정예선
(Ye-Seon Jeong)
1
김경민
(Kyeong-Min Kim)
1
이형수
(Hyungsoo Lee)
2
서성문
(Seong-Moon Seo)
2
천은준
(Eun-Joon Chun)
13*
-
경남대학교 메카트로닉스공학과
(Department of Mechatronics Engineering, Kyungnam University, Changwon 51767, Republic of Korea)
-
한국재료연구원 고온재료연구실
(High Temperature Materials Group, Korea Institute of Materials Science, Changwon 51508,
Republic of Korea)
-
경남대학교 신소재공학과
(Department of Advanced Materials Science and Engineering, Kyungnam University, Changwon
51767, Republic of Korea)
Copyright © 2021 The Korean Institute of Metals and Materials
Key words
CM247LC superalloy, heat treatment, liquation cracking susceptibility, varestraint test, visualization, microstructure
1. 서 론
CM247LC 합금은 Mar-M247를 바탕으로 C 함량을 저감 시켜, 주조 건전성 및 고온 기계적 성질(크립, 피로 등)을 개선시킨 Ni계 초내열합금으로
[1-3], 최근 국내에서는 해당 합금의 가스터빈 블레이드(blade) 적용을 위한 소재 기술개발이 진행되고 있다. 블레이드는 제조 최종 단계에서 용접 및
접합공정을 수반하기 때문에, CM247LC 합금의 용접 건전성은 블레이드의 내구성 및 기계적 성능과 직결된다 [4,5]. 하지만 난용접 소재로 잘 알려진 CM247LC 합금은, 타 초내열합금(예: Inconel 718, 738 등) 대비 열원에 따른 기초적인 용접성
평가 및 야금학적 제어에 대한 기초 연구가 상당히 부족한 실정이며 [5-10], 이러한 관점에서 본 저자는 CM247LC 합금 블레이드의 실용접성 평가에 대한 선행 연구결과를 보고한 바 있다 [11]. 해당 결과에 따르면, 아크용접 열영향부에서 상당량의 액화균열이 확인되었으며, 이는 주조 조직상에 존재하는 γ/γ’ 공정조직과 MC형 탄화물과
같은 저융점 조직들의 액상화에 기인하는 것으로 판명되었다 [11]. 즉, CM247LC 합금의 가스터빈 블레이드 적용을 위해서는 용접 고온균열 현상의 면밀한 제어가 수반되어야 함을 알 수 있으며, 균열 민감도의
야금학적 제어를 기반으로 한 무균열 용접 공정조건 도출까지는 보다 심도 있는 후속 연구들도 필요한 실정이다.
한편 용접부의 고온균열 민감도 평가법은 자기구속형(self-restraint) 및 외부부하형(external loading) 방식으로 대별되며, 약
140여 종 이상의 평가법이 보고되고 있다 [12]. 이들 중 가장 보편적으로 사용되고 있는 방식은 Varestraint 시험이다[13-17]. 용접 중 굽힘응력을 부가해 강제적으로 고온균열을 발생시켜 균열의 민감도를 평가하는 방법으로, 1965년 Savage et al.에 의해 처음
제안된 이후, 용접부의 응고, 액화, 연성저하균열 등 다양한 고온균열 정량평가에 활용되고 있다 [13]. 용접부에 부가하는 변형 값을 정량적으로 조절하여 균열발생 임계 변형률(critical strain rate)을 평가할 수 있다는 점, 용접 열이력을
토대로 균열발생 온도범위(cracking temperature range) 도출이 가능하다는 특징으로, 1962년 Prokhorov et al. 가
제안한 고온 연성곡선(ductility curve)과 용접변형의 상관관계 이론(the technological strength theory)에 잘
접목되어왔다 [18,19]. 하지만 최근, 용접 현상의 실시간 가시화 기술이 고도화되고 있을 뿐 아니라, 급속 승온과 냉각을 수반하는 고에너지 밀도 열원의 활용도 확대로
인해 [20], 오랜 기간 일률적으로 사용된 Varestraint 시험과정 및 균열 민감도 도출 방식에 대한 타당성 검토와 요소 기술적 보완(예: 고온균열 발생부
