The Journal of
the Korean Journal of Metals and Materials

The Journal of
the Korean Journal of Metals and Materials

Monthly
  • pISSN : 1738-8228
  • eISSN : 2288-8241

Editorial Office


  1. 전북대학교 유연인쇄전자공학과 (Graduate School of Flexible and Printable Electronics, Jeonbuk National University, Jeonbuk 54896, Republic of Korea)
  2. 전북대학교 로스알라모스연구소-전북대학교 한국공학연구소 (LANL-CBNU Engineering Institute Korea, Jeonbuk National University, Jeonbuk 54896, Republic of Korea)
  3. 전북대학교 신소재공학부 (Division of Advanced Materials Engineering, Research Center for Advanced Materials Development, Jeonbuk National University, Jeonbuk 54896, Republic of Korea)



organic additive, surface roughness, electrical property, electroplating, copper foil

1. 서 론

최근 전자제품의 고성능화로 회로가 복잡해짐에 따라 전자회로의 미세패턴화가 필요하며 리튬 이온 전지의 슬림화로 리튬 이온 전지의 음극재료로 사용되는 동박의 극박화, 품질 향상 및 생산성 향상 요구가 커지고 있다. 이러한 용도로 사용되는 동박은 압연방법이나 전해도금방법으로 제조된다. 전해도금 방식은 장길이 와인딩으로 대량생산이 가능하고, 압연박보다 생산 폭이 넓기 때문에 상대적으로 저렴한 가격, 낮은 전기저항, 우수한 열 전도성 등의 장점을 가지고 있어 정밀도가 요구되는 부분에서 전해동박이 주로 사용되고 있다 [1-7].

전해도금법을 이용하여 동박 제조 시 표면 형상, 결정구조 및 전기적 특성에 미치는 인자로는 유속, 음극 전압, 온도, 전류밀도, 첨가제, 전해액 순도, 전극 간격 등 매우 다양하다 [8-12]. 그 중에서도 전해액의 조성 선정은 전해도금 공정에서 배선재료의 기본 물성을 결정하는 중요한 요소이다. 또한 생산량을 증대시키기 위해서는 높은 전류밀도에 적용 가능한 첨가제 개발이 절실하다. 전해액내에 첨가되는 적은양의 유기 첨가제는 전해동박 구조에 영향을 미치며, 높은 휘도를 갖는 균일한 도금층의 형성을 촉진시키고 전착의 기계적 특성에 영향을 준다 [13]. 구리 전해도금에 사용되고 있는 첨가제는 표면 단차와 표면 너울을 감소시켜 평탄한 도금표면층을 형성하도록 도와주는 평탄제(leveler), 전착 속도를 억제하는 억제제(inhibiter, suppressor, carrier), 구리 전착 속도를 증가시키는 가속제(accelerator, brightener) 등으로 첨가제의 기능에 따라 분류 할 수 있다[14,15]. 가속제로는 MPSA(3-mercapto-1-propane sulfonic acid), SPS(bis (3-sulfopropyl) disulfide), Thiourea(3N, N-dimethyl amino thio cabamoyl-1-sulfonic acid), DPS(3-N, N-dimethylaminodithio carbamoyl-1-propane sulfonic acid) 등 유기 화합물로 알려져 있으며 [16-18], 억제제로는 Gelatin, 콜라겐, PEG(polyethylene glycol) 등의 중합체 계열 유기 화합물이 대표적으로 사용된다 [19,20]. 평탄제는 JGB(Janus Green B), HEC (Hydroxyethyl Cellulose), 알시안블루(AB, Alcian Blue) 등 화합물이 주로 사용 된다[21-24].

