๋œ MgH2์˜ ์ˆ˜์†Œ ๋ถ„ํ•ด ์ตœ๊ณ  ์˜จ๋„๊ฐ€ 583 K ์ •๋„๋กœ ๋‚ฎ์•„์กŒ๋‹ค. ๊ทธ๋“ค์€ TiF3์™€ Nb2O5์˜ ์‹œ๋„ˆ์ง€ ์ด‰๋งค ํšจ๊ณผ๋Š”, MgH2์˜ ์ˆ˜์†Œ ๋ฐฉ์ถœ ๋™์•ˆ ์ˆ˜์†Œ ์›์ž์˜ ์žฌ ๊ฒฐํ•ฉ์„ ํ–ฅ์ƒ์‹œํ‚ค๋Š”, ์ˆ˜์†Œ ๋ถ„์ž์™€ ์ „์ž ์ƒํ˜ธ ๊ตํ™˜ ๋ฐ˜์‘์— ๊ธฐ์ธํ•œ๋‹ค๊ณ  ์ฃผ์žฅํ•˜์˜€๋‹ค. Hou ๋“ฑ [18]์€, MgH2์— MWCNTs (multi-walled carbon nanotubes) ํ˜น์€ TiF3, ํ˜น์€ ๋‘˜ ๋‹ค๋ฅผ ๊ณ  ์—๋„ˆ์ง€ ํ–‰์„ฑ ๋ณผ ๋ฐ€๋ง์— ์˜ํ•˜์—ฌ ์ฒจ๊ฐ€ํ•˜๊ณ , ์ด‰๋งค๊ฐ€ ์ฒจ๊ฐ€๋œ MgH2์˜ ๋“ฑ์˜จ ํ™œ์„ฑํ™”์™€ ์—ด์—ญํ•™์ ์ธ ์ด๋ ฅ ํ˜„์ƒ (hysteresis)๋ฅผ ์—ฐ๊ตฌํ•˜์˜€๋‹ค. ํŠน๋ณ„ํ•œ ํ™œ์„ฑํ™” ์ฒ˜๋ฆฌ ์—†์ด ๋†’์€ ์ดˆ๊ธฐ ์ˆ˜์†Œ ํก์ˆ˜ ์†๋„์™€ ํฐ ์ˆ˜์†Œ ํก์ˆ˜ ๋Ÿ‰์ด MWCNTs์™€ TiF3์ด ๋‘˜ ๋‹ค ์ฒจ๊ฐ€๋œ MgH2์—์„œ ๊ด€์ฐฐ๋˜์—ˆ๋‹ค. ๊ทธ๋“ค์€, ๋ฐ˜์‘ ์†๋„์— ๋ฏธ์น˜๋Š” ์ด‰๋งค ํšจ๊ณผ๋Š” ์ˆ˜์†Œ ๋ถ„์ž์˜ ๋ถ„ํ•ด ํ˜น์€ ์ˆ˜์†Œ ์›์ž์˜ ์žฌ ๊ฒฐํ•ฉ ๋™์•ˆ์— ์ˆ˜์†Œ ๋ถ„์ž์™€ ์ „์ž ์ƒํ˜ธ ๊ตํ™˜ ๋ฐ˜์‘์— ๊ธฐ์ธํ•œ๋‹ค๊ณ  ์ฃผ์žฅํ•˜์˜€๋‹ค. Jangir ๋“ฑ [19]์€ ๋ณผ ๋ฐ€๋ง์œผ๋กœ MgH2 + x wt% TiF4 (x = 5, 10, 15) ๋ณตํ•ฉ์žฌ๋ฅผ ๋งŒ๋“ค์—ˆ๋‹ค. TiF4๊ฐ€ ์ฒจ๊ฐ€๋œ MgH2์€, ๊ตฌ์ž…ํ•˜์—ฌ ๋ฐ€๋งํ•œ MgH2๋ณด๋‹ค ๋” ๋‚ฎ์€ ์ˆ˜์†Œํ™”๋ฌผ ๋ถ„ํ•ด ์‹œ์ž‘ ์˜จ๋„์™€ ๋” ์ž‘์€ ํ™œ์„ฑํ™” ์—๋„ˆ์ง€๋ฅผ ๋‚˜ํƒ€๋‚ด์—ˆ๋‹ค. ๊ทธ๋“ค์€ MgH2์˜ ์ˆ˜์†Œ ํก์ˆ˜ ์„ฑ์งˆ์˜ ํ–ฅ์ƒ์€ ์ˆ˜์†Œ ๋ฐฉ์ถœ ๊ณผ์ •์— ์ƒ์„ฑ๋œ MgF2์— ๊ธฐ์ธํ•œ๋‹ค๊ณ  ๋ณด๊ณ ํ•˜์˜€๋‹ค. ์šฐ๋ฆฌ์˜ ์ „ ์—ฐ๊ตฌ์—์„œ๋Š”, Mg์˜ ์ˆ˜์†Œ์™€์˜ ๋ฐ˜์‘ ์†๋„๋ฅผ ํ–ฅ์ƒ์‹œํ‚ค๊ธฐ ์œ„ํ•˜์—ฌ, Mg์— TaF5 [20], NbF5 [21], TiCl3 [22]์„ ์ฒจ๊ฐ€ํ•˜์˜€๋‹ค.

VCl3๋Š”, V ์ด์˜จ๋“ค์ด ํŒ”๋ฉด์ฒด ์ž๋ฆฌ๋ฅผ ์ ์œ ํ•˜๊ณ  ์œก๋ฐฉ ์กฐ๋ฐ€ ๊ตฌ์กฐ์˜ ์—ผํ™”๋ฌผ ๊ณจ๊ฒฉ์„ ๊ฐ€์ง„, BiI3 ๊ตฌ์กฐ๋ฅผ ๊ฐ€์ง€๊ณ  ์žˆ๋‹ค. VCl3๋Š” ์ƒ ์ž์„ฑ (paramagnetism)์„ ๋‚˜ํƒ€๋‚ด๊ณ , ๋‘ ๊ฐœ์˜ ์Œ์„ ๋ชป ์ด๋ฃฌ ์ „์ž๋“ค์„ ๊ฐ€์ง€๊ณ  ์žˆ์œผ๋ฉฐ, VCl3๋Š” 573 K ์ด์ƒ์—์„œ ๋ถ„ํ•ด๋œ๋‹ค [23].

์•ž์—์„œ ์–ธ๊ธ‰ํ–ˆ๋“ฏ์ด, MgH2์— VCl3์˜ ์ฒจ๊ฐ€๋Š” MgH2์˜ ์ˆ˜์†Œ ๋ฐฉ์ถœ ํŠน์„ฑ์„ ์•„์ฃผ ๋งŽ์ด ํ–ฅ์ƒ์‹œ์ผฐ๋‹ค๊ณ  ๋ณด๊ณ  ๋˜์—ˆ๋‹ค [15]. ๋ณธ ์—ฐ๊ตฌ์—์„œ๋Š” Mg์˜ ์ˆ˜์†Œ ํก์ˆ˜ ๋ฐฉ์ถœ ์†๋„์™€ ์ˆ˜์†Œ ์ €์žฅ ์šฉ๋Ÿ‰์„ ์ฆ๊ฐ€์‹œํ‚ค๊ธฐ ์œ„ํ•˜์—ฌ VCl3๋ฅผ ์ฒจ๊ฐ€๋ฌผ๋กœ์„œ ์„ ํƒํ•˜์˜€๋‹ค. Mg๊ฐ€ MgH2๋ณด๋‹ค ๊ฐ€๊ฒฉ์ด ์ €๋ ดํ•˜๊ธฐ ๋•Œ๋ฌธ์—, MgH2 ๋Œ€์‹ ์— Mg๋ฅผ ์ถœ๋ฐœ ๋ฌผ์งˆ๋กœ์„œ ์„ ํƒํ•˜์˜€๋‹ค. ์ฒจ๊ฐ€๋Ÿ‰์˜ ํ•จ๋Ÿ‰์ด 5 wt%์ธ, 95 wt% Mg + 5 wt% VCl3 ์กฐ์„ฑ์„ ๊ฐ€์ง„ ์‹œ๋ฃŒ๋ฅผ ์ˆ˜์†Œ ๋ถ„์œ„๊ธฐ์—์„œ ๋ฐ€๋ง (๋ฐ˜์‘์„ฑ ๋ฐ€๋ง: reactive milling)์— ์˜ํ•˜์—ฌ ์ œ์กฐํ•˜์˜€๋‹ค. ์ด ์‹œ๋ฃŒ๋Š” Mg-5VCl3๋ผ๊ณ  ๋ช…๋ช…ํ•˜์˜€๊ณ , ์ œ์กฐ๋œ ์‹œ๋ฃŒ์˜ ์ˆ˜์†Œ ํก์ˆ˜ ๋ฐฉ์ถœ ์„ฑ์งˆ์„ ์—ฐ๊ตฌํ•˜์˜€๋‹ค.

2. ์‹คํ—˜ ๋ฐฉ๋ฒ•

์ˆœ์ˆ˜ํ•œ Mg ๋ถ„๋ง (์ž…์ž ํฌ๊ธฐ 74-149 ยตm, ์ˆœ๋„ 99.6%, Alfa Aesar)๊ณผ VCl3 (Vanadium (III) chloride, ์ˆœ๋„ 97%, Aldrich)์„ ์ถœ๋ฐœ ๋ฌผ์งˆ๋กœ ์‚ฌ์šฉํ•˜์˜€๋‹ค.

๋ฐ˜์‘์„ฑ ๋ฐ€๋ง (reactive milling)์€ ํ–‰์„ฑ ๋ณผ ๋ฐ€ (Planetary Mono Mill; Pulverisette 6, Fritsch)์—์„œ ํ–‰ํ•˜์˜€๋‹ค. ๊ณ„ํšํ•œ ์กฐ์„ฑ์˜ ํ˜ผํ•ฉ๋ฌผ (์ „์ฒด ์ค‘๋Ÿ‰ 8 g)์€ ์ƒˆ์ง€ ์•Š๊ฒŒ ๋ฐ€๋ด‰ํ•œ ์Šคํ…Œ์ธ๋ ˆ์Šค ๊ฐ• ์šฉ๊ธฐ ์•ˆ (105๊ฐœ ๊ฒฝํ™”๋œ ๊ฐ• ๋ณผ, ์ „์ฒด ์ค‘๋Ÿ‰ 360 g)์—์„œ ์„ž์—ˆ๋‹ค. ์‹œ๋ฃŒ ๋Œ€ ๋ณผ ์ค‘๋Ÿ‰ ๋น„๋Š” 1 : 45์˜€๋‹ค. ์‹œ๋ฃŒ์˜ ๋ชจ๋“  ์ฒ˜๋ฆฌ๋Š”, ์‚ฐํ™”๋ฅผ ๋ฐฉ์ง€ํ•˜๊ธฐ ์œ„ํ•˜์—ฌ, ์•„๋ฅด๊ณค ๋ถ„์œ„๊ธฐ์˜ ๊ธ€๋Ÿฌ๋ธŒ ์ƒ์ž ์•ˆ์—์„œ ์ด๋ฃจ์–ด์กŒ๋‹ค. ํ–‰์„ฑ ๋ณผ ๋ฐ€ ํŒ (disc)์˜ ํšŒ์ „ ์†๋„๋Š” 250 rpm (revolutions per minute)์ด์—ˆ๋‹ค. 250 ml์˜ ๋ณผ ๋ฐ€ ์šฉ๊ธฐ๋Š” ์•ฝ 12 bar์˜ ๊ณ  ์ˆœ๋„ ์ˆ˜์†Œ ๊ฐ€์Šค๋กœ ์ฑ„์›Œ์กŒ๋‹ค. ๋ฐ˜์‘์„ฑ ๋ฐ€๋ง์€, 15๋ถ„ ๋ฐ€๋ง๊ณผ 5๋ถ„ ์ •์ง€๋ฅผ ๋ฐ˜๋ณตํ•˜์—ฌ, 6์‹œ๊ฐ„ ๋™์•ˆ ์ด๋ฃจ์–ด์กŒ๊ณ , ์ˆ˜์†Œ๋Š” ๋งค 2 ์‹œ๊ฐ„ ๋งˆ๋‹ค ๋ณด์ถฉํ•˜์˜€๋‹ค.