온도분포 및 변형 가시화)이 필요한 시점이라는 견해가 지배적이다 [14-17]. 이러한 부분에 대한 국내 연구는 더딘 상황이며, 특히 가스터빈 고온부품과 같이 고건전성 용접부 제조가 필수적으로 수반되어야 하는 Ni계 초내열합금을
대상으로 한 해당 연구는 전무한 실정이다.
본 연구에서는 CM247LC 초내열합금의 가스터빈 블레이드 적용 및 건전한 용접부 제조를 위해, 선행연구에서 보고한 액화균열 현상의 민감도를 체계적으로
평가하고[11], 민감도 제어를 위한 야금학적 핵심인자를 규명하고자 한다. 이를 위해 CM247LC 합금 열처리 조건에 따른 액화균열 민감도 변화를 Varestraint
시험을 이용해 정량 평가하였다. Varestraint 시험 시에는 실시간 온도 가시화를 통해 액화균열 발생 시점의 균열 발생온도범위를 측정하여, 기존
Varestraint 시험 방식 대비 보다 정밀한 민감도 결과를 얻고자 하였다. 평가된 액화균열 민감도는 아크 및 레이저빔 용접 적용을 통해 검증함으로써,
CM247LC 합금의 무균열 용접부 제조를 위한 야금학 및 공정적 가이드라인을 제시하였다.
2. 사용재료 및 실험방법
2.1 사용재료
표 1은 CM247LC 합금 화학성분을 나타낸다. Cannon Muskegon 사의 상용 모합금을 이용해 판재 형상으로 주조 제작하였다. 주조된 판재는
용체화 열처리(1505 K–120분) 및 용체화+시효 열처리(1145 K–1200분)를 적용하였고, 각각을 주조재, 용체화 열처리재, 시효 열처리재로
명명한다.
2.2 실험 방법
2.2.1 가스텅스텐아크 및 레이저빔 용접
CM247LC 합금 용접부 고온균열 발생 양상을 평가하기 위해 가스 텅스텐 아크용접(gas tungsten arc welding, GTAW) 및 레이저빔
용접(laser beam welding, LBW)을 실시하였다. 그림 1은 (a) GTAW 및 (b) LBW 시험 모식도를 나타낸다. CM247LC 주조재 및 열처리재를 150 × 50 × 3 mm 판재로 가공하여, 비드
온 플레이트(bead on plate, BOP) 용접하였으며, GTAW 및 LBW 조건은 표 2, 3에 요약하였다. 특히 LBW은 실제 블레이드의 용접 구조를 고려하여 [11], 레이저 빔 발산각이 큰 다이오드 레이저를 사용하였으며, 빔 직경 2.2 mm의 비초점빔(defocused beam)을 적용하였다. GTAW 및
LBW 시의 입열량은 540–756 J/mm, 30–120 J/mm 의 범위에서 설정하였다.
2.2.2 Varestraint 시험
CM247LC 합금 용접부 고온균열 민감도를 정량 평가하기 위해 spot-Varestraint 시험을 실시하였다. 그림 2는 (a) 고속 열화상 카메라 관찰을 포함한 Varestraint 시험기 외관, (b)시험과정 및 (c)시험 모식도를 각각 나타낸다. 용접 조건 및
변형률 등, Varestraint 시험 주요 조건은 표 4에 요약하였다. 시험편(150 × 50 × 3 mm) 정중앙에 아크 점 용접(arc spot welding)을 10초간 실시하고, 용접 종료와 동시에
400 mm/s 속도의 굽힘 변형을 부가하여 생성된 균열 길이로 민감도를 평가하였다. 균열길이 측정에는 실체현미경(ISM-PM200SB, Insize)을
사용하였다. 특히 본 연구에서는 spot-Varestraint 균열 시험에서 액화균열 발생시점의 온도분포를 고속 열화상카메라(A655sc, FLIR)로
가시화하였으며(그림 2(a)), 해당 결과를 이용해 CM247LC 합금의 액화균열 발생 온도범위(liquation cracking temperature range, LCTR)를
도출하였다. 온도 가시화를 위한 고속 열화상카메라 사양은 표 5에 요약하며, 온도 측정 결과의 정밀도 향상을 위해 방사율(emissivity)은 0.6으로 설정하였다.
2.2.3 미세조직 분석
용접부 미세조직 및 Varestraint 시험부 고온균열 발생 양상은 주사전자현미경(scanning electron microscopy, SEM)으로
관찰하였다. 고온균열부의 미세 성분 분포는 전 자탐침미세분석기(Electron Probe Micro Analyze, EPMA, JXA-8530F,
JEOL) 및 파장분산형 X선분광분석기(Wavelength-Dispersive X-Ray Spectroscopy, WDS, XM-86010, JEOL)를