Park 등 [15]은 평탄제로 사용하는 첨가제 종류의 하나인 JGB를 3 ASD(A/dm2)의 낮은 전류밀도에서 연구한 결과 첨가량이 증가할수록 결정립 성장을 억제하여 미세한 결정구조를 보이고, 초기 면저항이 증가 한다하였다. Lee 등 [25]은 JGB, PEG 첨가량별 과전압 측정 시 첨가량 증가 시 과전압이 증가한 후 일정량 이상 첨가 시 과전압이 감소함을 확인하였다. 또한 Jeong [23]은 JGB 첨가 시 결정립 크기가 감소하고 일정수준 이상의 첨가제가 첨가된 경우에는 self-annealing 수준의 열처리 조건에서는 재결정이 이루어지지 않는다고 하였다. 이와 같은 대부분의 연구들은 실제 조업조건과는 차이가 있는 10 ASD 이하의 낮은 절류밀도에서 수행되었을 뿐만 아니라, 억제제와 평탄제와의 조성비에 대한 상관관계 또한 규명되지 않았다. 또한 JGB 첨가량에 따른 도금 진행과정에서의 전압의 변화, 도금층의 전기적 특성에 미치는 영향에 대한 연구가 요구된다. 이에 본 연구에서는 높은 전류밀도에서 콜라겐과 JGB 첨가량에 따른 초기 핵생성과정에서의 분극현상과 이러한 분극현상으로 인한 도금층의 표면 특성 및 결정구조를 분석하였으며, 이러한 변화에 의하여 전기적 특성이 어떻게 변화하는지에 대하여 파악하였다.

2. 실험 방법

본 연구에서 사용된 표 1과 같이 황산(H2SO4)-황산구리(CuSO4•5H2O) 전해액을 기본욕으로 제작하였다. 첨가제로는 구리 도금공정에서 보편적인 사용되는 가속제 MPSA (3-mercapto-1-propane sulfonic acid)를 사용하였으며, 평탄제로는 JGB (Janus Green B)를 사용하였다. 억제제는 콜라겐을 사용하였으며, 개별첨가제에 대한 첨가량 테스트 이후 염화이온과 MPSA를 고정한 후 콜라겐과 JGB의 첨가량을 달리하여 테스트를 진행하였다. 양극으로는 불용성양극(티타늄판위에 IrO2 코팅)을 사용하였으며, 음극제로는 타이타늄판(99.9%)을 #1500까지 순차적으로 연마하여 사용하였다. 개별첨가제의 첨가량에 따른 전압측정을 위하여 1 cm2 크기의 원형이 노출되도록 음극을 제조하였으며, 복합적인 첨가제에 의한 전기적 특성 영향 평가를 위한 샘플 제작을 위하여 50 mm × 150 mm × 1 mm 크기의 기판을 사용하였다. 도금이 이루어지는 음극과 양극의 거리는 10 cm로 일정하게 유지하였고, 도금이 진행되는 동안 전해액의 온도는 50 °C(±0.5 °C)로 유지하였다. 도금은 정전류 모드 방식을 적용하여 20 ASD(A/dm2) 전류밀도로 진행하였으며, 물성분석을 위하여 도금층의 두께가 12 μm 되도록 전착시켰다. 주사전자현미경(FESEM, SU-70, Hitachi, Japan)을 사용하여 도금층의 표면형상 관찰하였고 결정크기 및 결정구조를 분석하기 위하여 XRD (Dmax III-A type, Rigaku Co., Japan)장비를 사용하였다. 4극 탐침법(CMTSR1000N, AIT, Korea)장치를 사용하여 비저항을 측정 하였다. 또한 도금층 및 기지층과의 접촉면의 표면조도 측정을 위하여 표면조도측정기(SJ-400, Mitutoyo, Japan)를 활용하여 표면의 4.0 mm 길이를 측정하였다. 도금층의 비저항, 표면조도 측정은 각각의 조건에서 2회 재현 실험을 통하여 시험편을 제작하여 3회씩 총 6회 측정하였다. 측정한 결과는 Minitab 프로그램을 사용하여 통계 처리하여 분석하였다.

3. 결과 및 고찰

개별첨가제의 농도를 달리하여 초기 전압을 측정하기 위하여 0.2초간 전해도금을 진행하였고, 전압변화가 안정화된 0.07~0.12초 구간의 평균전압을 분석한 결과를 그림 1에 나타내었다. 첨가제를 첨가하지 않은 조건 대비 첨가제를 개별적으로 첨가한 군에서 전체적으로 전압이 높게 나타나고 있다. 염화이온을 첨가한 경우 첨가량이 10~20 ppm 조건에서 무첨가 군 대비 전압이 높게 형성되었고 20~40 ppm 구간에서 전압이 감소한 이후 40 ppm 이상 조건에서는 전압 변화가 현저히 감소하였다. 가속제인 MPSA를 첨가한 조건에서는 10 ppm 첨가시 전압이 높게 형성되나 20~40 ppm 첨가 시 전압이 감소한 이후 60 ppm 첨가 시 전압이 다시 증가하는 경향을 보이고 있다. 억제제인 콜라겐을 첨가한 경우에는 10~30 ppm 구간에서 전압이 급격히 상승한 이후 감소하는 경향을 보이고 있다. 평탄제인 JGB 첨가제를 첨가한 경우에는 첨가량이 10~30 ppm까지 증가되면서 전압이 증가한 이후 감소하는 경향을 보이고 있다. 이처럼 첨가제마다 첨가량에 따라 전압 상승구간이 다르며 안정된 역할을 수행하기 위하여 적절한 첨가제 첨가가 필요할 것이다.

