김상일
(Sang-il Kim)
1
김현식
(Hyun-Sik Kim)
2*
-
서울시립대학교 신소재공학과
(Department of Materials Science and Engineering, University of Seoul, Seoul 02504,
Republic of Korea)
-
홍익대학교 신소재공학과
(Department of Materials Science and Engineering, Hongik University, Seoul 04066, Republic of Korea)
Copyright © 2021 The Korean Institute of Metals and Materials
Key words
thermoelectric, carrier scattering mechanism, ionized impurity scattering, acoustic phonon scattering, power factor
1. 서 론
최근 수 십년간 열전기술은 친환경 고체냉각 및 열-전기변환을 통한 폐열 발전의 응용 가능성 때문에 많은 연구가 진행되어 왔다. 열전 냉각/발전 디바이스
효율에 밀접하게 연관되어 있는 열전소재의 성능은 무차원 열전성능 지수인 zT로 나타내는데 zT는 제벡계수 (S), 전기전도도 (σ), 열전도도 (κ) 및 온도 (T)로 다음과 같이 표현될 수 있다.
하지만 S와 σ간의 캐리어 농도 변화에 따른 상반된 경향성 때문에 열전소재의 zT를 높이는 것은 간단하지 않다 [1].
그럼에도 불구하고, S와 σ간의 상충관계를 극복하여 높은 S2σ (파워 팩터)를 달성하기 위한 다양한 방법들이 시도되었다. 첫째로, 밴드 중첩을 통해 파워 팩터를 높일 수 있다. 두 개 이상의 동일한 타입의 밴드
(n- 혹은 p-타입)가 중첩되었을 때 (에너지적으로 같은 위치에 놓였을 때) σ의 감소 없이 S를 증가시킬 수 있다. S는 전자상태밀도 유효질량 (md*, density-of-states effective mass)과 비례하는데, 이 md*는 다시 페르미 포켓 (Fermi pocket)의 개수(Nv, valley degeneracy)와 페르미 포켓 한 개의 질량(mb*, band mass of a single Fermi pocket)으로 아래식(2)와 같이 정의된다.
밴드 중첩에 의한 S 증대는 mb*의 증가가 아닌 Nv의 증가에 의한 md* 증대에 기인하는데, 밴드 중첩 시 mb*는 동일하게 유지되기 때문에 mb*에 반비례하는 σ (페르미 포켓이 구형일 경우)의 변화를 동반하지 않는다 [2-4]. 둘째로, 페르미 포켓의 형태를 구형에서 타원형으로 변형시킬 때, S와 σ간의 상충관계가 약화되면서 파워 팩터의 증대로 이어질 수 있다. 바로 위에서 σ가 mb*에 반비례한다고 하였는데 실제로 σ는 전도도 유효질량 (mc*, conductivity effective mass)에 반비례한다. 페르미 포켓의 형태가 구형일 경우 mb*와 mc*가 같지만, 페르미 포켓의 형태가 타원형일 경우 mc*가 mb*보다 작아진다 [5]. 따라서, 기존에 구형이었던 페르미 포켓을 타원형으로 제어할 경우, S (mb*에 비례) 감소 없이 σ (mc*에 반비례)를 높여서 결과적으로 파워 팩터를 높일 수 있게 된다.
최근, 캐리어 산란 메커니즘 제어를 통해 캐리어 이동도를 높임으로써 파워 팩터를 증대시킨 연구결과가 발표되었다. 상온에서 이온화 불순물에 의한 캐리어
산란 (ionized impurity carrier scattering)이 지배적인 n-타입 Mg3Sb2계열전재료에 전이금속을 도핑 했을 때 음향 포논에 의한 캐리어 산란 (acoustic phonon scattering)의 기여분이 증대되어 σ가 크게 높아짐으로써 (캐리어 이동도 증대에 기인함) 파워 팩터가 높아지는 결과가 관찰되었다 [6-8]. 하지만, n-타입 Mg3Sb2계 열전재료에 전이금속을 도핑 할 경우, 캐리어 산란 메커니즘의 변화 뿐만 아니라 md*의 증대가 관찰되지만 md* 증가와 관련된 부분은 기존 문헌에서 간과해왔다.