이용해 분석하였다.
3. 실험결과 및 고찰
3.1 열처리 조건에 따른 CM247LC 합금 용접 열영 향부 액화균열 민감도 변화
그림 3은 (a)CM247LC 주조재 및 (b)시효 열처리재에 대한 spot-Varestraint (굽힘 변형률: 3%) 시험 결과를 나타낸다. 시험부 표면
아크 점 용접부 주변으로 고온균열이 형성되었으며, 균열은 형성 위치에 따라 용융지 경계선(fusion line)내의 균열(응고균열)과 열영향부 균열로
구분된다. 본 연구에서는 열영향부 고온균열을 중심으로 분석 및 정량평가를 수행하였다.
그림 4는 CM247LC 주조재, 용체화 및 시효 열처리재 spot-Varestraint 시험부 고온균열 파면관찰 결과를 나타낸다. 주조재 파면(“A”영역)은
전체적으로 구형의 액적(droplet)형상을 나타내고, 용체화(“B”영역), 시효(“C”영역) 열처리재로 갈수록 액적 형상은 점차 입계파괴와 미세딤플(micro
dimple)이 혼합된 형상으로 천이되는 경향을 보인다. 이러한 결과들은 소량의 액막(liquid film)이 관여하는 전형적인 액화균열 파면 형상들로
알려져 있어 [21], spotVarestraint 시험에서 발생한 열영향부 고온균열은 모두 액화균열로 판단된다. 특히 열처리 조건에 따른 파면 형상 변화는 모재 미세조직
변화에 의한 액화균열 형성 시점의 액막 형성 거동 차이에 기인하는 것으로 추정된다.
그림 5는 CM247LC 주조재 spot-Varestraint 시험 시의 굽힘 변형률에 따른 최대 액화균열 길이 변화 결과를 나타낸다. 변형률 증가에 따라
균열 길이는 길어지고, 2.5% 변형률부터는 유지되는 결과를 보였다. 이러한 경향은 용체화 및 시효 열처리재에서도 확인되었다. 따라서 spot-Varestraint
시험 시 각 소재에서 형성되는 최대 액화균열 길이는 굽힘 변형률 3% 조건에서 측정하였다. 그림 6은 열처리 조건에 따른 최대 균열길이(굽힘 변형률: 3%) 변화를 정리한 결과이다. 주조재의 최대 액화균열 길이는 3.58 mm, 용체화 열처리재
2.96 mm, 시효 열처리재 0.61 mm 로 각각 측정되었고, 열처리에 따라 최대 액화균 열 길이는 감소하는 경향을 보인다. 그림 7은 (a)고속 열화상카메라를 이용한 액화균열 발생 시점의 용접부 온도 가시화 대표 결과와 함께, (b)그림 6의 최대 액화균열 길이를 액화균열 발생 온도범위(liquation cracking temperature range, LCTR)로 변환한 결과를 나타낸다.
그림 7(a)에 나타낸 온도 분포 측정 결과를 통해, spot-Varestraint 시험시 액화균열 형성 시작 지점인 용융지 경계선 상의 온도는 CM247LC
합금의 고상선 온도와 대략적으로 일치하는 결과를 확인하였고, 해당 결과를 기반으로 주조재 LCTR은 620 K, 용체화 열처리재 560 K 및 시효
열처리재 66 K로 도출되었다. CM247LC 합금 용접 열영향부의 액화균열 민감도는 열처리를 적용함으로써 감소하고, 특히 시효 열처리는 주조재의
액화균열 민감도를 약 90% 저감 시키는 결과를 확인할 수 있다. Nishimoto et al. 은 Varestraint 시험과 용접 열전도에 관한
이론식을 이용해 Ni계 초내열 합금의 액화균열 온도범위를 간접적으로 도출한 바 있고, 그 결과 Inconel 718 합금 주조재의 LCTR은 248
K 로 보고하였다 [22,23]. Lippold et al.은 글리블(Gleeble) 고온연성시험을 이용해 Waspaloy의 LCTR을 평가하였고, 소재의 열처리 조건에 따라
최대 270 K의 LCTR을 나타내는 것으로 보고하였다 [19,24]. CM247LC 합금 주조재의 LCTR 620 K는 Inconel 718, Waspaloy 대비 상당히 큰 값이며, 건전한 가스터빈 블레이드 용접부
제조를 위해 CM247LC 주조재의 높은 액화균열 민감도는 반드시 저감되어야 함을 시사한다. Ni계 초내열합금 용접 열영향부의 액화균열 발생에 대한
다양한 연구결과에도 불구하고, LCTR의 실측 결과는 상당히 제한적이다. 특히 CM247LC 초내열합금은 용접부 뿐만 아니라 적층 제조부에서도 고온균열