첨가제의 첨가 유무 및 첨가농도에 대한 테스트를 진행하기 위하여 염화이온과 MPSA의 농도는 전압이 안정화된 40 ppm의 농도를 선정하였고 콜라겐과 JGB 첨가량을 달리하여 테스트를 진행하였다. 초기 전압과 도금층 표면을 분석한 결과를 표 2에 나타내었다.

개별 첨가제 테스트에서도 첨가제를 첨가한 경우에 초기 전압이 증가하였던 현상이 첨가제를 복합적으로 첨가한 경우에도 동일하게 나타나고 있다. 그림 1의 첨가제를 개별 첨가한 전압보다 염화이온과 MPSA를 40 ppm씩 복합적으로 첨가한 경우(b) 전압은 약 40~50 mV 증가하였고 무첨가(a)군 대비 140 mV의 전압상승이 있었다. 여기에 콜라겐을 20 ppm을 복합적으로 첨가한 경우(c) 전압 상승은 약 3 mV로 변화도가 낮았다. 그러나 JGB를 추가로 10 ppm 추가한 경우(d)에는 약 80 mV의 전압 상승으로 전압의 변화도가 증가하였다. JGB첨가량을 10 ppm에서 30 ppm으로 증가한 경우 약 8 mV의 전압 상승으로 변화도는 미비하였다. 억제제인 콜라겐을 20 ppm 첨가한 군 대비 30 ppm 첨가한 군에서는 JGB 첨가 여부와 관계없이 전압이 증가하였다. 그러나 JGB를 첨가한 (g)조건과 (d)조건의 전압 상승 대비 JGB를 첨가하지 않는 (f)조건과 (c)조건 비교 시 전압 상승폭은 감소하였다. 12 μm 두께로 도금된 표면층의 분석 결과를 보면 무첨가(a) 조건에서는 표면의 결정들이 크게 존재하고 거친 형상을 보이고 있으며, 염화이온과 MPSA를 첨가한 조건에서는 표면에 1 μm 이상의 돌기들이 존재하고 있다. 억제제인 콜라겐을 복합 첨가한 경우 표면에서의 결정의 크기는 감소하여 미세한 구조를 보이고 있으나, 표면이 평평하지 못한 형상을 보이고 있다. 평탄제 JGB를 10 ppm 첨가한 (d), (g) 조건에서는 표면의 결정이 미세하며 평탄한 표면이 형성됨을 확인 할 수 있었다. 그러나 JGB를 30 ppm 첨가한 (e)조건에서는 표면이 균일하지 못하고 부분적으로 거친 표면이 생성됨에 따라서 억제제인 콜라겐을 20 ppm 첨가할 경우에는 JBG첨가량은 30 ppm 미만으로 첨가하는 것이 적절하다 판단된다. 기존 연구결과[11]에서 콜라겐의 첨가량이 60 ppm인 경우에는 JGB의 첨가량이 40 ppm 이상 조건에서 이러한 현상이 나타났다. 따라서 억제제와 평탄제의 조성비에 따라 표면 형상에 미치는 영향이 큰 것으로 판단된다.

