이응혁
(Eung Hyuk Lee)
1
유창재
(Chang Jae Yu)
1
이홍범
(Hong-Bum Lee)
1
김지훈
(Ji-Hoon Kim)
1
서동우
(Dong-Woo Suh)
1*
-
포항공과대학교 철강대학원
(Graduate Institute of Ferrous Technology, Pohang University of Science and Technology
Pohang 37673, Republic of Korea)
Copyright © 2021 The Korean Institute of Metals and Materials
Key words
complex phase steels, martensite-bainite, isothermal heat treatment, transformation, hardening
1. 서 론
차체 경량화를 통한 에너지 효율 향상과 온실가스 저감 그리고 충돌 시 승객 안전 확보를 위해 자동차용 강판에 대한 고강도화 요구가 지속적으로 증가하고
있다. 기가스틸로 알려진 인장강도 1 GPa 이상의 초고강도 강판 제조를 위해서 다양한 합금원소와 미세조직을 활용하는 advanced high strength
steels (AHSS)이 개발되고 있는데, 그 중에서 베이나이트와 마르텐사이트로 이루어진 미세조직을 가지는 복합조직강은 비교적 낮은 함량의 합금원소로도
1 GPa 이상의 인장강도와 10%를 상회하는 연신율을 나타냄으로서 적용 분야가 점차 확대될 것으로 기대되고 있다 [1-7].
베이나이트와 마르텐사이트로 이루어진 복합조직강을 제조하는 열처리 공정은 크게 두 가지로 구분할 수 있다. 기존에 많이 활용되는 공정은 냉간압연된 강판을
오스테나이트화 처리 후 냉각하는 과정에서 일정한 분율의 베이나이트를 형성시키고 이후 급랭하여 마르텐사이트를 생성시키는 공정이다 [2-4,8-10]. 최근에는 냉간압연된 강판을 오스테나이트화 처리 후 일정 분율의 마르텐사이트를 생성시킬 수 있는 온도로 급랭하고 이후 항온변태에 의해 베이나이트를
형성시키는 방법도 제안되고 있다 [11,12]. 마르텐사이트 변태 후 항온열처리 시 생성되는 미세조직에 대해서는 Bohemen 등이 [13] 0.66C-0.69Mn-0.3Si강의 선팽창 분석에 기반한 변태속도 해석을 통해 베이나이트에 가깝다고 보고하였고, 이후 Zhao [12]등이 0.15C 및 0.28C 기반 저탄소강에 대해 유사한 결과를 보고한 바 있다. 이러한 열처리는 one-step quenching and partitioning
(Q&P)공정과 유사한 측면이 있으나 Q&P 공정에 있어서 항온열처리의 주된 목적은 마르텐사이트로부터 오스테나이트로의 C 확산에 의해 오스테나이트의
안정성을 확보하는데 있는 반면 복합조직강의 경우에는 항온유지 구간에서 베이나이트 변태를 통해 마르텐사이트-베이나이트로 이루어진 복합상을 구현하는데
있다. 최근 연구결과에 의하면 급속냉각에 의해 마르텐사이트를 우선 형성시킨 후 후속 항온변태에 의해 베이나이트를 형성시키는 경우에 균일한 침상형의
복합상 미세조직을 구현할 수 있어 기존의 열처리에 비하여 뛰어난 인성을 확보할 수 있다고 보고되고 있다 [8,14-16].
초고강도 복합조직강에 있어 주로 활용되는 합금원소는 C 및 Mn, Si 인데, 이 중에서도 Si은 높은 고용강화와 가공경화를 나타내며 또한 잔류 오스테나이트를
안정화시킴으로서 강도 및 연성 향상에 효과적인 원소이다 [17-21]. 그러나 다량의 Si이 첨가되는 경우에는 어닐링 공정 중 발생하는 표면산화물로 인하여 아연도금성이 나빠지고 점용접성 등 이용 물성이 저하되는 것으로
알려져 있다 [22-24]. 이러한 문제점을 극복하기 위하여 변태유기소성강(TRIP steel)과 같은 고강도강에 대해서 Si과 유사한 효과를 나타내는 것으로 알려진 Al