따라서 본 연구에서는 싱글 파라볼릭 밴드 모델 (SPB model, single parabolic band model)을 이용하여 n-타입 Mg3Sb2계 열전재료에서 (1) 이온화 불순물에 의한 캐리어 산란이 지배적인 경우와 (2) 전이금속 도핑을 통해 이온화불순물에 의한 캐리어 산란과 음향 포논에
의한 캐리어 산란이 공존하는 경우의 밴드 관련 특성들을 도출하였다(md*와 비축퇴 이동도 (μ0, non-degenerate mobility)). 그 후, 밴드의 md*가 고정된 상태에서 캐리어 산란 메커니즘이 이온화 불순물에 의한 산란에서 이온화 불순물과 음향 포논에 의한 캐리어 산란으로 변할 때 n-타입 Mg3Sb2계열전재료의 전자수송 특성에 미치는 영향을 고찰하였다. 그 결과, 전이금속 도핑을 통한 md* 증대 효과를 배제하여도, 캐리어 산란 메커니즘 제어가 열전소재의 파워 팩터를 높일 수 있음을 입증하였다.
2. 실험 방법
SPB 모델을 이용하여 n-타입 Mg3.2Sb1.5Bi0.5-xTex (x = 0.006, 0.008, 0.01) 샘플과 Mg3.1A0.1Sb1.5Bi0.49Te0.01 (A = Hf, Co) 샘플의 md*와 μ0를 도출하였다 [9,10]. Te만 도핑된 Mg3.2Sb1.5Bi0.5-xTex (x = 0.006, 0.008, 0.01) 샘플에 대해서는 이온화 불순물에 의한 캐리어 산란이 지배적인 것을 가정하였고, Te와 전이금속 (Hf
또는 Co)이 동시에 도핑된 Mg3.1A0.1Sb1.5Bi0.49Te0.01 (A = Hf, Co) 샘플에서는 이온화 불순물에 의한 캐리어 산란과 음향 포논에 의한 캐리어 산란이 공존하는 것을 가정하였다 [6,8]. 이온화 불순물에 의한 캐리어 산란이 지배적인 경우, 캐리어 이완 시간(τ, carrier relaxation time)이 캐리어 에너지 (E)에 아래와 같이 비례한다고 가정하고 계산을 진행하였다 [9].
반면에, 이온화 불순물과 음향 포논 모두 캐리어 산란에 영향을 미칠 경우에는 아래 식(4)와 같은 τ와 E간의 관계식을 사용하였다.
식(4)는 중성 불순물에 의한 캐리어 산란 (neutral impurity carrier scattering)이 지배적일 경우에 주로 사용되는데 이온화 불순물과
음향 포논에 의한 캐리어 산란이 공존할 경우에도 사용될 수 있다 [6,9]. Te와 전이금속을 동시에 n-타입 Mg3Sb2계 열전소재에 도핑함으로써 증대된 파워 팩터 중에서 캐리어 산란 메커니즘 제어에 의한 파워팩터 변화분을 분리하기 위하여 n-타입 Mg3.2Sb1.5Bi0.5-xTex (x = 0.006, 0.008, 0.01) 샘플에서 피팅한 md* (이온화 불순물에 의한 캐리어 산란 결과)와 Mg3.1A0.1Sb1.5Bi0.49Te0.01 (A = Hf, Co) 샘플에서 도출한 μ0 (이온화 불순물과 음향포논에 의한 캐리어 산란 결과)를 조합한 가상의 밴드의 이론 전자수송 특성을 계산하였다. 전이금속 추가 도핑에 의한 이동도의
변화가 캐리어 산란 메커니즘 제어에 따른 이동도의 변화량에 비해 미미하다는 가정 하에 이 가상의 밴드의 μ0 값으로 Te와 전이금속이 동시 도핑된 샘플에서 도출한 μ0를 사용하였다. SPB 모델을 이용한 전자수송 특성 계산 시 각 캐리어 산란 메커니즘 별 사용한 수식은 아래 표 1과 같다. 아래 표 1에서 kB, h, e, η, 및 Fx는 각각 볼츠만 상수, 플랑크 상수, 전자의 전하량, 화학 포텐셜을 kBT로 나눈 값 및 x차 페르미 적분값을 나타낸다 (식(5) 참조).