ํก์ˆ˜ ํ˜น์€ ๋ฐฉ์ถœ๋œ ์ˆ˜์†Œ์˜ ์–‘์€ ์‹œ๊ฐ„์˜ ํ•จ์ˆ˜๋กœ์„œ ๋ถ€ํ”ผ ์ธก์ •๋ฒ•์— ์˜ํ•˜์—ฌ, ์ „์— ์ž์„ธํžˆ ์„ค๋ช…ํ•œ, Sieverts ํ˜• ์ˆ˜์†Œ ํก์ˆ˜ ๋ฐฉ์ถœ ์žฅ์น˜ [24]์—์„œ ์ธก์ •๋˜์—ˆ๋‹ค. ์ธก์ •ํ•˜๋Š” ๋™์•ˆ ๋ฐ˜์‘๊ธฐ ๋‚ด์˜ ์ˆ˜์†Œ์˜ ์••๋ ฅ์€ ์ˆ˜์†Œ ํก์ˆ˜ ๋ฐ˜์‘ ๋™์•ˆ์—๋Š” 12 bar, ์ˆ˜์†Œ ๋ฐฉ์ถœ ๋ฐ˜์‘ ๋™์•ˆ์—๋Š” 1.0 bar๋กœ, ๊ฑฐ์˜ ์ผ์ •ํ•˜๊ฒŒ ์œ ์ง€ํ•˜์˜€๋‹ค.์ˆ˜์†Œ ํก์ˆ˜ ๋ฐ˜์‘ ๋™์•ˆ์—๋Š” ์•„๋Š” ๋ถ€ํ”ผ์˜ ์ž‘์€ ์ˆ˜์†Œ ์ €์žฅ ์šฉ๊ธฐ (reservoir)๋กœ๋ถ€ํ„ฐ ์‹œ๋ฃŒ์— ํก์ˆ˜๋œ ์ˆ˜์†Œ๋ฅผ ๋ณด์ถฉํ•˜๊ณ , ์ˆ˜์†Œ ๋ฐฉ์ถœ ๋ฐ˜์‘ ๋™์•ˆ์—๋Š” ์ž‘์€ ์ˆ˜์†Œ ์ €์žฅ ์šฉ๊ธฐ๋กœ ์‹œ๋ฃŒ๋กœ๋ถ€ํ„ฐ ๋ฐฉ์ถœ๋œ ์ˆ˜์†Œ๋ฅผ ๋œ์–ด ๋‚ด์–ด ์ˆ˜์†Œ ์••๋ ฅ์„ ๊ฑฐ์˜ ์ผ์ •ํ•˜๊ฒŒ ์œ ์ง€ํ•˜์˜€๋‹ค. ํก์ˆ˜๋œ ์ˆ˜์†Œ์˜ ์–‘์€ ์ž‘์€ ์ˆ˜์†Œ ์ €์žฅ ์šฉ๊ธฐ์˜ ์••๋ ฅ ๊ฐ์†Œ๋Ÿ‰ ๋ฐ ๋ถ€ํ”ผ, ์ƒ์˜จ์„ ์‚ฌ์šฉํ•˜์—ฌ ๊ณ„์‚ฐํ•˜์˜€๊ณ , ๋ฐฉ์ถœ๋œ ์ˆ˜์†Œ์˜ ์–‘์€ ์ž‘์€ ์ˆ˜์†Œ ์ €์žฅ ์šฉ๊ธฐ์˜ ์••๋ ฅ ์ฆ๊ฐ€ ๋Ÿ‰ ๋ฐ ๋ถ€ํ”ผ, ์ƒ์˜จ์„ ์‚ฌ์šฉํ•˜์—ฌ ๊ณ„์‚ฐํ•˜์˜€๋‹ค. van der Waals ์‹์ด ์ด ๊ณ„์‚ฐ์— ์‚ฌ์šฉ๋˜์—ˆ๋‹ค. ์ธก์ •์— ์‚ฌ์šฉ๋œ ์‹œ๋ฃŒ๋Š” 0.5 g์ด์—ˆ๋‹ค. ํก์ˆ˜๋œ ์ˆ˜์†Œ ๋Ÿ‰๊ณผ ๋ฐฉ์ถœ๋œ ์ˆ˜์†Œ ๋Ÿ‰์„ 593 K, ๊ฐ๊ฐ 12 bar์™€ 1.0 bar์˜ ์ˆ˜์†Œ ์••๋ ฅ์—์„œ 1 ์‹œ๊ฐ„ ๋™์•ˆ ์ธก์ •ํ•œ ํ›„, 623 K, ์ง„๊ณต์—์„œ 2 ์‹œ๊ฐ„ ๋™์•ˆ ๋” ์ˆ˜์†Œ๋ฅผ ๋ฐฉ์ถœ์‹œ์ผฐ๋‹ค.

๋ฐ˜์‘์„ฑ ๋ฐ€๋ง ํ›„์˜ ์‹œ๋ฃŒ์™€ ์ˆ˜์†Œ ํก์ˆ˜-๋ฐฉ์ถœ ์‹ธ์ดํด๋ง ํ›„์˜ ์‹œ๋ฃŒ๋Š”, Cu Kฮฑ ๋ฐฉ์‚ฌ๋ฅผ ์‚ฌ์šฉ Rigaku D/MAX 2500 ๋ถ„๋ง ํšŒ์ ˆ๊ธฐ๋กœ ์–ป์€ X-์„  ํšŒ์ ˆ (XRD, X-ray diffraction) ํŒจํ„ด์œผ๋กœ ๋ถ„์„ํ•˜์˜€๋‹ค. ๋ถ„๋ง์˜ ๋ฏธ์„ธ ๊ตฌ์กฐ๋Š”, 15 kV๋กœ ์ž‘๋™๋œ ์ฃผ์‚ฌ ์ „์ž ํ˜„๋ฏธ๊ฒฝ [JSM-5900 scanning electron microscope (SEM)]์œผ๋กœ ๊ด€์ฐฐํ•˜์˜€๋‹ค.

3. ๊ฒฐ๊ณผ ๋ฐ ๊ณ ์ฐฐ

ํก์ˆ˜๋œ ์ˆ˜์†Œ์˜ ์–‘ (Ha)์€ 100 ร— (ํก์ˆ˜๋œ ์ˆ˜์†Œ์˜ ์ค‘๋Ÿ‰)/(์‹œ๋ฃŒ์˜ ์ค‘๋Ÿ‰)์œผ๋กœ ์ •์˜ํ•˜์˜€๋‹ค. Ha์˜ ๋‹จ์œ„๋Š” wt% H๋กœ ํ‘œ์‹œํ•˜์˜€๋‹ค. ๋ฐฉ์ถœ๋œ ์ˆ˜์†Œ์˜ ์–‘ (Hd)์€ 100 ร— (๋ฐฉ์ถœ๋œ ์ˆ˜์†Œ์˜ ์ค‘๋Ÿ‰)/(์‹œ๋ฃŒ์˜ ์ค‘๋Ÿ‰)์œผ๋กœ ์ •์˜ํ•˜์˜€๋‹ค. Hd์˜ ๋‹จ์œ„ ์—ญ์‹œ wt% H๋กœ ํ‘œ์‹œํ•˜์˜€๋‹ค.