첨가에 대한 연구가 많이 진행되어 왔다 [25-27]. 그러나 베이나이트와 마르텐사이트로 이루어진 초고강도 복합조직강에 있어서는 Al에 의한 Si 대체 효과에 대해 보고된 바가 많지 않다. 따라서
본 연구에서는 인장강도 1 GPa 이상을 나타내는 초고강도 베이나이트-마르텐사이트 복합조직강에 있어서 Si과 Al 함량과 항온열처리 조건이 강판의
구성상 분율 변화에 미치는 영향을 정량적으로 분석하였다. 초고강도 강판의 합금원소의 차이에 따른 기계적 특성 변화를 고용강화효과뿐만 아니라 항온변태
거동과 이에 따른 구성상의 미세조직에 미치는 영향에 기반하여 해석함으로써 Al 첨가가 초고강도 복합조직강의 특성에 미치는 영향을 체계적으로 고찰하고자
하였다.
2. 실험 방법
실험에 사용된 합금의 화학조성을 표 1에 나타내었다. 두 합금은 모두 C 0.2 wt.%, Mn 2.0 wt.% 를 기반으로 하는 저탄소강이다. 1.55Si 합금은 Si 함량이 1.55
wt.% 이며 0.77Si-0.76Al 합금은 0.76 wt.% Al을 첨가하고 Si 함량이 0.77 wt.% 로 저감된 화학조성을 가지고 있다.
합금은 진공용해를 통해 50 kg 잉곳(ingot)으로 제조하였다. 각 잉곳은 1200 °C에서 2 시간 동안 균질화 처리 후, 950 °C 이상에서
마무리 압연 하여 열연강판을 제조하였으며 이후 냉간압연을 통해 최종 두께 1.6 mm 냉연강판을 제조하였다.
다양한 분율을 가지는 마르텐사이트와 베이나이트로 이루어진 복합조직을 구현하기 위하여 상자로와 염욕을 이용하여 냉연강판을 그림 1과 같이 열처리하였다. 오스테나이트화 온도는 선팽창 곡선으로부터 측정된 Ac3 온도(표 1)를 고려하여 1.55Si 합금은 900 °C, 0.77Si-0.76Al 합금은 950 °C에서 각각 30분 동안 상자로에서 열처리하였다. 이후 선팽창
곡선으로부터 측정된 Ms 온도(표 1) 근방인 420 °C, 380 °C, 340 °C, 300 °C로 유지된 염욕에서 10분 동안 항온 열처리 후 상온으로 냉각하였다.
합금의 상변태 온도 및 베이나이트, 마르텐사이트 상분율 해석을 위하여 선팽창 측정 장치(Bähr, DIL 805 pushrod dilatometer)를
이용하였다. 선팽창 곡선 측정은 두께 1.6 mm, 폭 3 mm, 길이 10 mm 시편을 사용하여 진행하였다. 잔류 오스테나이트 분율은 X-선 시험기(Bruker,
D8 Advance) 를 이용하여 회절 피크의 적분강도를 이용하여 평가하였다. X-선 회절시험을 위해 연마지와 연마액을 이용하여 시편 표면을 기계적으로
연마하고 표면부 변형층 영향을 최소화하기 위해 최종 연마단계에서는 전기화학적방법을 사용하여 연마하였다. 열처리된 합금의 미세조직은 주사전자현미경(FE-SEM,
JEOL FE-SEM 7100)과 후방산란전자회절(EBSD) 그리고 투과전자현미경(FE-TEM, JEOL JEM-2100F)을 이용하여 분석하였다.
FE-SEM과 EBSD 분석을 위한 시편 준비는 기본적으로 X-선 회절시험을 위한 시편과 동일한 방법으로 준비하였고 최종 연마 후 나이탈 부식액을
이용하여 표면을 부식시킨 후 미세조직을 관찰하였다. 투과전자현미경 시편은 thin-foil 형태로 준비하여 jet-polishing 후 관찰하였다.
열처리된 합금의 기계적 특성은 인장시험기(Zwick universal tester, Z100)를 이용하여 변형률 속도 10-3 /s 으로 평가하였다. 인장시험용 시편은 ASTM E8M sub-size 규격의 판상시편으로 가공하였다.
3. 결 과
3.1 합금조성과 열처리 조건에 따른 미세조직
그림 2는 1.55Si 합금과 0.77Si-0.76Al 합금을 오스테나이트화 처리 후 급랭하여 (그림 1의 점선 화살표) 오스테나이트 결정립크기를 나타낸 SEM 사진이다. 1.55Si와 0.77Si-0.76Al 합금의 오스테나이트 결정립 크기는 각각