발생이 비교적 문제시되고 있으나, LCTR과 같은 민감도의 정량평가 결과는 전무했다 [25-27]. 따라서 본 연구에서 도출한 고속 온도 가시화 기반의 CM247LC 합금 LCTR 및 열처리에 따른 그 변화 거동은, 향후 CM247LC 합금의
가스터빈 블레이드 적용 및 고건전성 용접부 제조를 위해 유효한 야금학적 지표가 될 것으로 판단된다.
3.2 CM247LC 합금 용접 열영향부의 액화균열 민감도 제어 기구
본 절에서는 열처리 조건에 따른 액화균열 파면 성분 분포(≒열처리 조건에 따른 모재 미세조직 변화)와 Thermo-Calc 계산을 연계하여 CM247LC
합금의 액화균열 민감도 제어 메커니즘에 대해 야금학적으로 고찰하고자 한다. 액화균열 민감도(LCTR)가 가장 높은 주조재와 민감도 저감 효과가 가장
큰 시효 열처리재를 중심으로 다루며, 특히 액화균열 파면상의 성분 분포 분석 위치는 용융지 경계선으로부터 약 500 μm 지점으로 통일하였다 (그림 4 “A, ”C” 영역).
3.2.1 주조재의 액화균열 발생 기구
그림 8은 주조재 spot-Varestraint 시험부 액화균열 파면(그림 4 “A” 영역)을 EPMA로 분석한 결과이다. CM247LC 합금 터빈 블레이드 실 용접부의 액화균열 분석에 대한 본 저자의 선행 연구 결과에 따르면,
CM247LC 주조재에는 공정 γ/γ’ 조직과 MC형 탄화물(M=Ti,Ta,Hf,W)의 저융점 조직이 γ 기지상에 존재하며, 열영향부 액화균열은 용접
승온과정에서 발생하는 γ/γ’ 공정조직의 부분적 액상화와 MC형 탄화물의 조성적 액상화에 기인하는 것으로 보고되고 있다 [11]. Spot-Varestraint 시험부 액화균열 파면에서도 유사한 결과, 즉 공정 γ/γ’ 조직(Ni 및 Al 성분 분포도)과 MC형 탄화물(Ti,Ta,Hf,C
성분 분포도)의 액상화 흔적을 명확히 확인할 수 있다. 후방산란전자(backscattered electron) 사진에서 백색상은 MC형 탄화물, 구형
액적 영역은 공정 γ/γ’ 조직의 액상화 흔적으로 판단된다. 액상화 온도를 저하시켜 액화균열 발생을 촉진시키는 것으로 알려진 미량 원소 B, S 분포도
확인할 수 있다 [11].
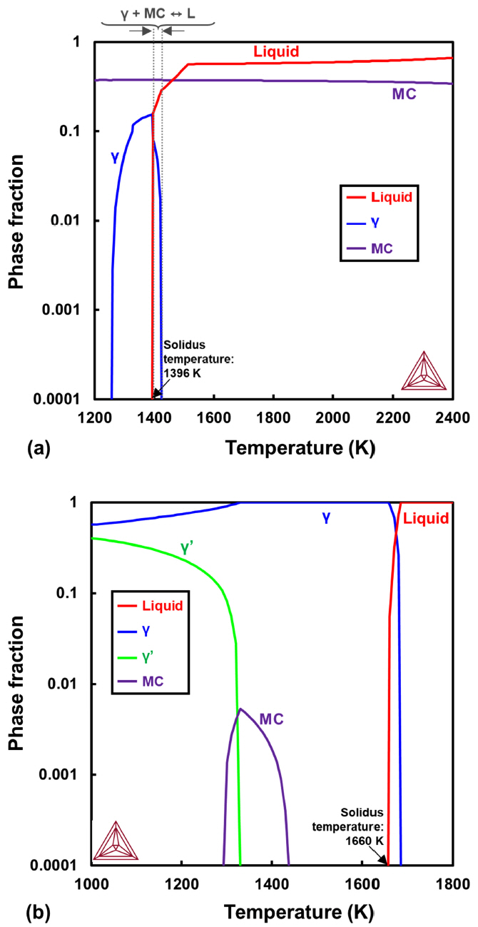
그림 9는 주조재 액화균열 파면의 (a)γ/MC 경계, (b)공정 γ/γ’ 조직 영역에서 얻은 WDS 성분분석 결과와 Thermo-Calc(2021a, TCNi9)를
이용해 용접 승온 시의 액상화 시작온도를 계산한 결과이다 (상태도 계산을 통한 해당 성분계의 고상선 온도 도출). WDS 분석 위치는 그림 8 BSE 사진에 표시(“A”영역: γ/MC 계면, “B”영역: 공정 γ/γ’ 조직)하였고, Thermo-Calc 계산을 위한 대표 WDS 분석 결과는
표 6에 나타낸다.
그림 9(a)와 같이, γ/MC 경계에서는 용접 승온 시1282 K 에서 액상이 형성되며, 1511 K 까지는 γ와 MC분율이 감소하며 액상 분율이 증가하는(γ+MC
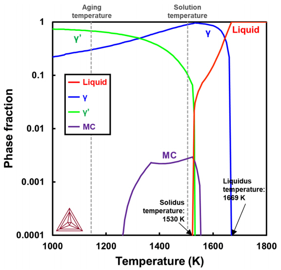
↔ L), 공정 반응 기반의 조성적 액화현상도 확인되었다 [11]. 더불어 공정 γ/γ’ 조직 영역의 액상화 시작온도는(그림 9(b)) 1424 K로 계산되어, spot-Varestraint 시험에 따른 주조재 액화균열은 그림 10에 나타낸 CM247LC의 평형상태 고상선 온도(1530 K) 대비 최대 248 K 낮은 온도에서 형성되는 액상에 기인하는 것으로 사료된다.
3.2.2 시효 열처리에 따른 미세조직 및 액상화 온도 변화
그림 11은 시효 열처리재 spot-Varestraint 시험부 액화균열 파면(그림 4 “C” 영역)을 EPMA로 분석한 결과이다. BSE 사진상의 백색상 MC 탄화물은 주조재 대비 크기와 분율이 감소하는 경향을 보인다. MC 탄화물
감소는 CM247LC 평형상태도(그림 10) 상에 표시하였듯이, 용체화 열처리(온도: 1505 K)를 거쳐 및 시효 열처리 온도(=1145 K) 상의 MC 상분율이 0%인 것에 기인, 기지조직(γ)에
일부 고용된 결과로 사료된다. 뿐만 아니라, 상태도(그림 10)에 표시한 각 열처리 온도에서의 상분율에 기반하여, 용체화 및 시효 열처리에 따른 미세조직 변화를 예상할 수 있다. 용체화 열처리에 의해 주조 조직상의