3. 결과 및 고찰
3.1 Te와 전이금속 동시 도핑이 md*에 미치는 영향
Te와 전이금속을 동시에 n-타입 Mg3Sb2계 열전소재에 도핑 하였을 경우, 소재의 md*에 미치는 영향을 분석하기 위하여 (1) Te만 도핑된 Mg3.2Sb1.5Bi0.5-xTex (x = 0.006, 0.008, 0.01) 샘플과 (2) Te와 전이금속이 동시에 도핑된 Mg3.1A0.1Sb1.5Bi0.49Te0.01 (A = Hf, Co) 샘플의 md*를 SPB 모델을 통하여 도출하였다. 이 때, Te만 도핑된 샘플에 적용한 SPB 모델의 경우 이온화 불순물에 의한 캐리어 산란을 가정하였지만 (II
산란), Te와 전이금속을 동시 도핑한 샘플에 적용한 SPB 모델의 경우 이온화 불순물과 음향 포논에 의한 캐리어 산란이 공존하는 것을 가정하였다(Mixed
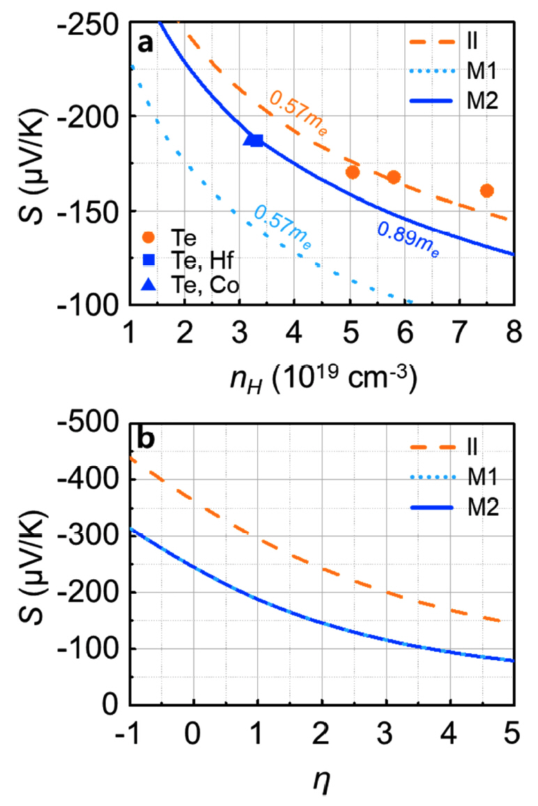
산란). 이 가정들은 기존 문헌에서 Te만 도핑된 샘플과, Te와 전이금속을 동시 도핑한 샘플의 홀 이동도(μH, Hall mobility)의 온도에 따른 경향 분석 결과와 일치한다. 상온에서 Te만 도핑한 샘플의 경우 II 산란이 지배적인 반면 (μH∝ ~T2), Te와 전이금속이 동시에 도핑된 샘플은 Mixed 산란이 관찰되었다 (μH∝ ~T0.5) [6,8]. 표1에 정리한 캐리어 산란의 종류에 따라 다른 S와 홀 캐리어 농도 (nH, Hall carrier concentration) 수식을 이용하여 md*를 피팅한 결과, Te와 전이금속을 동시 도핑할 경우, Te만 도핑했을 때 대비 md*가 커지는 것을 아래 그림 1(a)에서와 같이 볼 수 있다.
그림 1(a)는 기존 문헌에서 발췌한 Te만 도핑된 샘플(“Te”, 주황색 모양)과 Te와 전이금속이 동시에 도핑된 샘플(“Te, Hf”, “Te, Co”, 파란색
모양)의 nH에 따른 S 측정값을 나타낸다 [6,8]. “Te”의 경우, II 산란을 가정한 SPB 모델 피팅을 통해 밴드의 md*로 0.57 me (전자의 정지 질량)를 얻었다 (“II”, 주황색 파선). “Te, Hf”와 “Te, Co”의 경우, Mixed 산란을 가정한 SPB 모델 피팅
결과 md*가 0.89 me로 증가한 것을 볼 수 있다 (“M2”, 파란색 실선). 기존 문헌에서는 “Te”, “Te, Hf”, 및 “Te, Co” 모두 md* ~ 0.5 me 값을 가진다고 주장하였지만, Mixed 산란을 가정한 SPB 모델에서 md* = 0.57 me (“Te”의 md*값과 동일)인 경우 (“M1”, 하늘색 점선), “Te, Hf”와 “Te, Co” 실험결과를 설명하지 못하는 것을 그림 1(a)를 통해 확인할 수 있다. 따라서, “Te, Hf”와 “Te, Co” 실험값을 물리적으로 설명하기 위해서는 기존 문헌과 다르게 캐리어 산란 메커니즘
변화 뿐만 아니라 약 56%의 md* 증대 (“Te”의 md* 대비) 또한 필요하다. 기존 문헌에서는 “Te, Hf”과 “Te, Co”의 md* 증대 효과까지 캐리어 산란 메커니즘 제어에 의한 효과로 고려되었기 때문에 캐리어 산란 메커니즘 제어에 의한 파워 팩터 증가분이 실제보다 과대평가되어
있는 것을 발견하였다.