7.2 mm와 9.0 mm로 평가되었다. 0.77Si-0.76Al 합금은 Al첨가로 인해 Ac3 온도가 상승하여 1.55Si 합금에 비하여 오스테나이트화 처리를 위한 어닐링 온도를 50 °C 높게 설정하였으며 이 때문에 오스테나이트 결정립 크기가
다소 증가한 것으로 생각된다. 각 합금의 열처리 완료 후 미세조직을 그림 3에 나타내었다. 두 합금의 최종미세조직은 항온변태온도에 따라 다양한 마르텐사이트와 베이나이트 분율을 가지는 복합조직을 가지고 있을 것으로 생각되는데,
미세조직 사진 상으로는 전체적으로 침상형 미세조직을 나타내어 마르텐사이트와 베이나이트로 이루어진 구성상 분율을 정량화 하기는 곤란하였다. 투과전자현미경으로
베이나이트 또는 마르텐사이트라고 판단되는 침상형 미세조직의 래스구조를 확인한 결과(그림 4), 복합조직의 평균 래스폭은 약 300 nm~350 nm 수준이었으며 합금조성과 항온열 처리 조건에 따른 평균 래스 폭은 큰 차이를 나타나지 않았다.
합금의 기계적 특성에 직접적으로 영향을 미치는 고경각 입계 특성을 확인하기 위하여 EBSD를 이용하여 결정방위를 측정하고, 이를 기반으로 하여 결정방위
어긋남각이 15° 이상인 입계로 둘러싸인 유효결정립 크기를 평가하였다. 전단변태로 형성되는 미세조직은 구 오스테나이트 결정립 및 패킷, 블록, 래스로
이루어지는 계층적 구조를 나타내는데 이중에서 결정방위 어긋남각이 15° 이상인 계면은 구 오스테나이트 결정립 또는 패킷과 블록을 둘러싸는 계면으로
알려져 있다. 따라서 본 연구에서 분석한 유효결정립 크기는 구 오스테나이트 결정립계 및 패킷과 블록을 둘러싸는 계면을 모두 고려하여 평가된 결정립
크기라고 할 수 있다. 그림 5에서 알 수 있듯이 항온변태온도가 낮아질수록 유효결정립 크기가 점차 감소하여 조직 미세화 효과가 나타남을 확인할 수 있었다. 또한 Ms 온도 이하에서 항온열처리 하는 경우에는 0.77Si-0.76Al 합금이 1.55Si 합금보다 미세한 유효결정립 크기를 나타냈지만, Ms 온도 이상의 항온열처리의 경우에는 1.55Si 합금의 유효결정립이 보다 미세하였다.
합금원소와 항온열처리 온도에 따른 구성상 분율을 정량적으로 파악하기 위해 선팽창 거동을 분석하였다. 그림 6은 1.55Si와 0.77Si-0.76Al 합금에 대해 오스테나이트화 열처리 후 냉각과정, 항온변태처리 및 후속 냉각과정에서 측정한 선팽창 곡선을
나타낸다.
항온변태온도가 420 °C 로서 Ms 온도 이상인 경우에는 두 합금 모두 항온변태온도로 냉각하는 과정에서 상변태가 발생하지 않았으며 항온변태온도에서 10분 유지하는 동안 베이나이트 변태로
인한 선팽창이 관찰되었다. 또한 1.55Si 합금은 항온변태처리 후 후속 냉각과정에서 추가적인 선팽창 거동을 명확하게 나타내고 있는데 이것은 베이나이트
변태 후 남아 있던 오스테나이트가 열적 안정성 부족으로 인해 최종 냉각과정에서 마르텐사이트로 변태되었다는 것을 나타낸다. 이에 비하여 0.77Si-0.76Al
합금의 경우에는 최종 냉각과정에서 마르텐사이트 변태가 거의 발생하지 않았다. 항온변태온도가 Ms 온도 이하인 경우에는 (300, 340, 380 °C) 항온변태온도로 냉각하는 과정에서 마르텐사이트 변태로 인한 선팽창 거동이 관찰되었고 이후 항온변태처리
중 베이나이트 변태에 의한 선팽창이 관찰되었다. Ms 온도 이하 항온변태 조건에서는 두 합금 모두 최종 냉각단계에서 마르텐사이트 변태가 거의 발생하지 않았다.
각 합금의 선팽창 곡선으로부터 마르텐사이트와 베이나이트 분율을 구하기 위한 과정을 그림 7에 도식적으로 나타내었다. 합금을 오스테나이트화 처리 후 냉각하여 항온열처리하고 다시 상온까지 냉각한 후 재가열하면 붉은 점선과 파란 점선으로 각각