저융점 γ/γ’ 공정조직은 고용 및 균질화 되고, 시효 열처리 과정에서 γ’ 상당량의 석출상이 형성되었을 것으로 사료된다. 그리고 이러한 예상 결과는
열처리에 따른 CM247LC 합금 미세조직 변화 선행연구 내용과 잘 부합됨을 확인하였다[2].
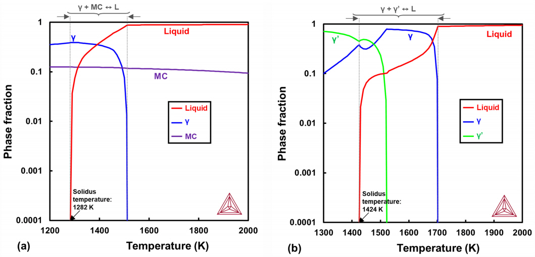
그림 12는 시효 열처리재 액화균열 파면 상의 (a)γ/MC 경계, (b)γ 및 γ’ 조직 영역(이하 γ+γ’)에서 얻은 WDS 성분분석 결과와, Thermo-Calc를
이용해 용접 승온 시의 액상화 시작온도를 계산한 결과이다. WDS 분석 위치는 그림 11 BSE 사진에 표시(“A”영역: γ/MC 계면, “B”영역 : γ+γ’ 영역)하였고, Thermo-Calc 계산을 위한 성분분석 결과는 표 7에 나타내었다. 그림 12(a)와 같이 γ/MC 경계에서는 1396 K(=고상선 온도)에서 액상화가 시작되며, 주조재 파면상의 γ/MC경계 액상화 시작온도 (=1282 K) 대비
약 100 K 상승한 결과를 확인할 수 있다. 이는 열처리 과정 중, 확산으로 인한 MC 구성원소(Ti,Ta,Hf,W)의 구성비 변화 및 액상화 시작온도를
저하시키는 미량원소 B 성분 감소의 복합적 결과로 사료된다 [2,11]. γ+γ’ 영역에서는(그림 12(b)) 1662 K (=고상선 온도)에서 액상이 형성될 수 있음을 알 수 있고, 이는 공정 γ/γ’ 조직의 액상화 시작온도(=1476 K)와 비교했을
때 약 200 K 높은 온도 값임을 알 수 있다. 따라서 CM247LC 합금 주조재의 시효 열처리에 따른 액화균열 민감도 저감(LCTR 축소)은 미세조직
변화(MC 분율 감소, 저융점 조직의 고용, γ’ 석출상 형성 등)로 인한 용접 승온 시의 액상화 시작온도 상승에 기인하는 것으로 판단된다.
3.3 열처리를 이용한 CM247LC 합금 액화균열 민감도 제어 검증
열처리에 따른 LCTR 변화거동을 검증하기 위해 CM247LC 주조재 및 시효 열처리재를 대상으로 GTAW (BOP)를 실시하였다. 그림 13은 BOP 용접부 (입열량: 756 J/mm) 표면 및 단면 분석결과를 나타낸다. 두 소재 모두, 크레이터(crater) 열영향부에서 동등 수준의
액화균열이 관찰되지만, 단면 열영향부에서는 액화균열 발생양상에 큰 차이를 보였다. 시효 열처리재 열영향부에서 측정한 액화균열 총길이는 약 330 μm로,
주조재의 액화균열 총 균열길이 약 3400 μm 대비 90% 저감된 결과임을 확인할 수 있다. 즉, 3.2 절에서 제시한 시효 열처리에 따른 LCTR
축소 및 해당 기구(미세조직 변화에 따른 액상화 시작온도 상승)는, 실제 용접부의 액화균열 발생거동에 반영되는 유효한 결과인 것으로 판단된다.
3.4 CM247LC 합금 무균열 용접을 위한 저입열 GTAW 및 LBW 적용 가능성 검토
그림 13에서 확인되었듯이 시효 열처리 적용을 통해 GTAW 시의 액화균열 발생은 야금학적으로 억제 가능하지만, 무균열 용접부를 얻기 위해서는 추가적인 공정
검토가 필요한 것을 알 수 있다. 본 절에서는 용접 입열량 변화에 따른 CM247LC 초내열합금의 액화균열 발생 양상을 검토함으로써, 액화 무균열
용접을 위한 공정적 가이드라인을 제시하고자 한다.
그림 14는 시효 열처리재 GTAW 시의 입열량 (540, 648 J/mm) 변화에 따른 액화균열 발생 양상을 검토한 결과이다. 540 J/mm 입열량 조건에서는,
입열량 756 J/mm의 GTAW 결과 대비(그림 13), 단면 상의 액화균열은 확인되지 않았으며, 입열랑 감소는 액화균열 저감을 위해 유효한 공정 조건임을 잘 확인할 수 있다. 따라서 GTAW를 이용한
CM247LC 초내열합금 용접 시에는 시효 열처리를 통한 LCTR 최소화와 함께 용접 입열량 최소화가 병행되어야할 것으로 사료된다.
이러한 입열량 최소화 관점에서 CM247LC 합금의 LBW(BOP) 액화균열 발생 양상을 추가적으로 검토하였다. 그림 15는 입열량 변화(60, 90, 120 J/mm)에 따른 CM247LC 주조재 BOP 용접부의 비드 표면 및 단면 매크로 조직을 나타낸다. 비초점 레이저빔