12 μm 두께로 도금한 표면의 거칠기를 관찰하기 위하여 측정한 결과를 그림 2에 나타내었다. 티타늄기지와 접촉한 면의(S면, shiny면) 표면조도(Rz)는 0.77 μm로 모든 조건에서 동일하게 나타나고 있으며, 구리가 전착되면서 첨가제의 영향으로 최종 도금층의 표면의 거칠기가 변화하였다. 첨가제를 첨가하지 않은 (a)조건과 염화이온, MPSA를 첨가한 (b)조건 그리고 콜라겐을 추가적으로 20 ppm 첨가한 (c)조건의 표면조도는 티타늄 기지와의 접촉면(S면) 대비 표면조도가 증가하였다. 그러나 콜라겐을 30 ppm 첨가한 (f)조건은 표면조도(Rz: 0.61 μm)는 S면 대비 감소하였다. 도금면(M면, matte면)의 표면조도 감소 효과가 가장 높은 것은 평탄제인 JGB 첨가제를 첨가한 경우로 10 ppm 첨가한 (d)조건과 (g)조건의 경우 무첨가 대비 약 25~30% 수준으로 감소하였다. 일반적인 평탄제와 억제제의 거동을 살펴보면, 음극표면에서 표면에너지가 높은 edge, nodule 그리고 needle에서 첨가제가 흡착되게 된다. 극성을 띄고 있는 억제제와 평탄제는 표면에너지가 높은 곳에서 isolating layer를 형성하여 표면에너지를 감소시킨다. 따라서 needle이 성장하는 것을 방지하고 평탄화가 이루어진다. 그러나 이러한 반응은 짧은 시간 동안 이루어지며, 다른 부분의 표면층의 높이가 needle의 높이와 비슷해지거나, 또 다른 높은 표면에너지 영역이 발생되면 이동하여 흡착한다 [26]. 또한 이러한 과정이 반복적으로 이루어지면서 표면 거치기를 감소시킨다. 산업용 이차전지 음극재료로 사용하기 위해서는 표면 조도가 1 μm 이하의 조건을 만족하여야 한다. 따라서 억제제 또는 평탄제를 적절히 첨가하여 도금층의 표면조도 제어가 필요하다.

첨가제에 의한 도금층의 결정구조 변화에 대하여 관찰하기 위하여 XRD 분석을 진행하였으며 측정결과를 그림 3에 나타내었다. S면과 M면의 경향성의 큰 차이는 없으나, JGB를 30 ppm 첨가한 (e)조건의 경우 S면 대비 M면에서 (220)방위의 피크가 다른 방위보다 높게 형성이 되어 면간의 변화가 두드러지게 나타나고 있다. S면의 경우 첨가제 유무와 관계없이 (111)방위의 피크가 가장 높게 나타나고 있으며, JGB의 첨가로 인하여 (111)방위의 피크가 감소하고 (220) 방위의 피크가 증가하는 경향을 보이고 있다. 또한 이러한 경향은 M면에서 더 활발하게 일어나고 있다. 평탄제의 효과는 초기 핵생성단계에서도 나타나고 있으나 결정이 성장하는 과정에서 더 두드러지게 나타나고 있다.

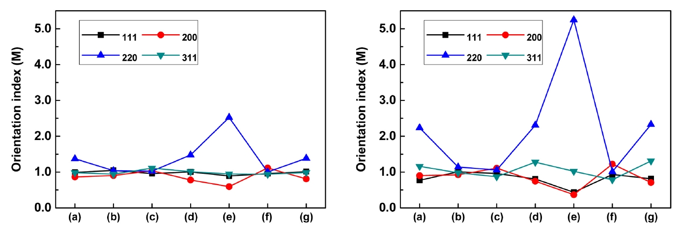
결정성장 방위에 대하여 좀 더 구체적인 분석을 위하여 orientation index(M) 분석법을 Yoshimura [27] 등이 제안하였고 이를 이용하여 그림 4에 나타내었다. 우선 성장 방위를 분석한 결과 모든 조건에서 S면 대비 M면에서 (220)결정방위로 결정들이 우선 성장하려는 경향이 나타나고 있으며, JGB를 30 ppm 첨가한 (e)조건에서 (220) 결정방위로 성장하려는 경향이 S면과 M면의 편차가 두드러지게 나타나고 있다. S면의 경우 염화이온과 MPSA를 첨가한 (b)조건과 콜라겐을 복합적으로 첨가한 (c)조건과 (f)조건의 경우 모든 방위에서 0.90~1.22로 1에 근접한 값을 보이고 있어, 여러 방위로 결정들이 성장하는 경향을 보이고 있다. 그러나 도금이 진행되는 동안 첨가제의 영향으로 우선성장 방위의 변화가 이루어지고 있다. 억제제인 콜라겐을 첨가한 경우(c군, f군) (200) 방위로 우선 성장하려는 경향을 보이고, JGB를 첨가한 경우(d군, e군, g군)에는 (220)방위와 (311)방위로 우선 성장하려는 경향을 보이고 있다. Gittis [27]등은 FCC구조의 구리는 각 면간의 표면에너지는 (220)면이 가장 높고, (200), (111) 순으로 감소된다 하였다. 이러한 현상은 음극 표면에서의 구리가 전착될 때 원자들의 이동이 원활하지 않는 조건에서 높은 표면에너지를 갖는 면으로 우선 배향 된다 하였다. 평탄제는 표면에서 에너지가 높은 곳에 흡착되어 성장을 억제하면서 구리 이온의 표면이동을 방해하게 하게 한다. 결과적으로 구리이온이 표면에서 (220) 방위에 평행하게 전착하게 한다. 또한 Lee 등 [29, 30]과 Yang 등 [30]은 구리는 FCC 결정구조를 가지며 결정이 가장 치밀한 (111)면으로 성장하는 경우에 (200)방위로 성장하는 결정에 비하여 일반적으로 electro migration(EM) 저항성이 우수하다 하였다. 또한, EM이 입계확산을 통해 주도적으로 발생되는데, 결정립이 (111)방위로 배향 되었을 때 가장 효과적으로 입계확산계수를 낮출 수 있고, 이로 인하여 EM에 대한 내성이 커질 것이라 하였다. 따라서 (220) 방위로 성장하려는 경향이 강할수록 EM에 대한 내성은 작아지기에 JGB 첨가량을 낮추는 조건을 도출하는 것이 필요하다.