나타낸 오스테나이트 단상조직과 최종 미세조직의 선팽창 거동을 알 수 있다. 이에 기반하여 항온변태온도로 냉각하는 과정에서 생성된 마르텐사이트 분율(fM(T))과 항온변태과정에서 생성된 베이나이트의 분율(fB(T))을 각각 아래와 같이 근사할 수 있다.
여기서 fγ 는 상온에서 XRD 분석에 의해 측정한 잔류 오스테나이트 분율이다. 1.55Si 합금의 420 °C 항온열처리 경우와 같이 항온변태 처리에 의해
베이나이트가 먼저 생성되고 이후 최종 냉각과정에서 마르텐사이트 변태가 발생하는 경우에도 동일한 방법으로 상분율을 정량화할 수 있다. 선팽창 분석으로
구한 1.55Si 합금과 0.77Si-0.76Al 합금의 최종 미세조직 상분율을 그림 8에 나타내었다. 항온변태온도가 낮아질수록 오스테나이트화 처리 후 냉각과정에서 생성되는 마르텐사이트(1st martensite) 분율이 증가하여 두 합금 모두 300 °C 수준(Ms 온도보다 약 100 °C 낮은 온도)의 항온변태온도로 냉각하는 경우 약 75% 정도의 마르텐사이트 분율을 나타내었다. Ms 온도 이상인 400 °C에서 항온열처리하면 1.55Si 합금의 경우에 항온변태처리 후 상온으로 냉각하는 과정에서 생성되는 마르텐사이트 (2nd martensite) 상분율이 약 40% 이르는 것으로 평가되었다. Ms 온도 이하에서 항온열처리 하는 경우에는 1.55Si 합금과 0.77Si-0.76Al 합금의 구성상 분율은 크게 차이 나지 않았는데 Si과 Al 함량의
차이가 Ms 온도에 미치는 영향이 크지 않아 (표 1) Ms 온도 이하 항온변태 온도로 냉각하는 과정에서 생성되는 마르텐사이트(1st martensite) 분율이 거의 유사하기 때문인 것으로 생각된다. 그림 9에 각 합금의 항온변태조건에 따른 XRD 측정결과를 나타내었다. 열처리 과정에서 마르텐사이트(1st or 2nd martensite)가 거의 생성되지 않는 조건(fM < 5%)에서는 잔류 오스테나이트 분율은 6~9% 정도이었으나 마르텐사이트분율 증가와 더불어 잔류 오스테나이트 분율은 약 3% 수준으로 감소하였다.
인장시험 후 균일 연신된 영역에서는 오스테나이트가 거의 잔류하지 않는 것으로 측정되어 인장 변형 중에 대부분 변형유기변태된 것으로 판단된다. Ms 온도 이하의 동일한 항온열처리 조건에서는 1.55Si과 0.77Si-0.76Al 합금에서 잔류 오스테나이트를 포함한 구성상 분율이 거의 유사하므로
오스테나이트의 변형유기변태가 인장 거동에 미치는 영향은 두 강종에서 큰 차이를 나타내지 않을 것으로 생각된다.
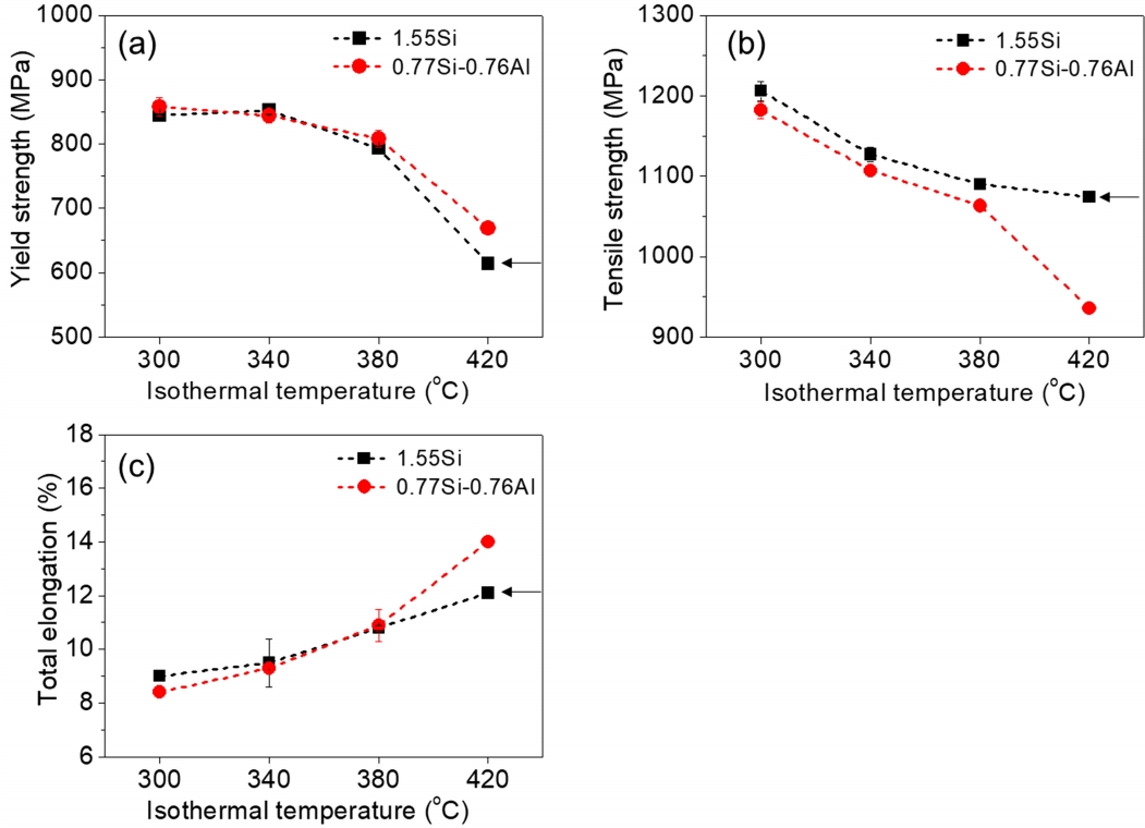
3.2 인장특성
그림 10와 11에 열처리 조건에 따른 대표적인 응력-변형률 곡선과 기계적 특성을 나타내었다. 1.55Si 와 0.77Si-0.76Al 합금은 모두 연속항복거동을
보여주고 있는데 (그림 10) 이는 베이나이트 또는 마르텐사이트 생성을 위한 전단변태(displacive transformation) 과정에서 전위밀도가 급격히 증가하여 열처리된
미세조직 내 일정 수준의 가동전위가 존재하고 있다는 것을 의미한다 [28,29]. 전단변태가 진행되는 온도가 낮아질수록 상변태 과정에서 생성된 전위의 재배열에 의한 회복이 어려워져 구성상 내 전위밀도는 높은 수준을 유지하게
된다. 또한 Ms 온도 이하에서는 항온변태온도가 낮아짐에 따라 1st martensite 및 베이나이트로부터 주위로 확산에 의한 탄소분배가 억제되므로 침상미세조직 내 고용탄소의 양이 증가하여 더 높은 고용강화효과를
나타내게 된다. 이에 따라 1.55Si와 0.77Si-0.76Al 합금은 항온변태온도가 낮아짐에 따라 강도가 증가하고 연신율은 감소하는 경향을 나타낸다
(그림 11). 이와 함께 항온변태온도 감소에 따른 유효결정립 미세화 효과도 합금의 강화에 기여하고 있는 것으로 판단된다 (그림 5(b)).
Ms 온도 이하 (300, 340, 380 °C)에서 항온열처리 하는 경우에 1.55Si와 0.77Si-0.76Al 합금은 거의 같은 항복강도를 보여주었고