동일한 md* 값을 갖지만 캐리어 산란 메커니즘만 다른 “II”와 “M1”을 비교했을 때, “II”가 “M1” 대비 동일한 nH에서 더욱 큰 S값을 갖는 것을 볼 수 있다 (그림 1(a)). 이 차이는 다른 산란 메커니즘에 적용되는 SPB 모델 내 S에 대한 수식이 다르기 때문이다 (표1 참조). “II”의 경우, 특정 η에 대한 S값을 계산하기 위해 아래 식(6)을 사용한다.
반면, “M1”의 경우, 주어진 η에 대한 S값을 계산하기 위한 수식은 아래와 같다.
동일한 η 범위에서 (-1≤ η≤ 5) 식(6)와 식(7)을 통해 계산한 S값의 차이는 그림 1(b)와 같다. S는 η만을 변수로 두고 있기 때문에 md*값이 다른 “M1”과 “M2” 모두 동일한 η에서 같은 S값을 나타낸다 (대신 다른 md*는 상이한 nH를 초래한다). 따라서 그림 1(b)에 따르면, II 산란이 지배적인 경우가 Mixed 산란이 지배적인 경우보다 같은 η에서 S값이 더 높은 것으로 계산되었다 (η = 5 일 때, SII는 SMixed 대비 1.8 배임).
3.2 캐리어 산란 메커니즘 제어가 μ0에 미치는 영향
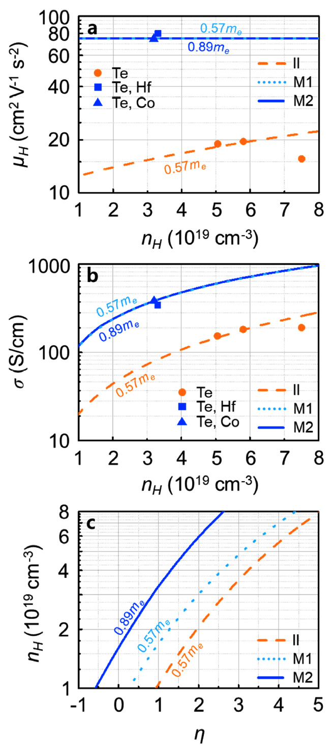
캐리어 산란 메커니즘 제어가 소재의 μ0에 미치는 영향을 분석하기 위하여 (1) Te만 도핑된 샘플과 (2) Te와 전이금속이 동시에 도핑된 샘플의 μH 측정값에 SPB 모델을 적용하여 각각의 μ0값을 얻었다. 그림 2(a)는 기존 문헌에서 발췌한 “Te”, “Te, Hf”, 그리고 “Te, Co”의 nH에 따른 μH 측정값을 나타낸다 [6,8]. “Te, Hf”와 “Te, Co”의 μH (~ 75 cm2 V-1 V-1)가 “Te”의 μH (~ 20 cm2 V-1 V-1) 대비 약 3.5배 높은 것으로 관찰된다. 하지만 μH에는 소재의 η에 따른 이동도의 변화량 또한 내포하고 있기 때문에 소재 고유의 캐리어 이동 특성을 비교하기 위해서는 μH가 아닌 μ0값을 비교해야 한다 (표 1 참조). 이에 따라 “Te”의 μ0값은 아래 식(8)을 통해 피팅 되었다 (II 산란을 가정한 SPB 모델 피팅 결과: “II” 주황색 파선).
“Te, Hf”와 “Te, Co”의 μ0값은 아래 식(9)를 통해 도출되었다 (Mixed 산란을 가정한 SPB 모델 피팅 결과: “M1” 하늘색 파선, “M2” 파란색 파선).