Scherrer식으로 알려져 있는 다음 식(1)을 이용하여 결정립 크기 t를 구하였고 [32,33], 이 결과를 그림 5에 나타내었다. 여기서 λ는 X선 회절분석 장비에서 사용되는 구리 타겟은 0.154056 nm의 파장을 가지며, θ는 회절피크의 위치의 2θ의 반절인 값이다. B는 시편에서 각각 측정된 피크의 반가폭을 이용하여 구하였다.

(1)
t   =   0 . 89   λ B   cos θ

평탄제인 JGB첨가제를 첨가한 조건을 제외하고는 S면 대비 M면에서 모든 결정방위에서 결정립의 크기가 증가하는 현상을 보였고, 특히 콜라겐을 첨가한 조건에서 결정립의 크기 증가가 두드러지게 나타나고 있다. JGB를 첨가한 조건에서는 S면 대비 M면의 결정립 크기가 감소하였다. 도금 표면층의 결정립 크기의 경우 첨가제를 첨가하지 않은 (a)조건 대비 JGB를 복합적으로 첨가한 (g)조건의 경우 모든 방위에서 10~27% 결정립 크기가 감소하였다. 평탄제는 억제제와 마찬가지로 도금을 억제하기 위해 도금 표면에 흡착하게 된다. 평탄제는 이러한 흡착능력이 촉진제, 억제제보다 강하다고 하였다 [15,34-37]. 그러나 이러한 강한 흡착력은 도금 내에 첨가제가 쉽게 매몰 될 수 있을 것으로 판단된다. 따라서 강한 흡착력으로 인하여 도금층 내부의 첨가제가 흡착되어 내부 불순물 농도가 높아질 수 있다. Park 등 [15]의 연구에 따르면 농도를 달리하여 JGB를 첨가하였을 때 첨가제의 농도가 높아질수록 도금층 내부의 불순물의 농도가 선형적으로 증가하였고 이로 인해 도금층 형성 후 결정립 성장이 억제된다 하였다. 그러나 이러한 불순물의 농도 증가는 전기적 특성에 문제가 될 수 있다.