인장강도는 1.55Si 합금이 약 25 MPa 정도 높은 수준을 나타내었다. 1.55Si 합금이 0.77Si-0.76Al 합금에 비하여 유사한 항복강도에서
다소 높은 인장강도를 나타내는 것은 높은 Si 함량에 따른 가공경화효과에 기인하는 것으로 생각할 수 있다. 하지만 고용강화효과가 84 MPa/wt.%
로서 뛰어난 Si의 함량 차이가 0.78 wt.% 인 1.55Si와 0.77Si-0.76Al 합금이 비슷한 항복강도를 나타내고 있는 것은 주목할 만하다
[20]. 합금원소 측면에서 보면 0.77Si-0.76Al 합금 조성은 1.55Si 합금에서 Si 일부를 Al으로 대체한 것으로서 합금성분의 변화가 복합조직강의
항복강도에 미치는 영향에 대한 정량적인 분석이 필요할 것으로 판단되며 다음 장에서 이에 대해 고찰하였다.
한편 Ms 온도 이상에서 항온열처리 한 경우(420 °C), 1.55Si 합금은 0.77Si-0.76Al 합금에 비하여 항복강도가 다소 낮아지고, 연신율의
저하와 동반하여 인장강도가 현저히 상승하는 것을 알 수 있다 (그림 11의 화살표). 앞 절의 상분율 해석 결과에서 언급한 바와 같이 1.55Si 합금은 420 °C에서 항온변태처리 후 상온으로 냉각하는 과정에서 다량의
2nd martensite가 생성된다. Ms 온도 이하의 항온열처리 시 생성되는 1st martensite의 경우에는 오스테나이트화 처리 후 항온변태온도로 냉각하는 과정에서 생성되어 항온변태온도에서 유지하는 동안 일정 수준의 템퍼링
효과를 기대할 수 있다. 그러나 2nd martensite에서는 이러한 템퍼링 효과를 기대하기 어려우며 또한 선행하는 베이나이트 변태 과정에서 탄소 농축이 이루어진 오스테나이트로부터 마르텐사이트
변태가 진행되므로 높은 인장강도와 낮은 연성을 나타내게 된다. 420 °C에서 항온변태 과정을 거친 1.55Si 합금의 인장특성은 이러한 2nd martensite의 특성에 기인한다고 생각된다.
4. 고 찰
Ms 온도 이하에서 동일한 조건으로 항온 열처리한 경우에 Si 함량이 높은 1.55Si 합금과 Si 일부를 Al으로 대체한 0.77Si-0.76Al 합금은
거의 유사한 항복강도를 나타내었다 (그림 10(a)). Si은 고용강화에 매우 효과적인 원소로 널리 활용되고 있는데, 1.55Si와 0.77Si-0.76Al 합금의 Si 함량 차이에도 거의 유사한
항복강도를 나타내고 있는 것은 0.77Si-0.76Al 합금에 있어 Si에 의한 고용강화효과 외에 다른 인자에 의한 강화효과가 작동하고 있음을 의미한다.
본 연구에 사용된 두 합금의 항복강도에 영향을 미치는 인자로서 구성상 분율, 오스테나이트의 변형유기변태, 고용강화원소, 그리고 결정립 크기 등을 들
수 있다. 420 °C에서 항온변태 시킨 경우를 제외하면 Ms 온도 이하의 동일한 온도에서 항온변태처리 하는 조건에서 1.55Si 합금과 0.77Si-0.76Al 합금의 구성상 분율은 거의 비슷한 수준이며 또한
유사한 분율의 잔류 오스테나이트가 인장시험 시 대부분 변형유기 변태되므로 이에 기인하는 강도 차이는 크지 않을 것으로 생각된다. 따라서 두 합금의
항복 강도 차이에 주로 영향을 미치는 인자는 고용강화효과와 결정립 크기라고 판단할 수 있다. 고용원소와 결정립 크기가 합금의 강화효과에 미치는 영향을
구분하기 위해서 합금의 σY (항복강도)를 D-1/2 (결정립크기-1/2)의 함수로 그림 12과 같이 나타내었다.
최종 냉각단계에서 2nd martensite가 생성되지 않아 베이나이트 및 1st martensite로 이루어진 미세조직을 가지는 0.77Si-0.76Al 합금의 경우 σY 와 D-1/2 가 거의 직선적인 관계(붉은색 점선)를 나타내어 아래와 같은 Hall-Petch 관계로 근사할 수 있음을 알 수 있다.