SPB 모델 계산 결과 “Te” 샘플의 μ0는 1.26 (cm2 V-1 V-1)인 반면, “Te, Hf”과 “Te, Co” 샘플들의 μ0는 모두 ~75(cm2 V-1 V-1)로 피팅 되었다. Te와 전이금속의 동시 도핑에 따른 캐리어 산란 메커니즘의 변화로 약 60배의 μ0 증대가 관찰되었다.
“M1”과 “M2”의 차이는 앞서 그림 1(a)에서 설명한 것처럼 md*값의 차이에 있다. 하지만 SPB 모델 계산에 사용한 md*의 차이에도 불구하고 “M1”과 “M2”의 이론 μH값은 nH 변화와 무관하게 고정된 μ0값을 가진다. 이는 식(9)에서 Mixed 산란을 가정한 SPB 모델 내 μH가 모든 η값에 대해서 μ0와 동일하기 때문이다.
그림 2(b)는 기존 문헌에서 발췌한 “Te”, “Te, Hf”, 그리고 “Te, Co”의 nH에 따른 σ 측정값과 SPB 모델을 통해 피팅한 μ0로 계산한 σ값을 나타낸다 [6,8]. 그림 2(a)에서 구한 μ0값으로 σ를 계산하였을 때, “Te”는 “II” 계산 결과를 통해 물리적으로 설명할 수 있고, “Te, Hf” 및 “Te, Co”는 “M1” (혹은 “M2”)의
계산 결과에 부합하는 것을 관찰할 수 있다. μH (그림 2(a))에서 관찰된 경향성과 유사하게 σ 또한 Mixed 산란이 지배적인 경우가 II 산란이 지배적일 때 대비 더 높은 σ 특성을 갖는 것을 볼 수 있다.
μH 계산값과 유사하게 이론 σ 또한 “M1”과 “M2”가 동일한 것을 확인할 수 있다. σ는 앞서 계산한 nH와 μH를 이용하여 아래 식(10)을 통해 계산되었다.
Mixed 산란에서 μH값이 고정된 μ0값을 갖지만, nH는 md*3/2에 비례한다 (표 1 참조). 따라서 md*가 큰 “M2”의 σ가 “M1”의 σ보다 클 것으로 예상된다. 실제로 그림 2(c)에서와 같이, nH 계산값을 η에 대해 정리하면, 동일한 md*값에서 캐리어 산란 메커니즘만 다를 때 “M1”가 “II” 대비 더 큰 nH값을 갖는다. 하지만 동일한 Mixed 산란에서는 md*값이 큰 “M2”가 “M1” 대비 더 큰 nH값을 갖는다. 그렇기 때문에 “M1”과 “M2”의 σ를 η에 대해 계산하였을 때 동일 η에서 “M2”의 σ가 “M1”의 σ 보다 클 것이다. 하지만 σ를 nH에 대해 정리하면 μ0가 동일하기 때문에 동일 nH에서 동일한 σ 결과를 얻게 된다. 즉, Te와 전이금속의 동시 도핑을 통해 μ0 (혹은 σ)가 증대된 것은 오직 캐리어 산란 메커니즘에 기인한다는 결론에 도달할 수 있다.
3.3 캐리어 산란 메커니즘 제어가 κ에 미치는 영향
캐리어 산란 메커니즘 제어가 소재의 κ에 미치는 영향을 분석하기 위하여 (1) Te만 도핑된 샘플과 (2) Te와 전이금속이 동시에 도핑된 샘플의 열전도도 중 전자 기여분 (κe, electronic contribution to thermal conductivity)을 SPB 모델을 통해 계산하였다. κe은 로렌츠 숫자 (L, Lorenz number), σ 및 T에 아래와 같이 비례한다 [11,12].