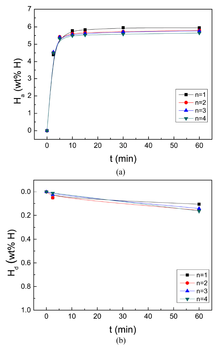
๊ทธ๋ฆผ 1์€, Mg-5VCl3์— ๋Œ€ํ•˜์—ฌ, ์‹ธ์ดํด ์ˆ˜ n์— ๋”ฐ๋ผ์„œ 573 K, 12 bar ์ˆ˜์†Œ ์••๋ ฅ์—์„œ ์ˆ˜์†Œ ํก์ˆ˜ ๊ณก์„  (Ha ๋Œ€ ์‹œ๊ฐ„ t ๊ณก์„ )๊ณผ 573 K, 1.0 bar ์ˆ˜์†Œ ์••๋ ฅ์—์„œ ์ˆ˜์†Œ ๋ฐฉ์ถœ ๊ณก์„  (Hd ๋Œ€ ์‹œ๊ฐ„ t ๊ณก์„ )์˜ ๋ณ€ํ™”๋ฅผ ๋ณด์—ฌ ์ค€๋‹ค. ์ฒซ ๋ฒˆ์งธ ์‹ธ์ดํด์—์„œ, ์ฒ˜์Œ๋ถ€ํ„ฐ 5๋ถ„๊นŒ์ง€๋Š” ์ˆ˜์†Œ ํก์ˆ˜ ์†๋„๊ฐ€ ๋งค์šฐ ๋†’๊ณ , ๊ทธ๋ฆฌ๊ณ  10๋ถ„ ์ด ํ›„์—๋Š” ๋งค์šฐ ๋‚ฎ๋‹ค. n์ด 1๋ถ€ํ„ฐ 3๊นŒ์ง€ ์ฆ๊ฐ€ํ•จ์— ๋”ฐ๋ผ์„œ ์ดˆ๊ธฐ ์ˆ˜์†Œ ํก์ˆ˜ ์†๋„๋Š” ์ฆ๊ฐ€ํ•˜๊ณ , ์ œ3์‹ธ์ดํด๋ถ€ํ„ฐ ์ œ4์‹ธ์ดํด๊นŒ์ง€๋Š” ์ดˆ๊ธฐ ์ˆ˜์†Œ ํก์ˆ˜ ์†๋„๊ฐ€ ๊ฐ์†Œํ•œ๋‹ค. n์ด 1๋ถ€ํ„ฐ 4๊นŒ์ง€ ์ฆ๊ฐ€ํ•จ์— ๋”ฐ๋ผ์„œ 60๋ถ„ ๋™์•ˆ์— ํก์ˆ˜๋œ ์ˆ˜์†Œ์˜ ์–‘ Ha (60 min)์€ ๊ฐ์†Œํ•œ๋‹ค. n=1์—์„œ, ์‹œ๋ฃŒ๋Š” 5๋ถ„ ๋™์•ˆ์— 5.38 wt% H์„ ํก์ˆ˜ํ•˜๊ณ  60๋ถ„ ๋™์•ˆ์—๋Š” 5.95 wt% H๋ฅผ ํก์ˆ˜ํ•œ๋‹ค. n=3์—์„œ, ์‹œ๋ฃŒ๋Š” 5๋ถ„ ๋™์•ˆ์— 5.41 wt% H์„ ํก์ˆ˜ํ•˜๊ณ  60๋ถ„ ๋™์•ˆ์—๋Š” 5.77 wt% H ๋ฅผ ํก์ˆ˜ํ•œ๋‹ค. ์œ ํšจ ์ˆ˜์†Œ ์ €์žฅ ์šฉ๋Ÿ‰์€ 60๋ถ„ ๋™์•ˆ์— ํก์ˆ˜๋œ ์ˆ˜์†Œ์˜ ์–‘์œผ๋กœ ์ •์˜ํ•˜์˜€๋‹ค. Mg-5VCl3๋Š” n=1์—์„œ ์•ฝ 5.95 wt%์˜ ์œ ํšจ ์ˆ˜์†Œ ์ €์žฅ ์šฉ๋Ÿ‰์„ ๊ฐ€์ง€๊ณ  ์žˆ๋‹ค. ํ‘œ 1์€ Mg-5VCl3์— ๋Œ€ํ•ด n=1-4์—์„œ ์˜จ๋„ 573 K ์ˆ˜์†Œ ์••๋ ฅ 12 bar์—์„œ ์‹œ๊ฐ„ t์— ๋”ฐ๋ฅธ Ha์˜ ๋ณ€ํ™”๋ฅผ ๋ณด์—ฌ ์ค€๋‹ค. n=1-4์—์„œ, ์ดˆ๊ธฐ ์ˆ˜์†Œ ๋ฐฉ์ถœ ์†๋„๋Š” ๋งค์šฐ ๋‚ฎ๊ณ  60๋ถ„ ๋™์•ˆ์— ๋ฐฉ์ถœ๋œ ์ˆ˜์†Œ์˜ ์–‘์€ ์•„์ฃผ ์ ๋‹ค. 1๋ถ€ํ„ฐ 4๊นŒ์ง€ ์‹ธ์ดํด ์ˆ˜๊ฐ€ ์ฆ๊ฐ€ํ•จ์— ๋”ฐ๋ผ์„œ, ์ดˆ๊ธฐ ์ˆ˜์†Œ ๋ฐฉ์ถœ ์†๋„๊ฐ€ ์•ฝ๊ฐ„ ๊ทธ๋ฆฌ๊ณ  ์ ์ฐจ์ ์œผ๋กœ ๊ฐ์†Œํ•œ๋‹ค. 60๋ถ„ ๋™์•ˆ์— ๋ฐฉ์ถœ๋œ ์ˆ˜์†Œ์˜ ์–‘ Hd (60 min)์€ n=1๋กœ๋ถ€ํ„ฐ n=2-4๊นŒ์ง€ ์•ฝ๊ฐ„ ๊ฐ์†Œํ•œ๋‹ค. n=1์—์„œ, ์‹œ๋ฃŒ๋Š” ์˜จ๋„ 573 K ์ˆ˜์†Œ ์••๋ ฅ 1.0 bar์—์„œ 2.5๋ถ„ ๋™์•ˆ์— 0.05 wt% H๋ฅผ ๋ฐฉ์ถœํ•˜๊ณ , 60๋ถ„ ๋™์•ˆ์— 0.11 wt% H๋ฅผ ๋ฐฉ์ถœํ•œ๋‹ค. n=4์—์„œ, Hd (60 min)์€ Ha (60 min)์˜ 2.84%์ด๋‹ค. ํ‘œ 2๋Š” Mg-5VCl3์— ๋Œ€ํ•ด n=1-4์—์„œ ์˜จ๋„ 573 K ์ˆ˜์†Œ ์••๋ ฅ 1.0 bar์—์„œ ์‹œ๊ฐ„ t์— ๋”ฐ๋ฅธ Hd์˜ ๋ณ€ํ™”๋ฅผ ๋ณด์—ฌ ์ค€๋‹ค.

๊ทธ๋ฆผ 2๋Š”, Mg-5VCl3์— ๋Œ€ํ•˜์—ฌ, ์‹ธ์ดํด ์ˆ˜ n์— ๋”ฐ๋ผ์„œ 593 K, 12 bar ์ˆ˜์†Œ ์••๋ ฅ์—์„œ ์ˆ˜์†Œ ํก์ˆ˜ ๊ณก์„ ๊ณผ 593 K, 1.0 bar ์ˆ˜์†Œ ์••๋ ฅ์—์„œ ์ˆ˜์†Œ ๋ฐฉ์ถœ ๊ณก์„ ์˜ ๋ณ€ํ™”๋ฅผ ๋ณด์—ฌ ์ค€๋‹ค. ์ฒซ ๋ฒˆ์งธ ์‹ธ์ดํด์—์„œ, ์ฒ˜์Œ๋ถ€ํ„ฐ 10๋ถ„๊นŒ์ง€๋Š” ์ˆ˜์†Œ ํก์ˆ˜ ์†๋„๊ฐ€ ๋งค์šฐ ๋†’๊ณ , ๊ทธ๋ฆฌ๊ณ  15๋ถ„ ์ด ํ›„์—๋Š” ๋งค์šฐ ๋‚ฎ๋‹ค. n์ด 1๋ถ€ํ„ฐ 3๊นŒ์ง€ ์ฆ๊ฐ€ํ•จ์— ๋”ฐ๋ผ์„œ ์ดˆ๊ธฐ ์ˆ˜์†Œ ํก์ˆ˜ ์†๋„๋Š” ์ฆ๊ฐ€ํ•˜๊ณ , ์ œ3์‹ธ์ดํด๋ถ€ํ„ฐ ์ œ4์‹ธ์ดํด๊นŒ์ง€๋Š” ์ดˆ๊ธฐ ์ˆ˜์†Œ ํก์ˆ˜ ์†๋„๊ฐ€ ๊ฐ์†Œํ•œ๋‹ค. n์ด 1๋ถ€ํ„ฐ 4๊นŒ์ง€ ์ฆ๊ฐ€ํ•จ์— ๋”ฐ๋ผ์„œ 60๋ถ„ ๋™์•ˆ์— ํก์ˆ˜๋œ ์ˆ˜์†Œ์˜ ์–‘ Ha (60 min)์€ ๊ฐ์†Œํ•œ๋‹ค. n=1์—์„œ, ์‹œ๋ฃŒ๋Š” 5๋ถ„ ๋™์•ˆ์— 4.64 wt% H์„ ํก์ˆ˜ํ•˜๊ณ  60๋ถ„ ๋™์•ˆ์—๋Š” 6.36 wt% H๋ฅผ ํก์ˆ˜ํ•œ๋‹ค. n=3์—์„œ, ์‹œ๋ฃŒ๋Š” 5๋ถ„ ๋™์•ˆ์— 5.16 wt% H์„ ํก์ˆ˜ํ•˜๊ณ  60๋ถ„ ๋™์•ˆ์—๋Š” 6.22 wt% H๋ฅผ ํก์ˆ˜ํ•œ๋‹ค. ํ‘œ 3์€ Mg-5VCl3์— ๋Œ€ํ•ด n=1-4์—์„œ ์˜จ๋„ 593 K ์ˆ˜์†Œ ์••๋ ฅ 12 bar์—์„œ ์‹œ๊ฐ„ t์— ๋”ฐ๋ฅธ Ha์˜ ๋ณ€ํ™”๋ฅผ ๋ณด์—ฌ ์ค€๋‹ค. n=1์—์„œ, ์ฒ˜์Œ๋ถ€ํ„ฐ 2.5๋ถ„๊นŒ์ง€๋Š” ์ดˆ๊ธฐ ์ˆ˜์†Œ ๋ฐฉ์ถœ ์†๋„๊ฐ€ ๋‚ฎ๊ณ  ๊ทธ๋ฆฌ๊ณ ๋Š” ์ ์ฐจ ์ฆ๊ฐ€ํ•œ๋‹ค. ์ˆ˜์†Œ ๋ฐฉ์ถœ ์†๋„๋Š” ์•ฝ 25๋ถ„์—์„œ ๊ฐ€์žฅ ๋†’๊ณ  ๊ทธ ๋‹ค์Œ์—๋Š” ์ ์  ๊ฐ์†Œํ•œ๋‹ค. 1๋ถ€ํ„ฐ 4๊นŒ์ง€ ์‹ธ์ดํด ์ˆ˜๊ฐ€ ์ฆ๊ฐ€ํ•จ์— ๋”ฐ๋ผ์„œ, ์ดˆ๊ธฐ ์ˆ˜์†Œ ๋ฐฉ์ถœ ์†๋„๊ฐ€ ์•„์ฃผ ์•ฝ๊ฐ„ ์ฆ๊ฐ€ํ•œ๋‹ค. 60๋ถ„ ๋™์•ˆ์— ๋ฐฉ์ถœ๋œ ์ˆ˜์†Œ์˜ ์–‘ Hd (60 min)์€ n=1๋กœ๋ถ€ํ„ฐ n=4๊นŒ์ง€ ์ฆ๊ฐ€ํ•œ๋‹ค. n=2์—์„œ, ์‹œ๋ฃŒ๋Š” ์˜จ๋„ 593 K ์ˆ˜์†Œ ์••๋ ฅ 1.0 bar์—์„œ 2.5๋ถ„ ๋™์•ˆ์— 0.11 wt% H๋ฅผ ๋ฐฉ์ถœํ•˜๊ณ , 60๋ถ„ ๋™์•ˆ์— 4.63 wt% H๋ฅผ ๋ฐฉ์ถœํ•œ๋‹ค. n=2์—์„œ, Hd (60 min)์€ Ha (60 min)์˜ 74.2%์ด๋‹ค. ํ‘œ 4๋Š” Mg-5VCl3์— ๋Œ€ํ•ด n=1-4์—์„œ ์˜จ๋„ 593 K ์ˆ˜์†Œ ์••๋ ฅ 1.0 bar์—์„œ ์‹œ๊ฐ„ t์— ๋”ฐ๋ฅธ Hd ์˜ ๋ณ€ํ™”๋ฅผ ๋ณด์—ฌ ์ค€๋‹ค.

573 K๊ณผ 593 K์—์„œ ์ดˆ๊ธฐ ์ˆ˜์†Œ ํก์ˆ˜ ์†๋„๋Š” n=3์—์„œ ๊ฐ€์žฅ ๋†’๋‹ค. 573 K์™€ 593 K์—์„œ ์ดˆ๊ธฐ ์ˆ˜์†Œ ๋ฐฉ์ถœ ์†๋„์™€ Hd (60 min)์ด n=1-4์—์„œ ๋น„์Šทํ•˜๋‹ค. ์ด ๊ฒฐ๊ณผ๋“ค๋กœ๋ถ€ํ„ฐ, Mg-5VCl3์˜ ํ™œ์„ฑํ™”๋Š” 3 ์‹ธ์ดํด ํ›„์— ์™„๋ฃŒ๋œ๋‹ค๊ณ  ๊ฒฐ๋ก ์„ ๋‚ด๋ฆด ์ˆ˜ ์žˆ๋‹ค.