첨가제의 의한 전기적 특성 변화를 관찰하기 위하여 비저항을 측정한 결과를 그림 6에 나타내었다. 먼저 조도의 영향을 배제하기 위하여 동일한 조도를 갖는 티타늄 기지와의 접촉면을(S면) 기준으로 비저항을 측정한 결과 무첨가(a), 염화이온과 MPSA를 첨가한 조건(b) 및 (c), (f)조건의 비저항은 통계학적으로 유의차(p-value: 0.130)가 없었다. 평탄제인 JGB첨가제를 첨가한 (d), (e), (g) 조건의 경우에는 비저항이 무첨가 조건 대비 15.7~19.7% 증가하였다. 도금면(M면)의 경우 (a), (b) 조건을 제외한 다른 조건에서는 도금 초기에 형성된 S면의 비저항과 비슷한 경향을 가지고 있다. 염화이온과 MPSA를 첨가한 (b)조건의 경우 S면 대비 비저항이 약 15.5% 증가하였다. 이러한 원인으로는 그림 2의 표면도조 결과와 같이 S면 대비 M면의 표면조도가 약 190% 증가한 원인으로 판단되며 이러한 결과는 Kuan [38] 등에 제시한 비저항 계산식에서 표면 거칠기가 증가하면 비저항은 비례하여 증가한다는 결과와 일치한다. 또한 첨가제를 첨가하지 않은 (a)조건의 경우 S면 대비 M면의 표면조도의 변화는 23.4% 증가로 (b)조건 대비 증가폭은 크지 않았으나, 비저항이 증가하여 (b)조건과 유사한 비저항 값을 보이고 있다. 이러한 비저항의 변화의 원인은 초기 결정면인 S면 대비 M면의 결정성장이 우선 성장방위 (220)면에 평행하게 성장되었기 때문이다. 또한 (220)면의 결정립 크기의 증가 경향을 볼 때 (a) 조건 대비 (b)조건의 증가폭이 크기 때문에 결정립의 크기 변화와 결정성장 방위의 복합적인 영향으로 비저항이 비슷한 경향을 보인 것으로 판단된다. JGB를 첨가한 (d), (e) 그리고 (g)조건의 경우 결정립 우선성장 방위가 (220)방위로 무첨가 대비 결정성장 면적의 증가로 비저항이 증가되었으며, 결정립의 크기 또한 감소하였다. 결정립 크기가 나노사이즈인 경우 경계면의 비탄성산란으로 인하여 비저항이 증가하게 된다고 하였다 [39]. 따라서 결정성장 방위와 결정립의 크기 변화에 의한 복합적인 영향으로 비저항이 증가한 것으로 판단된다. 그러나 JGB 첨가량 및 콜라겐 첨가량에 따른 비저항 변화는 유의차가 없었다(p-value: 0.717).

4. 결 론

고전류밀도 전해도금 공정에서 억제제와 평탄제 첨가에 의한 표면특성, 구조적 특성 및 전기적 특성을 확인하기 위하여 콜라겐과 JGB의 양을 변화시켜 첨가한 후 도금층에 대한 연구를 진행하였다.

1. 첨가제를 개별적으로 첨가한 결과 첨가제에 따라 전압을 상승시키는 첨가량이 달랐으며, 콜라겐을 30 ppm 첨가한 경우 첨가제를 첨가하지 않은 무첨가 조건 대비 약 27% 높은 전압을 보이고 있다.

2. 첨가제를 복합적으로 첨가한 경우 억제제를 투여하지 않는 조건에서는 무첨가 조건대비 표면조도가 약 136% 증가하여 표면조도(Rz) 2.24 μm로 최대치를 보였다. 콜라겐 30 ppm 이하 및 JGB 10 ppm 조건에서 0.3 μm 이하의 표면 거칠기를 가진 균일한 도금층을 형성할 수 있었다.

3. 가속제와 억제제를 첨가한 경우 도금이 진행되는 과정에서 결정립의 크기가 증가되는 현상을 보이고 평탄제를 추가적으로 첨가한 경우 결정립을 감소시키는 경향을 보이고 있다.

4. JGB를 첨가한 경우 (220) 방위로 결정이 우선성장하려는 경향이 증가되며, 결정립 크기를 무첨가 대비 10~27% 감소시키는 효과가 나타났다.

5. 억제제인 콜라겐을 첨가한 경우 S면과 M면의 비저항의 편차를 줄일 수 있었으나, 결정립의 크기 편차가 발생되고 있다. 이를 개선하기 위해서는 평탄제인 JGB를 첨가가 필요하다.

본 연구를 통하여 표면조도가 낮고 균일한 도금층을 형성하며 S면과 M면의 구조적인 편차가 적은 구리 도금층을 형성하기 위해서는 가속제, 억제제 및 평탄제가 적절하게 첨가되어야 함을 확인 할 수 있었다. 첨가제를 많이 첨가한 경우 도금층의 첨가제 혼입에 대한 문제점을 야기 할 수 있기에 적은량의 첨가제의 첨가량 도출이 필요하다. 따라서 본 연구에서는 콜라겐의 첨가량이 30 ppm 이하의 조건에서 JGB 첨가제는 10 ppm을 첨가한 조건에서 표면이 균일한 도금층이 형성됨을 확인 할 수 있었다.