조사로 인해, 열전도 모드(conduction mode) 특유의 타원형 용접금속(fusion zone)을 확인할 수 있다. LCTR이 가장 넓은 주조재(그림 7)를 사용했음에도 불구하고, 시효 열처리재 아크 용접부 대비 액화균열 발생이 상당량 억제되었음을 확인할 수 있다. 특히 그림 16은 입열량 30 J/mm 조건의 주조재 LBW 결과를 나타내며, 표면 및 단면상에서 열영향부 액화균열은 관찰되지 않았다. 따라서 입열량 30 J/mm
이하의 LBW 적용은 CM247LC 초내열합금의 LCTR 최소화를 위한 시효 열처리를 적용하지 않더라도 무균열의 건전한 용접부 제조가 가능한 것으로
판단된다.
각 소재에 있어 저입열 GTAW 및 LBW 적용에 따른 액화균열 발생 저감 양상은, 입열량 감소에 의해 용접 열향부의 열적 변형도와 구속력이 낮아진
결과로 추정된다[18,19]. 더불어, 본 결과를 통해 그림 7에 나타낸 CM247LC 합금 LCTR 또한 용접 열원 및 입열량에 의존할 가능성이 큰 것으로 추정되며, 이에 대해서는 보다 심도 있는 후속연구가
필요할 것으로 보인다.
4. 결 론
본 연구에서는 열처리 조건에 따른 CM247LC 초내열합금 용접 열영향부 액화균열 민감도를 체계적으로 평가하였고, 미세조직 변화와 열역학적 상태도
계산을 연계하여 액화균열 민감도 최소화를 위한 야금학적 핵심 인자를 도출하였다. 해당 결과는 아크 및 레이저빔 용접시험을 통해 검증하였고, 최종적으로
CM247LC 합금의 액화 무균열 용접을 위한 공정 가이드라인을 함께 제시하였다. 아래와 같이 본 연구의 결론을 요약한다.
A. Spot-Varestraint 시험 및 고속 열화상카메라 온도 가시화를 이용해, CM247LC 초내열합금 용접 열영향부의 액화균열 발생 온도범위(liquation
cracking temperature range, LCTR)를 정량 평가할 수 있었다. 그 결과, CM247LC 주조재의 LCTR은 620 K, 용체화
열처리재 560 K 및 시효 열처리재 66 K 로 각각 확인되었다. CM247LC 합금 용접열영향부의 액화균열 민감도는 용체화 및 시효 열처리 적용으로
저감 가능하며, 특히 시효 열처리는 주조재의 액화균열 민감도를 약 90% 저감 시키는 것으로 평가되었다.
B. 액화균열 파면 상의 미세 성분 분석과 Thermo-Calc 계산을 연계하여 시효 열처리재의 LCTR 축소 거동(620 K → 66 K)을 야금학적으로
고찰하였다. 용체화 및 시효 열처리에 따른 LCTR 축소는 조성적 액화를 일으키는 MC형 탄화물 감소, 저융점 공정 γ/γ’ 조직의 고용 및 γ’
석출상 형성등의 미세조직 균질화로 인해, 최종적으로 용접 승온 시의 액상화 시작온도가 상승하기 때문인 것으로 판단되었다.
C. 시효 열처리에 따른 LCTR 축소 거동은 실제 가스텅스텐 아크 용접 열영향부의 액화균열 발생 양상을 통해 검증할 수 있었다. 시효 열처리재 용접
열영향부에서 측정한 액화균열 총 길이는 주조재 액화균열 총 균열길이 대비 90% 저감된 결과를 보였다. 따라서 시효 열처리에 따른 LCTR 축소 기구(미세조직
변화에 따른 액상화 시작온도 상승)는, 실제 아크 용접부의 액화균열 발생거동을 제어할 수 있는 유효한 야금학적 인자인 것으로 판단되었다. 더불어,
CM247LC 초내열합금의 무균열 아크 용접을 위해서는 LCTR 축소를 위한 시효 열처리 적용과 함께 용접 입열량 최소화(540 J/mm 미만)가
병행되어야 할 것으로 판단되었다.
D. 입열량 30 J/mm의 레이저빔 용접을 적용한 결과, LCTR이 가장 넓은 CM247LC 주조재에서도 액화균열이 발생하지 않았고, 건전한 용접부를
얻을 수 있었다. 따라서 입열량 30 J/mm 이하의 레이저빔 용접 적용은 CM247LC 초내열합금의 LCTR 축소를 위한 시효 열처리를 적용하지
않더라도 무균열의 용접부 제조가 가능한 것으로 판단되었다.
Acknowledgements
본 연구는 산업통상자원부의 재원으로 한국산업기술평가관리원(전략핵심소재자립화기술개발사업, No. 20011103) 및 한국에너지기술평가원(에너지기술개발사업,
No. 20206310200010)의 지원을 받아 수행되었음. 과학기술정보통신부의 재원으로 한국연구재단(개인연구지원사업, No. 2019R1G1A1099607)의
지원을 받아 수행되었음.
REFERENCES
Seo S. M., Jeong H. W., Yun D. W., Ahn Y. K., Lee J. H., Yoo Y. S., J. Korea Foundry
Soc,33, 193 (2013)