๊ทธ๋ฆผ 3์€, ํ™œ์„ฑํ™”์‹œํ‚จ Mg-5VCl3์— ๋Œ€ํ•˜์—ฌ, ์˜จ๋„์— ๋”ฐ๋ฅธ 12 bar ์ˆ˜์†Œ ์••๋ ฅ์—์„œ ์ˆ˜์†Œ ํก์ˆ˜ ๊ณก์„ ์˜ ๋ณ€ํ™” [423 K (n=5), 473 K (n=6), 523 K (n=7)]๋ฅผ ๋ณด์—ฌ ์ค€๋‹ค. 423 K์—์„œ, ์ˆ˜์†Œ ํก์ˆ˜ ์†๋„๋Š” ๋‚ฎ๊ณ  60๋ถ„ ๋™์•ˆ ๊ฑฐ์˜ ์ผ์ •ํ•˜๋‹ค. 473 K์—์„œ ์ˆ˜์†Œ ํก์ˆ˜ ์†๋„๋Š”, 423 K์—์„œ๋ณด๋‹ค ๋†’๋‹ค. 523 K์—์„œ ์ˆ˜์†Œ ํก์ˆ˜ ์†๋„๋Š” ์ฒ˜์Œ๋ถ€ํ„ฐ ์•ฝ 10๋ถ„๊นŒ์ง€ ๋น„๊ต์  ๋†’๊ณ  ๊ทธ ํ›„์—๋Š” ์ ์ฐจ์ ์œผ๋กœ ๊ฐ์†Œํ•œ๋‹ค. ์˜จ๋„๊ฐ€ ๋†’์•„์ง์— ๋”ฐ๋ผ์„œ ์ดˆ๊ธฐ ์ˆ˜์†Œ ํก์ˆ˜ ์†๋„์™€ Ha (60 min)๊ฐ€ ์ฆ๊ฐ€ํ•œ๋‹ค.

Mg-5VCl3์— ๋Œ€ํ•˜์—ฌ, ์˜จ๋„์— ๋”ฐ๋ฅธ 1.0 bar ์ˆ˜์†Œ ์••๋ ฅ์—์„œ ์ˆ˜์†Œ ๋ฐฉ์ถœ ๊ณก์„ ์˜ ๋ณ€ํ™” [523 K (n=7), 573 K (n=1), and 593 K (n=3)]๋ฅผ ๊ทธ๋ฆผ 4์— ๋‚˜ํƒ€๋‚ด์—ˆ๋‹ค. ์‹œ๋ฃŒ๊ฐ€ 523 K์—์„œ๋Š” ์ˆ˜์†Œ๋ฅผ ๋ฐฉ์ถœํ•˜์ง€ ์•Š๋Š”๋‹ค. 573 K์—์„œ๋Š”, ์ˆ˜์†Œ ๋ฐฉ์ถœ ์†๋„๊ฐ€ ๋งค์šฐ ๋‚ฎ๋‹ค; ์‹œ๋ฃŒ๊ฐ€ 2.5 min ๋™์•ˆ์— 0.05 wt% H๋ฅผ ๋ฐฉ์ถœํ•˜๊ณ , 60๋ถ„ ๋™์•ˆ์— 0.11 wt% H๋ฅผ ๋ฐฉ์ถœํ•œ๋‹ค. 593 K์—์„œ๋Š”, ์ˆ˜์†Œ ๋ฐฉ์ถœ ์†๋„๊ฐ€ ๊ฝค ๋†’๋‹ค; ์‹œ๋ฃŒ๊ฐ€ 2.5๋ถ„ ๋™์•ˆ์— 0.10 wt% H, 5๋ถ„ ๋™์•ˆ์— 0.25 wt% H, 10๋ถ„ ๋™์•ˆ์— 0.60 wt% H, 30๋ถ„ ๋™์•ˆ์— 2.40 wt% H, ๊ทธ๋ฆฌ๊ณ  60๋ถ„ ๋™์•ˆ์— 4.71 wt% H๋ฅผ ๋ฐฉ์ถœํ•œ๋‹ค. ์˜จ๋„๊ฐ€ ์ฆ๊ฐ€ํ•จ์— ๋”ฐ๋ผ์„œ, ์ˆ˜์†Œ ๋ฐฉ์ถœ ๋ฐ˜์‘์˜ ๊ตฌ๋™๋ ฅ์ด ์ฆ๊ฐ€ํ•œ๋‹ค. ์ˆ˜์†Œ ๋ฐฉ์ถœ ๋ฐ˜์‘์˜ ๊ตฌ๋™๋ ฅ์€ ์ฃผ์–ด์ง„ ์˜จ๋„์—์„œ ํ‰ํ˜• ํ”Œ๋ž˜ํ†  (plateau) ์ˆ˜์†Œ ์••๋ ฅ๊ณผ ๊ฐ€ํ•œ ์ˆ˜์†Œ ์••๋ ฅ (๋ณธ ์—ฐ๊ตฌ์˜ ๊ฒฝ์šฐ 1.0 bar) ์‚ฌ์ด์˜ ์ฐจ์ด์™€ ๊ด€๊ณ„๊ฐ€ ์žˆ๋‹ค. Mg-H2 ๊ณ„์˜ ๊ฒฝ์šฐ, 523, 573, 593 K์—์„œ ํ‰ํ˜• ํ”Œ๋ž˜ํ†  ์ˆ˜์†Œ ์••๋ ฅ์€ ๊ฐ๊ฐ 0.33, 1.55, 2.68 bar์ด๋‹ค [25]. 523, 573, and 593 K์—์„œ MgH2์˜ ์ˆ˜์†Œ ๋ฐฉ์ถœ ๋ฐ˜์‘์˜ ๊ตฌ๋™๋ ฅ์€ ๊ฐ๊ฐ -0.67, 0.55, 1.68 bar์ด๋‹ค. 523 K์—์„œ๋Š”, MgH2์˜ ์ˆ˜์†Œ ๋ฐฉ์ถœ ๋ฐ˜์‘์˜ ๊ตฌ๋™๋ ฅ์€ ์Œ์ˆ˜์—ฌ์„œ, Mg-5VCl3๋Š” ์ˆ˜์†Œ๋ฅผ ๋ฐฉ์ถœํ•˜์ง€ ์•Š๋Š”๋‹ค. ์˜จ๋„ ์ฆ๊ฐ€์— ๋”ฐ๋ฅธ MgH2์˜ ์ˆ˜์†Œ ๋ฐฉ์ถœ ๋ฐ˜์‘์˜ ๊ตฌ๋™๋ ฅ ์ฆ๊ฐ€๋Š” ์ดˆ๊ธฐ ์ˆ˜์†Œ ๋ฐฉ์ถœ ์†๋„์™€ Hd (60 min)์˜ ์ฆ๊ฐ€๋ฅผ ๊ฐ€์ ธ์˜จ๋‹ค.

๊ทธ๋ฆผ 5๋Š” ๋ฐ˜์‘์„ฑ ๋ฐ€๋ง ํ›„์˜ Mg-5VCl3๊ณผ ์ˆœ์ˆ˜ํ•œ Mg์˜ SEM ๋ฏธ์„ธ ์‚ฌ์ง„์„ ๋ณด์—ฌ ์ค€๋‹ค. ๋ฐ˜์‘์„ฑ ๋ฐ€๋ง ํ›„์˜ Mg-5VCl3์˜ ์ž…์ž ํฌ๊ธฐ๋Š” ๊ท ์ผํ•˜์ง€ ์•Š๊ณ  ์ž…์ž์˜ ๋ชจ์–‘์ด ๋ถˆ๊ทœ์น™์ ์ด๋‹ค. ๋ฐ˜์‘์„ฑ ๋ฐ€๋ง ํ›„์˜ Mg-5VCl3์˜ ์ž…์ž๋“ค ํ‘œ๋ฉด์— ๋ฏธ์„ธํ•œ ์ž…์ž๋“ค์ด ๋†“์—ฌ ์žˆ๋‹ค. ์ˆœ์ˆ˜ํ•œ Mg์˜ ์ž…์ž๋Š” ํ‰ํ‰ํ•œ ํ‘œ๋ฉด์„ ๊ฐ€์ง€๊ณ  ์žˆ๋Š”๋ฐ, ๊ฒฐํ•จ์ด ๊ฑฐ์˜ ์—†๊ณ  ์•ฝ๊ฐ„์˜ ํฌ๋ž™(crack)์„ ๊ฐ€์ง€๊ณ  ์žˆ๋‹ค.

๋„ค ๋ฒˆ์งธ ์‹ธ์ดํด์—์„œ ์ˆ˜์†Œ๋ฅผ ๋ฐฉ์ถœ์‹œํ‚จ Mg-5VCl3์˜ SEM ๋ฏธ์„ธ ์‚ฌ์ง„์„ ๊ทธ๋ฆผ 6์— ๋‚˜ํƒ€๋‚ด์—ˆ๋‹ค. ์ž…์ž์˜ ํฌ๊ธฐ๋Š” ๊ท ์ผํ•˜์ง€ ์•Š๊ณ  ์ž…์ž์˜ ๋ชจ์–‘์€ ๋ถˆ๊ทœ์น™์ ์ด๋ฉฐ ์ž…์ž๋“ค์€ ์‘์ง‘๋˜์–ด ์žˆ๋‹ค. ๋„ค ๋ฒˆ์งธ ์‹ธ์ดํด์—์„œ ์ˆ˜์†Œ๋ฅผ ๋ฐฉ์ถœ์‹œํ‚จ Mg-5VCl3์™€ ๋ฐ˜์‘์„ฑ ๋ฐ€๋ง ํ›„์˜ Mg-5VCl3์˜ SEM ๋ฏธ์„ธ ๊ตฌ์กฐ์— ํฐ ์ฐจ์ด๊ฐ€ ์—†๋‹ค.

๊ทธ๋ฆผ 7์€ ๋ฐ˜์‘์„ฑ ๋ฐ€๋ง ํ›„ Mg-5VCl3์˜ XRD ํŒจํ„ด์„ ๋ณด์—ฌ ์ฃผ๊ณ  ์žˆ๋‹ค. ์‹œ๋ฃŒ์—๋Š” Mg, ฮฒ-MgH2 (JCPDS No. 12-0697) ์ƒ๋“ค๊ณผ ์ž‘์€ ์–‘์˜ ฮณ-MgH2 (JCPDS No. 35-1184) ์ƒ์ด ๋“ค์–ด ์žˆ๋‹ค. ฮฒ-MgH2๊ณผ ฮณ-MgH2๋Š” ๋ฐ˜์‘์„ฑ ๋ฐ€๋ง ์ค‘ ์ˆ˜์†Œ์™€ Mg์˜ ๋ฐ˜์‘์— ์˜ํ•˜์—ฌ ํ˜•์„ฑ๋œ๋‹ค. ฮฒ-MgH2๋Š” ์ •๋ฐฉ์ • ๊ตฌ์กฐ๋ฅผ ๊ฐ€์ง„, MgH2์˜ ๋‚ฎ์€ ์ˆ˜์†Œ ์••๋ ฅ์—์„œ์˜ ํ˜•ํƒœ์ด๊ณ , ฮณ-MgH2๋Š” ์‚ฌ๋ฐฉ์ • ๊ตฌ์กฐ๋ฅผ ๊ฐ€์ง„ ๋†’์€ ์ˆ˜์†Œ ์••๋ ฅ์—์„œ์˜ ํ˜•ํƒœ ์ค‘์˜ ํ•˜๋‚˜์ด๋‹ค [26-28,1]. Malka ๋“ฑ [15]์€, VCl3๊ฐ€ MgH2 ๋ถ„ํ•ด ์ค‘ ์ƒ์„ฑ๋œ Mg์™€์˜ ๋ฐ˜์‘์„ ์ด‰์ง„์‹œํ‚ค๊ณ , ๊ทธ ๊ฒฐ๊ณผ ์ˆ˜์†Œ ํก์ˆ˜ ๋ฐฉ์ถœ ๋ฐ˜์‘ ํ›„ MgCl2๋ฅผ ํ˜•์„ฑํ•˜๊ฒŒ ๋œ๋‹ค๊ณ  ๋ณด๊ณ ํ•˜์˜€๋‹ค.