REFERENCES

1 
Kim M. H., Cha H. R., Choi C. S., Kim J. M., Lee D. Y., Korean J. Met. Mater,48, 884 (2010)Google Search
2 
Kim S. H., Shin D. H., Choi Y. S., Kim J. G., Kim S. H., J. Kor. Inst. Met. & Mater,43, 538 (2005)Google Search
3 
Woo T. G., Korean J. Met. Mater,54, 681 (2016)Google Search
4 
Lee S. W., Master Thesis(in Korean),1-2, Jeonbuk National University (2015)Google Search
5 
Hu C. C., Wu C. M., Surf. Coat. Technol,176, 75 (2003)Google Search
6 
Donepudi V. S, Venkatachalapathy R., Ozemoyah P. O., Johnson C. S., Prakash J., Electrochem. Solid-state. Lett,4, C13 (2001)Google Search
7 
Lee Y. K., O'keefe T. J., JOM,54, 40 (2002)Google Search
8 
Brande P. V., Winand R., Surf. Coat. Technol,52, 1 (1992)Google Search
9 
Zhou Z., O’Keefe T. J., J. Appl. Electroch,28, 461 (1998)Google Search
10 
Sartorelli M. L., Schervenski A. Q., Delatorre R. G., Klauss P., Phys. Stat. Sol,187, 91 (2001)Google Search
11 
Woo T. G., Park I. S., Korean J. Met. Mater,58, 41 (2020)Google Search
12 
Yang J. J., Huang Y. L., Xu K. W., Surf. Coat. Technol,201, 5574 (2007)Google Search
13 
Vas’ko V. A., Tabakovic I., Riemer S. C., Kief M. T., Micro. Engn,75, 71 (2004)Google Search
14 
Kim H. C., Kim J. J., Kor. Chem. Eng. Res,54, 723 (2016)Google Search
15 
Park C. M., Lee U. H., Lee H. J., Korea J. Met. Mater,54, 469 (2016)Google Search
16 
Kim S. K., Kim J. J., Electrochem. Solid-State Lett,7, C98 (2004)Google Search
17 
Cho S. K., Kim S. K., Kim J. J., J. Electrochem. Soc,152, C330 (2005)Google Search
18 
Choe S., Kim M. J., Kim H. C., Cho S. K., Ahn S. H., Kim S. K., Kim J. J., J. Electrochem. Soc,160, D3179 (2013)Google Search
19 
Kim M. H., Cha H. R., Choi C. S., Kim H. S., Lee D. Y., Korean J. Met. Mater,48, 757 (2010)Google Search
20 
Gallaway J. W., Willey M. J., West A. C., J. Electrochem. Soc,156, D287 (2009)Google Search
21 
Cao Y., Taephaisitphongse P., Chalupa R., West A. C., J. Electrochem. Soc,148, C466 (2001)Google Search
22 
Kim S. K., Josell D., Moffat T., J. Electrochem. Soc,153, C616 (2006)Google Search
23 
Jeong Y. H., Master Thesis(in Korean),11-40, Dong-A University (2016)Google Search
24 
Woo T. G., Park J. J., Park I. S., Korean J. Met. Mater,59, 304 (2021)Google Search
25 
Lee M. H., Cho J. K., J. Kor. Inst. Surf. Eng,46, 153 (2013)Google Search
26 
Stantke P., JOM,54, 19 (2002)Google Search
27 
Yoshimura S., Yoshihara S., Shirakashi T., Sato E., Electrochim. Acta,39, 589 (1994)Google Search
28 
Gittis A., Dobrev D., Thin solid Films,130, 335 (1985)Google Search
29 
Lee H. S., Kim H. S., Lee C. M., J. Kor. Inst. Met. & Mater,39, 920 (2001)Google Search
30 
S H., Kwon D. K., Park H. A., Lee C. M., Kor. J. Mater. Res,13, 174 (2003)Google Search
31 
Yang C. H., Lee S. C., Wu M., Lin T. C., Appl. Surf. Sci,252, 1818 (2005)Google Search
32 
Cullity B. D., Stock S. R., Elements of X-ray diffraction,170Pearson Education (2001)Google Search
33 
Lee S. H., Park N. J., J. Kor. Inst. Met. & Mater,44, 556 (2006)Google Search
34 
Kang I. S., Koo Y. S., Lee J. H., J. Microelectron. Packag. Soc,19, 67 (2012)Google Search
35 
Huang Q., Avekians A., Ahmed S., Parks C., Baker-O’Neal B., Kitayaporn S., Sahin A., Sun Y., Cheng T., J. Electrochem. Soc,161, D388 (2014)Google Search
36 
Kelly J., Nogami T., van der Straten O., Demarest J., Li J., Penny C., Vo T., Parks C., Dehaven P., Hu C. K., Liniger E., J. Electrochem. Soc,159, D563 (2012)Google Search
37 
Jin S. H., Lee D. R., Lee W. Y., Le S. Y., Lee M. H., Met. Mater. Int,21, 775 (2015)Google Search
38 
Kuan T. S., Inoki C. K., Oehrlein G. S., Rose K., Zhao Y. P., Wang G. C., Rossnagel S. M., Cabral C., Mater. Res. Soc. Symp. Proc,612, D7.1.1 (2000)Google Search
39 
Huh S. H., Jeon H. J., Chu H. S., Song Y. S., Lee S. K., Lee H. J., Lee U. H., Korea J. Met. Mater,52, 943 (2014)Google Search