Choi B. G., Kim I. S., Kim D. H., Jo C. Y., J. Kor. Inst. Met. & Mater,43, 867 (2005)

Lee J., Kown S., Yoon B., Chang B., Jung Y., Lee J., Korean J. Met. Mater,54, 838
(2016)

Henderson M. B., Arrell D., Larsson R., Heobel M., Marchant G., Sci. Technol. Weld.
Joi,9, 13 (2004)

Chun E. J., Korean J. Met. Mater,58, 247 (2020)

Ojo O. A., Chaturvedi M. C., Metall. Mater. Trans. A,38, 356 (2007)

Chen K. C., Chen T. C., Shiue R. K., Tsay L. W., Metals,8, 387 (2018)

Ye X., Hua X., Wang M., Lou S., J. Mater. Process Tech,222, 381 (2015)

Montazeri M., Ghaini F. M., Ojo O. A., Weld. J.,92, 258s (2013)

Chamanfar A., Jahazi M., Bonakdar A., Morin E., Firoozrai A., Mater. Sci. Eng. A,642,
230 (2015)

Jeong Y. S., Kim K. M., Lee U., Lee H., Seo S. M., Chun E. J., Korean J. Met. Mater,58,
875 (2020)

Kannengiesser T., Boellinghaus T., Weld. World,58, 397 (2014)

Savage W. F., Lundin C. D., The Varestraint test. Weld. J,44, 433 (1965)

Chun E. J., Nishimoto K., Saida K., Weld. World,60, 217 (2016)

Kadoi K., Okano S., Yamashita S., Abe D., Takemori A., Yamada S., Takada A., Kawata
J., Quart. J. Jpn Weld. Soc,37, 200 (2019)

Yamashita S., Saida K., Quart. J. Jpn Weld. Soc,38, 275 (2020)

Kim Y., Moon B., Kang N., Chun E. J., Korean J. Met. Mater,58, 403 (2020)

Lippold J. C., Welding Metallurgy and Weldability,84-129, John Wiley & Sons (2015)

Dupont J. N., Lippold J. C., Kiser S. D., Welding Metallurgy and Weldability of Nickel-Base
Alloys,379-402, John Wiley & Sons (2009)

Sim A., Chun E. J., Cho D. W., Met. Mater. Int,26, 1207 (2020)

Caron J. L., Babu S. S., Lippold J. C., Weld. J,92, 110 (2013)

Woo I., Nishimoto K., Tanaka K., Shirai M., Quart. J. Jpn Weld. Soc,17, 456 (1999)

Nishimoto K., Woo I., Tanaka K., Shirai M., Quart. J. Jpn Weld. Soc,17, 534 (1999)

Qian M., Lippold J. C., Weld. J,81, 233 (2002)

Hsu K. T., Wang H. S., Chen H. G., Chen P. C., Metals,6, 238 (2016)

Boswell J. H., Clark D., Li W., Attallah M. N., Mater. Design,174, 107793 (2019)

Gerstgrasser M., Cloots M., Stirnimann J., Wegener K., J. Mater. Process Tech,289,
116948 (2021)