6๋ฒˆ (n=1-4: 573 K, n=5: 423 K, n=6: 473 K, n=7: 523 K)์˜ ์ˆ˜์†Œ ํก์ˆ˜ ๋ฐฉ์ถœ ์‹ธ์ดํด๋ง ํ›„, n=7์—์„œ ์ˆ˜์†Œ๋ฅผ ๋ฐฉ์ถœ์‹œํ‚จ Mg-5VCl3์˜ XRD ํŒจํ„ด์„ ๊ทธ๋ฆผ 8์— ๋‚˜ํƒ€๋‚ด์—ˆ๋‹ค. ๋ฐ˜์‘์„ฑ ๋ฐ€๋ง ํ›„์˜ Mg-5VCl3์˜ XRD์—์„œ๋ณด๋‹ค ๋” ์ข์€ ํ”ผํฌ์™€ ๋” ๋‚ฎ์€ ๋ฐฑ๊ทธ๋ผ์šด๋“œ (background)์„ ๋ณด์ธ๋‹ค. ์ด๊ฒƒ์€ ์ด ์‹œ๋ฃŒ๊ฐ€ ๋ฐ˜์‘์„ฑ ๋ฐ€๋ง ํ›„์˜ Mg-5VCl3 ์‹œ๋ฃŒ๋ณด๋‹ค ๊ฒฐ์ •์„ฑ์ด ๋” ์ข‹์Œ์„ ๋‚˜ํƒ€๋‚ธ๋‹ค. ์ด ์‹œ๋ฃŒ๋Š” Mg, ฮฒ-MgH2 (JCPDS No. 12-0697), ๊ทธ๋ฆฌ๊ณ  ์ž‘์€ ์–‘์˜ MgO๋ฅผ ํฌํ•จํ•˜๊ณ  ์žˆ๋‹ค. ๋ฐ˜์‘์„ฑ ๋ฐ€๋ง ํ›„ ์ƒ์„ฑ๋˜์—ˆ๋˜ ฮณ-MgH2๋Š” ๋ณด์ด์ง€ ์•Š๋Š”๋‹ค. MgO๋Š”, XRD ํŒจํ„ด์„ ์–ป๊ธฐ ์œ„ํ•˜์—ฌ ๊ณต๊ธฐ ์ค‘์œผ๋กœ ๊บผ๋ƒˆ์„ ๋•Œ ๊ณต๊ธฐ ์ค‘์˜ ์‚ฐ์†Œ์™€ ๋ฐ˜์‘ํ•˜์—ฌ ์ƒ์„ฑ๋œ ๊ฒƒ์œผ๋กœ ์ƒ๊ฐ๋œ๋‹ค.

๊ทธ๋ฆผ 9๋Š”, 593K 12 bar์—์„œ ์ˆœ์ˆ˜ํ•œ Mg, Mg-5VCl3, Mg-5TiCl3 [22], Mg-5NbF5 [21], Mg-5TaF5 [20]์˜ ํ™œ์„ฑํ™” ํ›„ (n=3์—์„œ) ์ˆ˜์†Œ ํก์ˆ˜ ๊ณก์„ ์„ ๋ณด์—ฌ์ค€๋‹ค. Mg-5VCl3๊ฐ€ ๊ฐ€์žฅ ๋†’์€ ์ดˆ๊ธฐ ์ˆ˜์†Œ ํก์ˆ˜ ์†๋„์™€ ๊ฐ€์žฅ ํฐ Ha (60 min)์„ ๋ณด์—ฌ์ฃผ๊ณ , ๊ทธ ๋‹ค์Œ์€ Mg-5TiCl3, Mg-5NbF5, Mg-5TaF5, pure Mg ์ˆœ์„œ๋กœ ์ดˆ๊ธฐ ์ˆ˜์†Œ ํก์ˆ˜ ์†๋„์™€ Ha (60 min)๊ฐ€ ์ค„์–ด๋“ ๋‹ค. ํ• ๋กœ๊ฒ ํ™”ํ•ฉ๋ฌผ์„ ์ฒจ๊ฐ€ํ•œ Mg ์‹œ๋ฃŒ๋“ค ์ค‘์—์„œ, VCl3๋ฅผ ์ฒจ๊ฐ€ํ•œ Mg ์‹œ๋ฃŒ๊ฐ€ ๊ฐ€์žฅ ๋†’์€ ์ดˆ๊ธฐ ์ˆ˜์†Œ ํก์ˆ˜ ์†๋„์™€ ๊ฐ€์žฅ ํฐ Ha (60 min)๋ฅผ ๊ฐ€์ง€๊ณ  ์žˆ๋‹ค.

da Conceiรงรฃo ๋“ฑ [29]์€, 5 wt%์˜ V, VC, VCl3๋ฅผ ์ฒจ๊ฐ€ ๊ธฐ๊ณ„์  ํ•ฉ๊ธˆํ™”์— ์˜ํ•˜์—ฌ ์ œ์กฐํ•œ MgH2 ๊ธฐ์ดˆ ๋ณตํ•ฉ์žฌ์— ๋Œ€ํ•˜์—ฌ ์—ฐ๊ตฌํ•˜์˜€๋‹ค. MgH2-5 wt% VCl3๋Š” 623 K์—์„œ 7.5๋ถ„ ๋™์•ˆ์— 6.0 wt% H๋ฅผ ํก์ˆ˜ํ•˜์˜€์œผ๋ฉฐ, V๋‚˜ VC๋ฅผ ์ฒจ๊ฐ€ํ•œ MgH2๋ณด๋‹ค ๋น ๋ฅธ ์ˆ˜์†Œ ํก์ˆ˜๋ฅผ ๋‚˜ํƒ€๋‚ด์—ˆ๋‹ค๊ณ  ๋ณด๊ณ ํ•˜์˜€๋‹ค. ์ด MgH2-5 wt% VCl3 ๋ณตํ•ฉ์žฌ๋Š”, MgH2๋ฅผ Mg๋Œ€์‹  ์ถœ๋ฐœ ๋ฌผ์งˆ๋กœ ์‚ฌ์šฉํ–ˆ์–ด๋„, ์šฐ๋ฆฌ ๋ณธ ์—ฐ๊ตฌ์˜ Mg-5VCl3 ์‹œ๋ฃŒ๋ณด๋‹ค ์•ฝ๊ฐ„ ๋‚ฎ์€ ์ˆ˜์†Œ ์ €์žฅ ์šฉ๋Ÿ‰์„ ๊ฐ€์ง€๊ณ  ์žˆ๋‹ค.

Song [30]์€, Mg์˜ ์ˆ˜์†Œ ํก์ˆ˜์™€ ๋ฐฉ์ถœ ๋ฐ˜์‘์˜ ๋ฐ˜์‘์†๋„๋ก ์  ์—ฐ๊ตฌ๋ฅผ ๊ฒ€ํ† ํ•˜์˜€๋‹ค. Mg์˜ ์ˆ˜์†Œ ํก์ˆ˜์™€ ๋ฐฉ์ถœ ๋ฐ˜์‘์€ ๊ตฌ๋™๋ ฅ์ด ์ž‘์€ ๊ฒฝ์šฐ์—๋Š” ํ•ต ์ƒ์„ฑ์— ์˜ํ•˜์—ฌ ์ œ์–ด๋˜๊ณ  ํ•ต ์ƒ์„ฑ๊ณผ ์„ฑ์žฅ ๊ธฐ๊ตฌ (mechanism)์— ์˜ํ•˜์—ฌ ์„ฑ์žฅํ•œ๋‹ค๊ณ  ๋ณด๊ณ ํ•˜์˜€๋‹ค. ๊ทธ๋ฆฌ๊ณ  Mg์˜ ์ˆ˜์†Œ ํก์ˆ˜ ์†๋„๋Š”, ์„ฑ์žฅํ•˜๋Š” Mg ์ˆ˜์†Œํ™”๋ฌผ ์ธต์„ ํ†ตํ•œ ์ˆ˜์†Œ ์›์ž์˜ ํ™•์‚ฐ์— ์˜ํ•˜์—ฌ ์ œ์–ด๋œ๋‹ค๊ณ  ๋ณด๊ณ ํ•˜์˜€๋‹ค. Song ๋“ฑ [31]์€, ๋ฐ˜์‘์„ฑ ๋ฐ€๋ง์— ์˜ํ•˜์—ฌ ์ œ์กฐํ•œ 86 wt% MgH2 + 10 wt% Ni + 2 wt% LiBH4 + 2 wt% Ti ์‹œ๋ฃŒ์˜ n=1 ์—์„œ์˜ ์ˆ˜์†Œ ๋ฐฉ์ถœ ๋ฐ˜์‘์˜ ์œจ์† ๋‹จ๊ณ„๋Š”, ์ˆ˜์†Œํ™”๋ฌผ/๊ณ ์šฉ์ฒด ๊ณ„๋ฉด์—์„œ์˜ ํ™”ํ•™ ๋ฐ˜์‘์œผ๋กœ ๋ถ„์„๋˜์—ˆ๋‹ค๊ณ  ๋ณด๊ณ ํ•˜์˜€๋‹ค. Kwak ๋“ฑ [32]์€, ์ˆ˜์†Œํ™”๋ฌผ/๊ณ ์šฉ์ฒด ๊ณ„๋ฉด์—์„œ์˜ ํ™”ํ•™ ๋ฐ˜์‘์ด, ๋ฐ˜์‘์„ฑ ๋ฐ€๋ง์— ์˜ํ•˜์—ฌ ์ œ์กฐํ•œ 80 wt% Mg + 14 wt% Ni + 6 wt% TaF5์˜ ํ™œ์„ฑํ™” ํ›„์˜ ์ˆ˜์†Œ ๋ฐฉ์ถœ ๋ฐ˜์‘์˜ ์œจ์† ๋‹จ๊ณ„๋ผ๊ณ  ๋ฐœํ‘œํ•˜์˜€๋‹ค. ๊ทธ๋ฆผ 9๋Š”, ๋ฐ€๋ง์„ ์•ˆ ํ•œ ์ˆœ์ˆ˜ํ•œ Mg๋Š” ๊ทน๋„๋กœ ์ฒœ์ฒœํžˆ ์ˆ˜์†Œ๋ฅผ ํก์ˆ˜ํ•จ์„ ๋ณด์—ฌ์ค€๋‹ค. Mg ์ˆ˜์†Œํ™”๋ฌผ์˜ ํ•ต ์ƒ์„ฑ๊ณผ, ์„ฑ์žฅํ•˜๋Š” Mg ์ˆ˜์†Œํ™”๋ฌผ ์ธต์„ ํ†ตํ•œ ์ˆ˜์†Œ์˜ ํ™•์‚ฐ์ด Mg์˜ ์ˆ˜์†Œ ํก์ˆ˜ ์†๋„๋ฅผ ์ œ์–ดํ•œ๋‹ค๊ณ  ํŒ๋‹จ๋œ๋‹ค.