Figures and Tables

Fig. 1.

Potential performance of the electrolyte at various additive with different concentrations.

../../Resources/kim/KJMM.2021.59/kjmm-2021-59-6-404f1.jpg
Fig. 2.

Surface roughness of copper foil (matte layer) at the of various conditions.

../../Resources/kim/KJMM.2021.59/kjmm-2021-59-6-404f2.jpg
Fig. 3.

XRD analysis of copper layer with various additives concentrations in bath solutions (left: shiny layer, right: matte layer).

../../Resources/kim/KJMM.2021.59/kjmm-2021-59-6-404f3.jpg
Fig. 4.

Orientation index (M) of copper layer with various additives concentrations in bath solutions (left: shiny layer, right: matte layer).

../../Resources/kim/KJMM.2021.59/kjmm-2021-59-6-404f4.jpg
Fig. 5.

Crystallite size evolution of electroplated copper layer with additives concentrations in the solutions (left: shiny layer, right: matte layer).

../../Resources/kim/KJMM.2021.59/kjmm-2021-59-6-404f5.jpg
Fig. 6.

Resistivity of electroplated copper layer with additives concentrations in the solutions (left: shiny layer, right: matte layer).

../../Resources/kim/KJMM.2021.59/kjmm-2021-59-6-404f6.jpg
Table 1.

Chemical composition of electroplating baths.

Separation Composition
Copper sulfate (CuSO4·5H2O) 0.79 M
Sulfuric acid (H2SO4) 1.00 M
Hydrochloric acid (HCl) 0~60 ppm
Accelerator (MPSA) 0~60 ppm
Suppressor (Collagen) 0~60 ppm
Leveler (Janus Green B, JGB) 0~60 ppm
Table 2.

Potential and SEM images of copper plated for 12 μm under various conditions

Cl (ppm) MPSA (ppm) Collagen (ppm) JGB (ppm) Potential (V) Surface images
(a) 0 0 0 0 1.440 ../../Resources/kim/KJMM.2021.59/kjmm-2021-59-6-404i1.jpg
(b) 40 40 0 0 1.580 ../../Resources/kim/KJMM.2021.59/kjmm-2021-59-6-404i2.jpg
(c) 40 40 20 0 1.583 ../../Resources/kim/KJMM.2021.59/kjmm-2021-59-6-404i3.jpg
(d) 40 40 20 10 1.663 ../../Resources/kim/KJMM.2021.59/kjmm-2021-59-6-404i4.jpg
(e) 40 40 20 30 1.671 ../../Resources/kim/KJMM.2021.59/kjmm-2021-59-6-404i5.jpg
(f) 40 40 30 0 1.662 ../../Resources/kim/KJMM.2021.59/kjmm-2021-59-6-404i6.jpg
(g) 40 40 30 10 1.690 ../../Resources/kim/KJMM.2021.59/kjmm-2021-59-6-404i7.jpg