여기서 σ0 는 마찰응력으로서 전위의 이동에 대한 결정 격자의 저항도를 나타내어 기지 내 고용강화원소에 의해 영향을 받게 되며, ky 는 Hall-Petch 계수로서 결정립계가 전위의 이동 또는 전파를 억제하는 정도를 의미한다 [30]. 0.77Si-0.76Al 합금의 경우, σ0 = 253 MPa, ky= 997MPa/μm-1/2 로 평가되었다. 이는 마르텐사이트 분율이 50% 수준인 저탄소강에서 보고된 ky 값인 620~1050 MPa/μm-1/2 범위와 대체로 부합하는 결과이다[31]. 저탄소강에서 ky 는 치환형 고용원소 함량에는 크게 영향을 받지 않는 것으로 보고되고 있으므로 [32] 1.55Si 합금과 0.77Si-0.76Al 합금이 동일한 ky 를 나타낸다고 가정하고 2nd martensite 가 생성된 조건 (그림 11의 화살표)를 제외한 1.55Si 합금의 항복강도에 대해 Hall-Petch 식을 적용하면 (검은색 점선) σ0 를 구할 수 있는데, 1.55Si 합금은 0.77Si-0.76Al 합금에 비하여 30 MPa 정도 높은 σ0 를 나타내는 것으로 평가되었다 (표 2).
앞에서 언급했던 바와 같이 Si은 84 MPa/wt.% 정도의 고용강화효과를 나타낸다고 알려져 있다. 1.55Si 합금과 0.77Si-0.76Al
합금 간의 Si 함량 차이는 0.78 wt.% 로서 이로부터 예상되는 고용강화효과 차이는 약 66 MPa 정도이다. 표 2에서 두 합금의 σ0 차이는 Δσ0 = 30 MPa 수준인데 비하여 Si 함량에 따른 강화효과 차이가 66 MPa 수준으로 평가된 결과는 0.77Si-0.76Al 합금에서 36 MPa
정도의 추가적인 강화 효과를 나타내고 있는 인자가 존재하고 있을 가능성을 시사한다. Al은 일반적으로 고용강화효과를 거의 나타내지 않는 원소로 알려져
있으나 [33] Frommeyer 등에 의하면 Al이 다량 첨가되는 경우 상당한 수준의 강화 효과를 나타내는 것으로 보고되었다 [34]. 이에 대해 Mintz 등은 Al이 본질적으로는 70 MPa/wt.% 정도의 고용강화효과를 나타내지만, AlN 석출로 인하여 합금 내 존재하는
용질 N에 의한 고용강화효과 (0.005 wt.% N의 경우 25 MPa 수준의 고용강화효과)를 소실시키기 때문에 소량이 첨가되는 경우에는 Al에
의한 고용강화효과를 확인하기 어렵다고 보고하였다 [35]. 본 연구에 있어서 두 합금의 용질 N 함량은 약 0.002 wt.% 로서 AlN에 의해 소실되는 N의 고용강화효과는 최대 10 MPa 정도이며,
N의 고용강화효과 소실에 미치는 영향을 보상하기 위해서는 Al이 0.29 wt.% 이상이 첨가되어야 한다. 이에 기반하면 0.76 wt.% Al 첨가에
의한 고용강화효과는(0.76 wt.% - 0.29 wt.%) × 70 MPa/wt.% = 33 MPa 정도로 평가된다. Al과 N이 고용강화에 미치는
이러한 효과를 보정하였을 때 1.55Si 합금과 0.77Si-0.76Al 합금의 고용강화효과 차이는 약 33 MPa 정도로 평가할 수 있으며 이는
표 2에서 평가되는 Δσ0= 30MPa 과 거의 부합하는 결과이다.
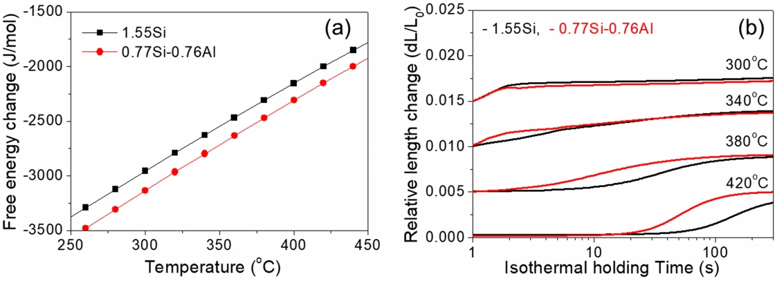
한편 1.55Si 합금과 0.77Si-0.76Al 합금의 고용강화효과 차이가 약 30 MPa 수준으로 평가되지만, Ms 이하 동일한 온도의 항온열처리에
의해 거의 유사한 항복강도를 나타내고 있는 것은 그림 5와 그림 11에서 알 수 있듯이 0.77Si-0.76Al 합금의 유효결정립 미세화 효과에 의해 고용 강화효과 차이가 상쇄되기 때문이다. Si 이 부분적으로 Al
으로 대체되었을 때 동일한 항온변태온도에서 더 미세한 유효결정립 크기를 얻을 수 있는 것은 오스테나이트로부터 베이나이트 또는 마르텐사이트가 생성되는