Mg-5VCl3 ์‹œ๋ฃŒ๋Š”, ๊ตฌ์ž…ํ•œ ์ˆœ์ˆ˜ํ•œ Mg๋ณด๋‹ค, ํ›จ์”ฌ ๋†’์€ ์ดˆ๊ธฐ ์ˆ˜์†Œ ํก์ˆ˜ ์†๋„์™€ ํ›จ์”ฌ ํฐ 60๋ถ„ ๋™์•ˆ์— ํก์ˆ˜ํ•œ ์ˆ˜์†Œ์˜ ์–‘์„ ๊ฐ€์ง€๊ณ  ์žˆ์Œ์„ ๋ณด์—ฌ์ค€๋‹ค. ๊ทธ๋ฆผ 5๋Š”, ๊ตฌ์ž…ํ•œ ์ˆœ์ˆ˜ํ•œ Mg์— ๋น„ํ•˜์—ฌ, ๋ฐ˜์‘์„ฑ ๋ฐ€๋งํ•œ Mg-5VCl3 ๋Š” ๋” ๋งŽ์€ ๊ฒฐํ•จ๊ณผ ๋” ์ž‘์€ ์ž…์ž๋ฅผ ๊ฐ€์ง€๊ณ  ์žˆ์Œ์„ ๋ณด์—ฌ ์ค€๋‹ค. Mg์™€ VCl3๋ฅผ ๋ฐ˜์‘์„ฑ ๋ฐ€๋งํ•˜๋Š” ๋™์•ˆ, ๊ฒฉ๋ ฌํ•œ ํž˜๊ณผ ์ธ์žฅ, ์••์ถ•, ํšก๋‹จ ์ŠคํŠธ๋ ˆ์Šค๊ฐ€ ์žฌ๋ฃŒ์— ๊ฐ€ํ•ด์ง„๋‹ค. ์ด ํž˜๋“ค๊ณผ ์ŠคํŠธ๋ ˆ์Šค๊ฐ€, ๊ฒฐํ•จ์„ ์œ ์ž…์‹œํ‚ค๊ณ  ํฌ๋ž™ (crack)์„ ๋งŒ๋“ค๊ณ  ์ƒˆ๋กœ์šด ๊นจ๋—ํ•œ ํ‘œ๋ฉด์„ ๋…ธ์ถœ์‹œํ‚ค๋ฉฐ ์ž…์ž ํฌ๊ธฐ๋ฅผ ์ค„์ด๊ณ  ์ž…์ž๋“ค ์‚ฌ์ด์— ์ฒจ๊ฐ€๋ฌผ์„ ๋ถ„์‚ฐ์‹œํ‚จ๋‹ค. ๊ฒฐํ•จ์˜ ์œ ์ž…์€ ํ•ต ์ƒ์„ฑ์„ ์‰ฝ๊ฒŒ ํ•œ๋‹ค. ํฌ๋ž™์„ ๋งŒ๋“ค๊ณ  ์ƒˆ๋กœ์šด ๊นจ๋—ํ•œ ํ‘œ๋ฉด์„ ๋…ธ์ถœ ์‹œํ‚ค๋ฉด ์ž…์ž์˜ ์ˆ˜์†Œ์™€์˜ ๋ฐ˜์‘์„ฑ์ด ๋†’์•„์ง„๋‹ค. ์ž…์ž์˜ ํฌ๊ธฐ๋ฅผ ์ค„์ด๋ฉด ์ˆ˜์†Œ ์›์ž์˜ ํ™•์‚ฐ ๊ฑฐ๋ฆฌ๋ฅผ ์ค„์ธ๋‹ค [33-38]. ์ด๋“ค ํšจ๊ณผ๋“ค์ด Mg-5VCl3์˜ ์ดˆ๊ธฐ ์ˆ˜์†Œ ํก์ˆ˜ ์†๋„์™€ 60๋ถ„ ๋™์•ˆ์— ํก์ˆ˜ํ•œ ์ˆ˜์†Œ์˜ ์–‘์„ ์ฆ๊ฐ€์‹œํ‚ค๋Š” ๊ฒƒ์œผ๋กœ ํŒ๋‹จ๋œ๋‹ค. Mg-5VCl3์˜ ์ฒจ๊ฐ€๊ฐ€ ์ดˆ๊ธฐ ์ˆ˜์†Œ ํก์ˆ˜ ์†๋„์™€ 60๋ถ„ ๋™์•ˆ์— ํก์ˆ˜ํ•œ ์ˆ˜์†Œ์˜ ์–‘์„ ์ฆ๊ฐ€์‹œํ‚ค๋Š” ์ด์œ ์— ๋Œ€ํ•œ ์ด๋Ÿฐ ์„ค๋ช…์€, ์•ž์—์„œ ์–ธ๊ธ‰ํ•œ ์ (Mg์˜ ์ˆ˜์†Œ ํก์ˆ˜์™€ ๋ฐฉ์ถœ ๋ฐ˜์‘์€ ๊ตฌ๋™๋ ฅ์ด ์ž‘์€ ๊ฒฝ์šฐ์—๋Š” ํ•ต ์ƒ์„ฑ์— ์˜ํ•˜์—ฌ ์ œ์–ด๋˜๊ณ  ํ•ต ์ƒ์„ฑ๊ณผ ์„ฑ์žฅ ๊ธฐ๊ตฌ(mechanism)์— ์˜ํ•˜์—ฌ ์„ฑ์žฅํ•œ๋‹ค. ๊ทธ๋ฆฌ๊ณ  Mg์˜ ์ˆ˜์†Œ ํก์ˆ˜ ์†๋„๋Š”, ์„ฑ์žฅํ•˜๋Š” Mg ์ˆ˜์†Œํ™”๋ฌผ ์ธต์„ ํ†ตํ•œ ์ˆ˜์†Œ ์›์ž์˜ ํ™•์‚ฐ์— ์˜ํ•˜์—ฌ ์ œ์–ด๋œ๋‹ค [30])๊ณผ VCl3์™€ ๋ฐ˜์‘์„ฑ ๋ฐ€๋ง ํ›„์˜ ๋ฏธ์„ธ ๊ตฌ์กฐ์˜ ๋ณ€ํ™”์— ๊ทผ๊ฑฐ๋ฅผ ๋‘๊ณ  ์žˆ๋‹ค. ์ž…์ž์˜ ํฌ๊ธฐ๋ฅผ ์ค„์ด๋Š” ๊ฒƒ์€ ์‹œ๋ฃŒ์˜ ๋‹จ์œ„ ๋ฌด๊ฒŒ ๋‹น ํ‘œ๋ฉด์ ์„ ์ฆ๊ฐ€์‹œํ‚จ๋‹ค. ๋ฐ€๋ง ์ค‘ ํ˜•์„ฑ๋œ ฮฒ-MgH2, ฮณ-MgH2๊ณผ ๋ฐ€๋ง ์ค‘ ์ฒจ๊ฐ€๋ฌผ์˜ ๋ถ„์‡„(pulverization)๋Š” ์ด๋“ค ํšจ๊ณผ๋ฅผ ๋” ๊ฐ•ํ•˜๊ฒŒ ํ•œ๋‹ค. ๋„์ž…๋œ ๊ฒฐํ•จ๊ณผ, ๋ฐ€๋ง ์ค‘ ์ƒ๊ธด ์ƒ๋“ค (ฮฒ-MgH2, ฮณ-MgH2)๊ณผ Mg ์‚ฌ์ด์˜ ๊ณ„๋ฉด, ์ˆ˜์†Œํ™”๋ฌผ ํ˜•์„ฑ ๋ถ„ํ•ด ์‹ธ์ดํด๋ง ์ค‘ ์ƒ๊ธด ์ƒ๋“ค (ฮฒ-MgH2, MgO)๊ณผ Mg ์‚ฌ์ด์˜ ๊ณ„๋ฉด์€, MgH2์™€ Mg-H ๊ณ ์šฉ์ฒด์˜ ํ™œ๋ฐœํ•œ ๋ถˆ๊ท ์ผ ํ•ต์ƒ์„ฑ ์ž๋ฆฌ๋กœ ์ž‘์šฉํ•œ๋‹ค๊ณ  ์ƒ๊ฐ๋œ๋‹ค. Liang ๋“ฑ [39]์€, Mg์™€ ์ด‰๋งค์ œ ์‚ฌ์ด์˜ ๊ณ„๋ฉด์ด ์ˆ˜์†Œํ™”๋ฌผ ์ƒ์˜ ํ™œ๋ฐœํ•œ ํ•ต ์ƒ์„ฑ ์ž๋ฆฌ๋กœ ์ž‘์šฉํ•ด์„œ, ์ˆ˜์†Œ ํก์ˆ˜ ๋ฐ˜์‘์˜ ์•„์ฃผ ์ž‘์€ ๊ตฌ๋™๋ ฅ ํ•˜์—์„œ๋„, ์ˆ˜์†Œ ํก์ˆ˜ ๊ณก์„ ์— ํ•ต ์ƒ์„ฑ ๊ธฐ๊ฐ„์ด ๋‚˜ํƒ€๋‚˜์ง€ ์•Š์•˜๋‹ค๊ณ  ๋ณด๊ณ ํ•˜์˜€๋‹ค. ์ˆ˜์†Œ ํก์ˆ˜-๋ฐฉ์ถœ ์‹ธ์ดํด๋ง ๋™์•ˆ์— ์ƒ์„ฑ๋œ ์ƒ๋“ค์€ ๋˜ํ•œ ํก์ˆ˜-๋ฐฉ์ถœ ์‹ธ์ดํด๋ง ๋™์•ˆ์— ์ž…์ž์˜ ์‘์ง‘์„ ๋ง‰๋Š” ๊ฒƒ์œผ๋กœ ์ƒ๊ฐ๋œ๋‹ค.