Figures and Tables
Fig. 1.
Specimen dimensions and schematic of the bead-on-plate welding via (a) GTAW and (b)
LBW.
Fig. 2.
(a-b) appearance and (c) schematic illustration of the spot-Varestraint test with
GTAW.
Fig. 3.
Appearance and liquation-cracking behavior of the (a) as-cast and (b) aged CM247LC
specimens after the spot-Varestraint test (bending strain: 3%).
Fig. 4.
SEM observation for fracture surface of a liquation crack in the as-cast, solution
treated, aging treated CM247LC specimens after spot-Varestraint test.
Fig. 5.
Relationship between the maximum length of liquation crack and bending strain for
the as-cast CM247LC specimen evaluated by spot-Varestraint test.
Fig. 6.
Relationship between the maximum length of liquation crack and the specimen condition
evaluated by spot-Varestraint test.
Fig. 7.
Construction high temperature ductility curve for liquation-cracking of CM247LC alloy
welds: (a) Representative temperature profile at the time of spot-Varestraint test,
and (b) relationship between the liquation cracking temperature range and the specimen
condition.
Fig. 8.
EPMA analysis of the surface of a liquation crack in the as-cast CM247LC after spot-Varestraint
test.
Fig. 9.
Equilibrium phase diagram, constructed using Thermo-Calc, based on the chemical composition
in Table 6: for (a) γ/MC interface and (b) γ/γ’ eutectic colony.
Fig. 10.
Equilibrium phase diagram of the CM247LC superalloy, calculated using Thermo-Calc.
Fig. 11.
EPMA analysis of the surface of a liquation crack in the aging treated CM247LC after
spot-Varestraint test.
Fig. 12.
Equilibrium phase diagram, constructed using Thermo-Calc, based on the chemical composition
in Table 7: for (a) γ/MC interface and (b) γ+γ’ region.
Fig. 13.
Surface appearance and cross-sectional macrostructure of the bead-on-plate welds,
obtained via GTAW (heat input: 756 J/mm), of the aged CM247LC specimen.
Fig. 14.
Surface appearance and cross-sectional macrostructure of the bead-on-plate welds,
obtained via GTAW with different heat input (540, 648 J/mm), for the aged CM247LC
specimen.
Fig. 15.
Surface appearance and cross-sectional macrostructure of the bead-on-plate welds,
obtained via LBW with different heat input (60, 90, 120 J/mm), for the as-cast CM247LC
specimen.
Fig. 16.
Surface appearance and cross-sectional microstructure of the bead-on-plate welds,
obtained via LBW (heat input: 30 J/mm), for the as-cast CM247LC specimen.
Table 1.
Chemical composition of materials used (mass%).
|
Materials
|
Ni
|
C
|
Cr
|
Co
|
Mo
|
W
|
Ta
|
Ti
|
Al
|
B
|
Zr
|
Hf
|
P
|
S
|
|
CM247LC superalloy
|
Bal.
|
0.07
|
8.1
|
9.2
|
0.5
|
9.5
|
3.2
|
0.7
|
5.6
|
0.015
|
0.015
|
1.4
|
<0.0006
|
<0.0002
|
Table 2.
Conditions of bead-on-plate GTAW.
|
Welding parameters
|
Conditions
|
|
Arc voltage (V)
|
18
|
|
Arc current (A)
|
50, 60, 70
|
|
Arc length (mm)
|
2
|
|
Welding speed (mm/s)
|
1
|
|
Heat input (J/mm)
|
540, 648, 756
|
|
Shield gas
|
Argon (99.99% purity)
|
Table 3.
Conditions of bead-on-plate LBW.
|
Welding parameters
|
Conditions
|
|
Oscillator
|
Diode laser (Laserline® GmbH)
|
|
Wavelength (nm)
|
900–1080 nm
|
|
Laser power (kW)
|
1–2
|
|
Beam diameter at surface of specimen (mm)
|
2.2 (defocus beam)
|
|
Welding speed (mm/s)
|
8.33–33.3
|
|
Heat input (J/mm)
|
30, 60, 90, 120
|
|
Shield gas
|
Argon (99.99% purity)
|
Table 4.
Conditions of the spot-Varestraint test with GTAW.
|
Parameters
|
Conditions
|
|
Welding
|
Arc spot welding (GTAW)
|
|
Arc voltage (V)
|
10
|
|
Arc current (A)
|
60
|
|
Arc length (mm)
|
2
|
|
Welding time (s)
|
10
|
|
Shield gas
|
Argon (99.99% purity)
|
|
Bending strain (%)
|
0.5–3.0
|
|
Bending rate (mm/s)
|
400
|
Table 5.
Specifications of the thermovision camera observation.
|
Parameters
|
Conditions
|
|
Frame rate (fps)
|
50
|
|
Temperature acquisition range (K)
|
298–2273
|
|
Temperature acquisition accuracy (K)
|
±2 K
|
|
Temperature resolution (mK)
|
<30
|
|
Time response (ms)
|
<8
|
|
Emissivity
|
0.6
|
Table 6.
Representative chemical composition analyzed by WDS for liquation cracking surface
of as-cast CM247LC specimen after spot-Varestraint test.
|
Materials
|
Ni
|
Co
|
Cr
|
Ti
|
Ta
|
Al
|
Hf
|
W
|
Zr
|
Mo
|
C
|
B
|
|
γ/MC
|
Bal.
|
4.61
|
6.15
|
2.37
|
19.98
|
1.29
|
15.02
|
3.28
|
0.06
|
0.35
|
1.03
|
0.15
|
|
γ/γ’ eutectic colony
|
Bal.
|
6.67
|
4.53
|
1.28
|
4.37
|
8.11
|
-
|
4.92
|
0.05
|
0.32
|
2.98
|
0.98
|
Table 7.
Representative chemical composition analyzed by WDS for liquation cracking surface
of aged CM247LC specimen after spot-Varestraint test.
|
Materials
|
Ni
|
Co
|
Cr
|
Ti
|
Ta
|
Al
|
Hf
|
W
|
Zr
|
Mo
|
C
|
B
|
|
γ/MC
|
Bal.
|
4.12
|
4.75
|
2.10
|
26.75
|
2.05
|
33.19
|
0.07
|
0.02
|
0.01
|
2.82
|
-
|
|
γ+γ’ region
|
Bal.
|
9.32
|
8.92
|
0.74
|
2.34
|
4.76
|
-
|
0.97
|
-
|
0.08
|
0.27
|
-
|