온도범위에서 상변태에 동반하는 자유에너지 변화, ΔGFCC→BCC와 관련이 있다. 그림 13(a)에 1.55Si 합금과 0.77Si-0.76Al 합금의 조성에 기반하여 계산한 ΔGFCC→BCC를 나타내었다. Si이 부분적으로 Al으로 대체된 0.77Si-0.76Al 합금이 1.55Si 합금에 비하여 더욱 큰 자유에너지 감소를 나타내고 있으며
이것은 Al이 Si에 비하여 FCC 대비 BCC의 자유에너지를 낮추는데 더 효과적인 원소라는 것을 의미한다. 이러한 |ΔGFCC→BCC| 증가는 상변태 구동력을 증가시켜 핵생성을 가속화함으로서 유효결정립 미세화에 기여할 수 있을 것으로 판단된다 [36]. 그림 13(b)는 1.55Si 합금과 0.77Si-0.76Al 합금의 각 항온 열처리조건에서 항온변태 시간에 따른 시편의 길이 변화를 보여주고 있다. 이것은 항온변태처리
과정에서 진행되는 베이나이트 변태거동을 나타내고 있는데 0.77Si-0.76Al 합금이 1.55Si 합금에 비하여 더욱 빠른 시간에 변태가 개시되는
것을 알 수 있다. 이는 |ΔGFCC→BCC| 증가에 의한 변태구동력 증가에 기인하는 결과로서 핵생성 가속화에 의해 0.77Si-0.76Al 합금에 있어 유효결정립 미세화 효과가 나타날 수
있음을 시사한다. 한편 420 °C에서 항온열처리 하는 경우에는 0.77Si-0.76Al 합금이 변태속도 뿐만 아니라 변태분율 또한 증가하는 것을
알 수 있는데, 이는 0.77Si-0.76Al 합금의 경우에 420 °C에서 항온열처리한 경우 높은 분율의 베이나이트 형성에 의해 남아 있는 오스테나이트의
탄소농축이 충분히 이루어질 가능성을 시사하고 있으며 최종 냉각 시 2nd martensite가 거의 생성되지 않는 결과 (그림 6과 8)와 잘 일치하고 있다.
5. 결 론
Fe-0.2C-2.0Mn-1.55Si 조성의 1.55Si 합금과 Fe-0.2C-2.0Mn-0.77Si-0.6Al 조성의 0.77Si-0.76Al 합금에
대해 열처리 조건에 따른 마르텐사이트-베이나이트 미세조직과 기계적 특성을 분석하여 다음과 같은 결론을 얻을 수 있었다.
(1) 오스테나이트화 처리 후 Ms 온도보다 낮은 300~380 °C로 냉각하여 항온열처리하는 공정에서는 Si 일부를 Al으로 대체한 조성 변화가 최종 구성상 분율에 크게 영향을 미치지
않았다. Ms 온도 이상인 420 °C 항온열처리의 경우, 1.55Si 합금에서는 잔류 오스테나이트의 열적 안정성을 확보할 수 있을 정도로 베이나이트 변태가 충분히
진행되지 않아 최종 냉각 중에 마르텐사이트(2nd martensite)가 생성되었으나 0.77Si-0.76Al 합금에서는 높은 분율의 베이나이트 형성에 의해 최종 냉각과정에서 마르텐사이트가 거의
생성되지 않았다.
(2) Ms 온도 이하 항온열처리 조건에서는 1.55Si 합금과 0.77Si-0.76Al 합금의 구성상 분율이 유사하였다. 두 합금의 항복강도와 연신율은 거의
차이가 없었고 인장강도는 1.55Si 합금이 25 MPa 정도 높은 값을 나타내었다. 낮은 Si 함량에도 불구하고 0.77Si-0.76Al 합금이
1.55Si 합금과 대등한 항복강도를 보여주고 있는 것은 0.77Si-0.76Al 합금에 있어 Al 첨가에 의한 고용강화효과와 결정립 미세화에 의한
강화효과에 기인한다.
(3) Al에 의한 Si 부분 대체는 오스테나이트 화 처리 후 300~420 °C 온도 구간에서 항온변태처리 시 베이나이트 변태 개시에 소요되는 시간을
단축시키는 효과를 나타내었고 이는 Al 첨가에 의한 |ΔGFCC→BCC| 증가에 기인한다.
Acknowledgements
본 연구는 재단법인 우석문화재단의 학술연구비 지원으
로 수행되었으며 이에 감사 드립니다.
REFERENCES
Young C. H., Bhadeshia H., Mater. Sci. Technol,10, 209 (1994)