๊ทธ๋ฆผ 9๋Š”, Mg-5VCl3๊ฐ€ ๊ฐ€์žฅ ๋†’์€ ์ดˆ๊ธฐ ํก์ˆ˜ ์†๋„์™€ ๊ฐ€์žฅ ํฐ Ha (60 min)๋ฅผ ๊ฐ€์ง€๊ณ  ์žˆ๊ณ , Mg-5TiCl3, Mg-5NbF5, Mg-5TaF5, pure Mg ์ˆœ์„œ๋กœ ์ดˆ๊ธฐ ํก์ˆ˜ ์†๋„์™€ Ha (60 min)๊ฐ€ ๋‚ฎ์•„์ง„๋‹ค๋Š” ๊ฒƒ์„ ๋ณด์—ฌ์ค€๋‹ค. ํ• ๋กœ๊ฒ ํ™”ํ•ฉ๋ฌผ์ด ์ฒจ๊ฐ€๋œ Mg ์‹œ๋ฃŒ๋“ค ์ค‘์—์„œ, VCl3 ์ฒจ๊ฐ€ Mg ์‹œ๋ฃŒ๊ฐ€ ๊ฐ€์žฅ ๋†’์€ ์ดˆ๊ธฐ ํก์ˆ˜ ์†๋„์™€ ๊ฐ€์žฅ ํฐ Ha (60 min)์„ ๊ฐ€์ง€๊ณ  ์žˆ๋‹ค. ์—ผํ™”๋ฌผ (chloride) ์ฒจ๊ฐ€ Mg๊ฐ€ ํ”Œ๋ฃจ์˜ค๋ฅดํ™”๋ฌผ (fluoride) ์ฒจ๊ฐ€ Mg๋ณด๋‹ค ๋†’์€ ์ดˆ๊ธฐ ํก์ˆ˜ ์†๋„์™€ ํฐ Ha (60 min)์„ ๊ฐ€์ง€๊ณ  ์žˆ๋‹ค. ์ด ๊ฒฐ๊ณผ๋“ค์€, ํ”Œ๋ฃจ์˜ค๋ฅดํ™”๋ฌผ์ด ์—ผํ™”๋ฌผ๋ณด๋‹ค ๋” ์šฐ์ˆ˜ํ•œ ์ด‰๋งค์ œ๋ผ๋Š”, Malka ๋“ฑ [15]์˜ ๋ณด๊ณ ์— ๋ฐ˜๋Œ€๋˜๋Š” ๊ฒฐ๊ณผ์ด๋‹ค. Malka ๋“ฑ [15]์€, MgH2-7 wt% VCl3์ด MgH2-7 wt% NbF5, MgH2-7 wt% TaF5, MgH2-7 wt% TiCl3๋ณด๋‹ค ๋” ๋†’์€ ๋ถ„ํ•ด ์˜จ๋„ (Ton)์™€ MgH2 ๋ถ„ํ•ด ํ”ผํฌ (Tpeak) ์˜ ์ตœ๋Œ€ ์˜จ๋„๋ฅผ ๊ฐ€์ง„๋‹ค๊ณ  ๋ณด๊ณ ํ•˜์˜€๋‹ค. ๋” ๋†’์€ Ton๊ณผ Tpeak๋ฅผ ๊ฐ€์ง„ ์‹œ๋ฃŒ๋Š”, ๋” ๋‚ฎ์€ Ton๊ณผ Tpeak๋ฅผ ๊ฐ€์ง„ ์‹œ๋ฃŒ๋ณด๋‹ค, ์ฃผ์–ด์ง„ ์˜จ๋„์—์„œ ๋” ๋‚ฎ์€ ์ˆ˜์†Œ ํก์ˆ˜๋ฅผ ๊ฐ€์ง„๋‹ค๊ณ  ์ƒ๊ฐ๋œ๋‹ค. ๊ทธ๋Ÿฌ๋‚˜ Mg-5VCl3๋Š” Mg-5TiCl3, Mg-5NbF5, Mg-5TaF5๋ณด๋‹ค ๋” ๋†’์€ ์ˆ˜์†Œ ํก์ˆ˜ ์†๋„๋ฅผ ๊ฐ€์ง€๊ณ  ์žˆ๋‹ค. ์ถœ๋ฐœ ๋ฌผ์งˆ๋กœ ์‚ฌ์šฉ๋œ MgH2์™€ Mg์˜, ์ž…๋„, ๊ฒฝ๋„, ์ทจ์„ฑ ๋“ฑ๊ณผ ๊ฐ™์€, ๋ฌผ๋ฆฌ์ ์ธ ์„ฑ์งˆ์˜ ์ฐจ์ด๊ฐ€ ๋ฐ˜์‘์„ฑ ๋ฐ€๋ง์˜ ํšจ๊ณผ์— ์ฐจ์ด๋ฅผ ๊ฐ€์ ธ์™€ ๊ทธ ๊ฒฐ๊ณผ ์ˆ˜์†Œ ํก์ˆ˜ ๋ฐ ๋ฐฉ์ถœ ํŠน์„ฑ์˜ ์ฐจ์ด๋ฅผ ์ผ์œผํ‚จ ๊ฒƒ์œผ๋กœ ํŒ๋‹จ๋œ๋‹ค.

90 wt% Mg + 10 wt% VCl3 ์กฐ์„ฑ์„ ๊ฐ€์ง„ ์‹œ๋ฃŒ๋ฅผ ์ˆ˜์†Œ ๋ถ„์œ„๊ธฐ์—์„œ ๋ฐ€๋ง์— ์˜ํ•˜์—ฌ ์ œ์กฐํ•˜์˜€๊ณ , ์ด ์‹œ๋ฃŒ๋Š” Mg-10VCl3๋ผ๊ณ  ๋ช…๋ช…ํ•˜์˜€๋‹ค. ๊ทธ๋ฆผ 10์€, Mg-5VCl3๊ณผ Mg-10VCl3์— ๋Œ€ํ•˜์—ฌ, n=1, 593 K์—์„œ, 12 bar ์ˆ˜์†Œ ์••๋ ฅ์—์„œ์˜ ์ˆ˜์†Œ ํก์ˆ˜ ๊ณก์„ ๊ณผ 1.0 bar ์ˆ˜์†Œ ์••๋ ฅ์—์„œ์˜ ์ˆ˜์†Œ ๋ฐฉ์ถœ ๊ณก์„ ์„ ๋ณด์—ฌ ์ค€๋‹ค. Mg-5VCl3๊ฐ€ Mg-10VCl3๋ณด๋‹ค ๋†’์€ ์ดˆ๊ธฐ ์ˆ˜์†Œ ํก์ˆ˜ ์†๋„์™€ ํฐ Ha (60 min)์„ ๊ฐ€์ง€๊ณ  ์žˆ๋‹ค. Mg-5VCl3๊ณผ Mg-10VCl3์˜ Ha (60 min)์€ ๊ฐ๊ฐ 6.36, 5.43 wt% H์ด๋‹ค. ๊ทธ๋Ÿฐ๋ฐ, Mg-5VCl3๊ฐ€ Mg-10VCl3๋ณด๋‹ค, ์•„์ฃผ ์กฐ๊ธˆ ๋†’์€ ์ดˆ๊ธฐ ์ˆ˜์†Œ ๋ฐฉ์ถœ ์†๋„๋ฅผ ๊ฐ€์ง€๊ณ  ์žˆ์œผ๋‚˜ ์•ฝ๊ฐ„ ์ ์€ Hd (60 min)์„ ๊ฐ€์ง€๊ณ  ์žˆ๋‹ค. Mg-5VCl3๊ณผ Mg-10VCl3์€ ๊ฐ๊ฐ 4.54, 5.25 wt% H์˜ Hd (60 min)์„ ๊ฐ€์ง€๊ณ  ์žˆ๋‹ค.

4. ๊ฒฐ ๋ก 

95 wt% Mg+5 wt% VCl3 ์กฐ์„ฑ์˜ ์‹œ๋ฃŒ (Mg-5VCl3๋กœ ๋ช…๋ช…)๋ฅผ ๋ฐ˜์‘์„ฑ ๋ฐ€๋ง์œผ๋กœ ์ œ์กฐํ•˜์˜€๋‹ค. ์ œ1 ์‹ธ์ดํด (n=1)์—์„œ, Mg-5VCl3๋Š” 573 K ์ˆ˜์†Œ ์••๋ ฅ 12 bar์—์„œ 5 ๋ถ„ ๋™์•ˆ์— 5.38 wt% H, 60 ๋ถ„ ๋™์•ˆ์— 5.95 wt% H๋ฅผ ํก์ˆ˜ํ•˜์˜€๋‹ค. Mg-5VCl3์˜ ํ™œ์„ฑํ™”๋Š” ์„ธ ์ˆ˜์†Œ ํก์ˆ˜-๋ฐฉ์ถœ ์‹ธ์ดํด ํ›„์— ์™„๋ฃŒ ๋˜์—ˆ๋‹ค. n=3์—์„œ, Mg-5VCl3๋Š” 593 K ์ˆ˜์†Œ ์••๋ ฅ 1.0 bar์—์„œ 2.5๋ถ„ ๋™์•ˆ์— 0.10 wt% H๋ฅผ ๋ฐฉ์ถœํ•˜๊ณ , 60 ๋ถ„ ๋™์•ˆ์— 4.71 wt% H๋ฅผ ๋ฐฉ์ถœํ•˜์˜€๋‹ค. ์ˆ˜์†Œ ๋ถ„์œ„๊ธฐ์—์„œ ๋ฐ€๋งํ•˜๋Š” ๋™์•ˆ, ฮฒ-MgH2, ฮณ-MgH2 ์ƒ๋“ค์ด ์ƒ์„ฑ๋˜์—ˆ๋‹ค. VCl3์™€ Mg์˜ ๋ฐ˜์‘์„ฑ ๋ฐ€๋ง์€, Mg ์ž…์ž์˜ ํ‘œ๋ฉด๊ณผ ๋‚ด๋ถ€์— ๊ฒฐํ•จ์„ ์œ ์ž…์‹œํ‚ค๊ณ  ํฌ๋ž™ (crack)์„ ๋งŒ๋“ค๊ณ  ์ƒˆ๋กœ์šด ๊นจ๋—ํ•œ ํ‘œ๋ฉด์„ ๋…ธ์ถœ์‹œํ‚ค๋ฉฐ ์ž…์ž ํฌ๊ธฐ๋ฅผ ์ค„์ธ๋‹ค. ์ด๋“ค ํšจ๊ณผ๋“ค์ด Mg-5VCl3์˜ ์ดˆ๊ธฐ ์ˆ˜์†Œ ํก์ˆ˜ ์†๋„์™€ 60 ๋ถ„ ๋™์•ˆ์— ํก์ˆ˜ํ•œ ์ˆ˜์†Œ์˜ ์–‘์„ ์ฆ๊ฐ€์‹œํ‚ค๋Š” ๊ฒƒ์œผ๋กœ ํŒ๋‹จ๋œ๋‹ค. ํ˜•์„ฑ๋œ ฮฒ-MgH2, ฮณ-MgH2๋Š”, ์ž์‹ ๋“ค์ด ๋ถ„์‡„๋˜์–ด, ๋ฐ˜์‘์„ฑ ๋ฐ€๋ง์˜ ํšจ๊ณผ๋ฅผ ์ฆ๊ฐ€ ์‹œํ‚ค๋Š”๊ฒƒ์œผ๋กœ ์ƒ๊ฐ๋œ๋‹ค. ๋„์ž…๋œ ๊ฒฐํ•จ๊ณผ, ๋ฐ€๋ง ์ค‘ ์ƒ๊ธด ์ƒ๋“ค(ฮฒ-MgH2, ฮณ-MgH2)๊ณผ Mg ์‚ฌ์ด์˜ ๊ณ„๋ฉด, ์ˆ˜์†Œํ™”๋ฌผ ํ˜•์„ฑ ๋ถ„ํ•ด ์‹ธ์ดํด๋ง ์ค‘ ์ƒ๊ธด ์ƒ๋“ค (ฮฒ-MgH2, MgO)๊ณผ Mg ์‚ฌ์ด์˜ ๊ณ„๋ฉด์€, MgH2์™€ Mg-H ๊ณ ์šฉ์ฒด์˜ ํ™œ๋ฐœํ•œ ๋ถˆ๊ท ์ผ ํ•ต์ƒ์„ฑ ์ž๋ฆฌ๋กœ ์ž‘์šฉํ•œ๋‹ค๊ณ  ์ƒ๊ฐ๋œ๋‹ค. ์ˆ˜์†Œ ํก์ˆ˜-๋ฐฉ์ถœ ์‹ธ์ดํด๋ง ๋™์•ˆ์— ์ƒ์„ฑ๋œ ์ƒ๋“ค์€ ๋˜ํ•œ ํก์ˆ˜-๋ฐฉ์ถœ ์‹ธ์ดํด๋ง ๋™์•ˆ์— ์ž…์ž์˜ ์‘์ง‘์„ ๋ง‰๋Š” ๊ฒƒ์œผ๋กœ ์ƒ๊ฐ๋œ๋‹ค.