Sugimoto K.-I., Iida T., Sakaguchi J., Kashima T., ISIJ Int,40, 902 (2000)

Sugimoto K.-I., Sakaguchi J., Iida T., Kashima T., ISIJ Int,40, 920 (2000)

Kim S. H., Kim K.-H., Bae C.-M., Lee J. S., Suh D.-W., Met. Mater. Int,24, 693 (2018)

Im Y.-R., Kim E.-Y., Song T., Lee J. S., Suh D.-W., ISIJ Int,61, 572 (2021)

Liu M., Wang J., Zhang Q., Hu H., Xu G., Met. Mater. Int,1-8, (2020)

Lee J., Lee M., Do H., Kim S., Kang N., Korean J. Met. Mater,52, 113 (2014)

Chakraborty J., Chattopadhyay P., Bhattacharjee D., Manna I., Metall. Mater. Trans.
A,41, 2871 (2010)

Tian J., Xu G., Jiang Z., Hu H., Yuan Q., Wan X., Met. Mater. Int,26, 961 (2020)

Lee S.-W., Lee S.-I., Hwang B., Korean J. Met. Mater,58, 293 (2020)

Gong W., Tomota Y., Harjo S., Su Y., Aizawa K., Acta Mater,85, 243 (2015)

Zhao L., Qian L., Meng J., Zhou Q., Zhang F., Scr. Mater,112, 96 (2016)

van Bohemen S.M.C, Santofimia M. J., Sietsma J., Scr. Mater,58, 488 (2008)

Lee H.-B., Lee H. H., Song Y.-B., Ham J., Kim Y. J., Kim H.-K., Suh D.-W., Scr. Mater,200,
113892 (2021)

Gao G., An B., Zhang H., Guo H., Gui X., Bai B., Mater. Sci. Eng., A,702, 104 (2017)

Hwangbo S., Lee H.-B., Song Y.-B., Ham J., Kim H.-K., Suh D.-W., Korean J. Met. Mater,57,
335 (2019)

De Cooman B., Curr. Opin. Solid State Mater. Sci,8, 285 (2004)

Kuziak R., Kawalla R., Waengler S., Arch. Civ. Mech. Eng,8, 103 (2008)

Miyamoto G., Oh J., Hono K., Furuhara T., Maki T., Acta Mater,55, 5027 (2007)

Girault E., Mertens A., Jacques P., Houbaert Y., Verlinden B., Van Humbeeck J., Scr.
Mater,44, 885 (2001)

Köthe A., Richter J., Güth A., Müsgen B., Baumgardt H., J. Phys. IV,3, C7 101-104,
(1993)

Mahieu J., Claessens S., De Cooman B, Metall. Mater. Trans,32, 2905 (2001)

Lin K.-C., Lin C.-S., ISIJ Int,54, 2380 (2014)

Badkoobeh F., Nouri A., Hassannejad H., Mostaan H., Mater. Sci. Eng., A,790, 139703
(2020)

De Meyer M., Vanderschueren D., BC D. C., ISIJ Int,39, 813 (1999)

Zhu K., Mager C., Huang M., J. Mater. Sci. Technol,33, 1475 (2017)

Lim N., Park H., Kim S., Park C., Met. Mater. Int,18, 647 (2012)

Sandvik B., Wayman C., Metall. Trans. A,14, 809 (1983)

Hatem T., Zikry M., Mater. Sci. Technol,27, 1570 (2011)

Hansen N., Scr. Mater,51, 801 (2004)

Peng-Heng C., Preban A., Acta Metall,33, 897 (1985)

Takaki S., Mater. Sci. Forum,706-709, 181 (2012)

Pickering F. B., In Proceedings of the Microalloying’ 75, 9-29, Union Carbide Corp
(1977)

Frommeyer G., Drewes E., Engl B., Rev. Metall,97, 1245 (2000)

Mintz B., Gunawardana W., Su H., Mater. Sci. Technol,24, 596 (2008)

Garcia-Mateo C., FG C., HKDH B., ISIJ Int,43, 1821 (2003)

Figures and Tables
Fig. 1.
Schematic diagram of heat treatment for cold-rolled alloys.
Fig. 2.
Microstructure of as-quenched alloys after austenitization.
Fig. 3.
SEM micrographs of alloys after heat treatment.
Fig. 4.
TEM microstructure of (a) 1.55Si and (b) 0.77Si-0.76Al alloys subjected to isothermal
treatment at 380 °C.
Fig. 5.
(a) Orientation maps and (b) effective grain size of heat-treated alloys.
Fig. 6.
Dilatation curves upon cooling after austenitization, isothermal holding and subsequent
final cooling. (a) 1.55Si and (b) 0.77Si-0.76Al alloys.
Fig. 7.
A schematic diagram showing dilatometric analysis to determine martensite and bainite
fraction.
Fig. 8.
Constituent phase fractions of heat-treated alloys. (a) 1.55Si and (b) 0.77Si-0.76Al
alloys.
Fig. 9.
XRD profiles of heat-treated alloys. (a) 1.55Si and (b) 0.77Si-0.76Al alloys. (Austenite
peaks are indicated with arrows)
Fig. 10.
Representative stress-strain curves of heat-treated alloys.
Fig. 11.
Summary of tensile properties of heat-treated alloys.
Fig. 12.
Effective grain size and corresponding yield strength of heat-treated alloys.
Fig. 13.
(a) Free energy change associated with FCC to BCC structure change and (b) specimen
length change of 1.55Si and 0.77Si-0.76Al alloys during isothermal holding.
Table 1.
Chemical composition of investigated alloys (wt.%) with Ac3 and Ms temperature (°C).
|
|
C
|
Mn
|
Si
|
Al
|
N
|
Ac3 |
Ms |
|
1.55Si
|
0.2
|
2.0
|
1.55
|
-
|
0.002
|
886
|
400
|
|
0.77Si-0.76Al
|
0.2
|
2.0
|
0.77
|
0.76
|
0.002
|
940
|
397
|
Table 2.
Friction stress and Hall-Petch Coefficient of investigated alloys
|
|
σ0 (MPa)
|
ky (MPa/μm-1/2)
|
|
1.55Si
|
283
|
997
|
|
0.77Si-0.76Al
|
253
|
997
|