Acknowledgements

์ด ๋…ผ๋ฌธ์€ 2020๋…„๋„ ์ „๋ถ๋Œ€ํ•™๊ต ์—ฐ๊ตฌ๊ธฐ๋ฐ˜ ์กฐ์„ฑ๋น„ ์ง€์›์— ์˜ํ•˜์—ฌ ์—ฐ๊ตฌ๋˜์—ˆ์œผ๋ฉฐ ์ด์— ๊ฐ์‚ฌํ•ฉ๋‹ˆ๋‹ค.

REFERENCES

1 
Song M.Y., Kwak Y.J., Lee S.H., Park H.R., Korean J. Met. Mater,51, 119 (2013)Google Search
2 
Reilly J.J., Wiswall R.H., Inorg. Chem,6, 2220 (1967)Google Search
3 
Reilly J.J., Wiswall R.H., Inorg. Chem,7, 2254 (1968)Google Search
4 
Akiba E., Nomura K., Ono S., Suda S., Int. J. Hydrogen Energy,7, 787 (1982)Google Search
5 
Wu D., Ouyang L., Wu C., Wang H., Liu J., Sun L., Zhu M., J. Alloys Compd,642, 180 (2015)Google Search
6 
Li Z., Liu X., Jiang L., Wang S., Int. J. Hydrogen Energy,32, 1869 (2007)Google Search
7 
Lucaci M., Biris A.R., Orban R.L., Sbarcea G.B., Tsakiris V., J. Alloys Compd,488, 163 (2009)Google Search
8 
Li Z., Liu X., Huang Z., Jiang L., Wang S., Wang, Rare Metals,25, (6) (Supplement 1, 247 (2006)Google Search
9 
Lin H.J., Ouyang L.Z., Zhao D.Q., Wang W.H., Sun D.L., Zhu M., Int. J. Hydrogen Energy,37, 14329 (2012)Google Search
10 
Hong S.H., Kwon S.N., Song M.Y., Korean J. Met. Mater,49, 298 (2011)Google Search
11 
Kim K. I., Hong T.W., Korean J. Met. Mater,49, 264 (2011)Google Search
12 
Boulet J.M., Gerard N., J. Less-Common Met,89, 151 (1983)Google Search
13 
Wu D., Ouyang L., Wu C., Gu Q., Wang H., Liu J., Sun L., Zhu M., J. Alloys. Compd,690, 519 (2017)Google Search
14 
Jiang X., Fu K., Xiao R., Wu Y., Sun B., Shao H., Wu X., Zheng J., Li X., J. Alloys Compd,751, 176 (2018)Google Search
15 
Malka I.E., Czujko T., Bystrzycki J., Int. J. Hydrogen Energy,35, 1706 (2010)Google Search
16 
Malka I.E., Pisarek M., Czujko T., Bystrzycki J., Int. J. Hydrogen Energy,36, 12909 (2011)Google Search
17 
Zhang T., Hou X., Hu R., Kou H., Li J., Mater. Chem. Phys,183, 65 (2016)Google Search
18 
Hou X., Hu R., Yang Y., Feng L., Int. J. Hydrogen Energy,42, 22953 (2017)Google Search
19 
Jangir M., Jain A., Yamaguchi S., Ichikawa T., Lal C., Jain I.P., Int. J. Hydrogen Energy,41, 14178 (2016)Google Search
20 
Song M.Y., Kwak Y.J., Lee S.H., Park H.R., Korean J. Met. Mater,52, 137 (2014)Google Search
21 
Lee S.H., Kwak Y.J., Park H.R., Song M.Y., Int. J. Hydrogen Energy,39, 16486 (2014)Google Search
22 
Lee S.H., Kwak Y.J., Park H.R., Song M.Y., Korean J. Met. Mater,53, 187 (2015)Google Search
23 
Wikipedia, https://en.wikipedia.org/wiki/Vanadium(III)_chloride, Vanadium(III) chloride, (2021)Google Search
24 
Song M.Y., Baek S.H., Bobet J.-L., Hong S.H., Int. J. Hydrogen Energy,35, 10366 (2010)Google Search
25 
Song M.Y., Kwak Y.J., Korean J. Met. Mater,56, 244 (2018)Google Search
26 
Bastide J.-P., Bonnetot B., Leยดtoffeยด J.-M., Claudy P., Mat. Res. Bull,15, 1215 (1980)Google Search
27 
Bortz M., Bertheville B., Yvon K., Movlaev E.A., Verbetsky V. N., Fauth F., J. Alloys Comp,279, L8 (1998)Google Search
28 
Bortz M., Bertheville B., Bล‘ttger G., Yvon K., J. Alloys Comp,287, L4 (1999)Google Search
29 
Conceiรงรฃo M.O.T. da, Brum M.C., Santos D.S. dos, J. Alloys Compd,586, Supplement 1, S101 (2014)Google Search
30 
Song M.Y., J. Mater. Sci,30, 1343 (1995)Google Search
31 
Song M.Y., Kwak Y.J., Shin H.-S., Lee S.H., Kim B.G., Int. J. Hydrogen Energy,38, 1910 (2013)Google Search
32 
Kwak Y.J., Park H.R., Song M.Y., J. Nanosci. Nanotech,17, 8105 (2017)Google Search
33 
Song M.Y., Choi E., Kwak Y.J., Met. Mater. Int,25, 516 (2019)Google Search
34 
Song M.Y., Kwak Y.J., Korean J. Met. Mater,57, 176 (2019)Google Search
35 
Choi E., Kwak Y.J., Song M.Y., Korean J. Met. Mater,57, 663 (2019)Google Search
36 
Song M.Y., Choi E., Kwak Y.J., Int. J. Hydrogen Energy,44, 3779 (2019)Google Search
37 
Song M.Y., Kwak Y.J., Lee S.H., J. Ceram. Process. Res,20, 173 (2019)Google Search
38 
Song M.Y., Choi E., Kwak Y.J., Metals,9, 1347 (2019)Google Search
39 
Liang G., Huot J., Boily S., Van Neste A., Schulz R., J. Alloys Compd,292, 1-2, 247 (1999)Google Search

Figures and Tables

Fig. 1.

Variations of (a) hydrogenation curve at 573 K in 12 bar hydrogen and (b) dehydrogenation curve at 573 K in 1.0 bar hydrogen with number of cycles, n, for Mg-5VCl3.

../../Resources/kim/KJMM.2021.59/kjmm-2021-59-10-709f1.jpg
Fig. 2.

Variations of (a) hydrogenation curve at 593 K in 12 bar hydrogen and (b) dehydrogenation curve at 593 K in 1.0 bar hydrogen with number of cycles, n, for Mg-5VCl3.

../../Resources/kim/KJMM.2021.59/kjmm-2021-59-10-709f2.jpg
Fig. 3.

Variation of hydrogenation curve in 12 bar hydrogen with temperature (423 K, 473 K, and 523 K) for Mg-5VCl3.

../../Resources/kim/KJMM.2021.59/kjmm-2021-59-10-709f3.jpg
Fig. 4.

Variation of dehydrogenation curve in 1.0 bar hydrogen with temperature (523 K, 573 K, and 593 K) for Mg-5VCl3.

../../Resources/kim/KJMM.2021.59/kjmm-2021-59-10-709f4.jpg
Fig. 5.

(a, b) SEM micrographs of Mg-5VCl3 after reactive milling and (c) a SEM micrograph of pure Mg.

../../Resources/kim/KJMM.2021.59/kjmm-2021-59-10-709f5.jpg
Fig. 6.

SEM micrographs of Mg-5VCl3 dehydrogenated at the fourth hydrogenation-dehydrogenation cycle.

../../Resources/kim/KJMM.2021.59/kjmm-2021-59-10-709f6.jpg
Fig. 7.

XRD pattern of Mg-5VCl3 after reactive milling.

../../Resources/kim/KJMM.2021.59/kjmm-2021-59-10-709f7.jpg
Fig. 8.

XRD pattern of Mg-5VCl3 dehydrogenated at the seventh hydrogenation-dehydrogenation cycle.

../../Resources/kim/KJMM.2021.59/kjmm-2021-59-10-709f8.jpg
Fig. 9.

Hydrogenation curves at 593 K in 12 bar hydrogen at n=3 for as-purchased pure Mg, Mg-5VCl3, Mg-5TiCl3, Mg-5NbF5, and Mg-5TaF5.

../../Resources/kim/KJMM.2021.59/kjmm-2021-59-10-709f9.jpg
Fig. 10.

Hydrogenation curves at 593 K in 12 bar hydrogen and dehydrogenation curves at 593 K in 1.0 bar hydrogen at n = 1 for Mg-5VCl3 and Mg-10VCl3.

../../Resources/kim/KJMM.2021.59/kjmm-2021-59-10-709f10.jpg
Table 1.

Variations of Ha (wt% H) with time at 573 K in 12 bar hydrogen at n=1-4 for Mg-5VCl3.

2.5 min 5 min 10 min 30 min 60 min
n=1 4.39 5.38 5.78 5.96 5.95
n=2 4.52 5.43 5.61 5.73 5.80
n=3 4.55 5.41 5.55 5.71 5.77
n=4 4.50 5.33 5.49 5.58 5.64
Table 2.

Variations of Hd (wt% H) with time at 573 K in 1.0 bar hydrogen at n=1-4 for Mg-5VCl3.

2.5 min 5 min 10 min 30 min 60 min
n=1 0.05 0.11
n=2 0.05 0.16
n=3 0.03 0.14
n=4 0.01 0.16
Table 3.

Variations of Ha (wt% H) with time at 593 K in 12 bar hydrogen at n=1-4 for Mg-5VCl3.

2.5 min 5 min 10 min 30 min 60 min
n=1 3.37 4.64 5.84 6.36 6.36
n=2 3.55 5.07 6.08 6.18 6.24
n=3 3.64 5.16 6.07 6.19 6.22
n=4 3.57 5.11 6.00 6.07 6.14
Table 4.

Variations of Hd (wt% H) with time at 593 K in 1.0 bar hydrogen at n=1-4 for Mg-5VCl3.

2.5 min 5 min 10 min 30 min 60 min
n=1 0.12 0.24 0.60 2.49 4.54
n=2 0.11 0.25 0.59 2.47 4.63
n=3 0.10 0.25 0.60 2.40 4.71
n=4 0.13 0.28 0.61 2.29 4.72