따라서 κe를 계산하기 위해서는 L을 계산하는 것이 선행되어야 한다. 그림 3(a)는 md* = 0.57 me 이고, II 산란이 지배적일 때 nH에 따른 L (“II”), 동일한 md*에서 Mixed 산란이 지배적인 경우의 L (“M1”) 및 동일한 Mixed 산란에서 md*가 0.89 me로 증가 했을 때의 L의 계산값(“M2”)을 보여준다. “II”는 “M1” (혹은 “M2”) 대비 전 nH에서 L값이 클 뿐만 아니라, “M1”과 달리 nH 증가에 따라 L이 감소하는 경향을 보인다. II 산란이 Mixed 산란에 비해 더 큰 L값을 갖는 이유는 SPB 모델에서 산란 메커니즘에 따라 다른 L에 대한 수식을 사용하기 때문이다 (표 1 참조). 표 1에 따르면 II 산란과 Mixed 산란 두 경우 모두 L은 η값에만 비례함에도 불구하고 동일한 산란 메커니즘에서 “M2”가 “M1” 대비 동일 nH에서 더 높은 L 값을 갖는 이유는 계산된 L 값이 md*에 따라 변하는 nH에 대한 함수로 표현되었기 때문이다. 만약 “M1”과 “M2”의 L 값이 η에 대한 함수로 표현되어 있다면 두 경우 모두 동일한 η에서 같은 L 값을 나타낼 것이다.
그림 3(b)는 II 산란이 지배적일 때 nH에 따른 κe (“II”, md* = 0.57 me) 및 Mixed 산란이 지배적인 경우의 κe 계산값을 보여준다 (“M1”와 “M2” 각각 md* = 0.57 me 및 0.89 me). 그림 3(a)에서 “II”의 L이 “M1” (혹은 “M2”)의 L 보다 그 값이 컸지만, “M1”의 σ가 “II” σ 대비 전 nH 구간에서 약 5배 높기 때문에 (그림 2(b) 참고) L과 σ의 곱에 비례하는 κe 경우 “M1”가 “II” 대비 큰 것으로 계산되었다. “M2”의 L이 “M1” 보다 소폭 크기 때문에, κe 또한 “M2”가 “M1” 보다 크다. 만약 Te와 전이금속의 동시 도핑을 통한 md* 증가분을 고려하지 않고 “II”와 “M1”만 비교해 본다면 캐리어 산란 메커니즘을 II 산란에서 Mixed 산란으로 제어하는 것은 κe의 증가로 이어지는 것을 볼 수 있다.
SPB 모델을 이용하여 계산한 κe 값이 실제 실험값과 상응하는 것을 입증하기 위하여 기존 문헌에서 보고된 “Te”, “Te, Hf”, 및 “Te, Co” 샘플의 격자 열전도도 (κl) 값을 κe 계산값과 더한 결과를 동일 샘플의 κ 측정값과 비교하였다 (κ = κe + κl) [6,8]. 그림 3(c)에서 “II”, “M1” 및 “M2”의 κ는 그림 3(b)의 κe 값에 “II”에는 κl 값으로 0.96 (W/m-K)를 “M1” 및 “M2”에는 0.86 (W/m-K)를 더한 결과이다 [6,8]. 실험 데이터와 SPB 계산 결과가 서로 상응하기 때문에, SPB 모델을 통해 예측한 κe 값이 실제 소재 내 물리적 실체를 반영한다고 볼 수 있다.
3.4 캐리어 산란 메커니즘 제어가 파워 팩터에 미치는 영향
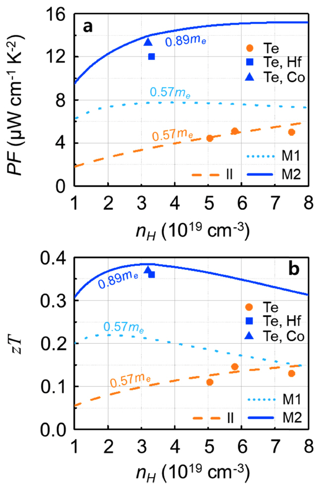
캐리어 산란 메커니즘 제어가 소재의 파워 팩터에 미치는 영향을 분석하기 위하여 (1) Te만 도핑된 샘플과 (2) Te와 전이금속이 동시에 도핑된
샘플의 파워 팩터를 SPB 모델을 통해 계산하였다 [13]. 그림 4(a)는 기존 문헌에서 발췌한 “Te”, “Te, Hf”, 그리고 “Te, Co”의 nH에 따른 파워 팩터 측정값과 SPB 모델을 통해 계산한 파워 팩터값을 나타낸다 [6,8]. 기존 문헌에서는 “Te” 대비 약 3배 이상 증대된 “Te, Hf”과 “Te, Co”의 파워 팩터를 모두 캐리어 산란 메커니즘 제어 효과라고
주장하였다 [6,8]. 하지만, 그림 4(a)에서 볼 수 있듯 “Te, Hf”과 “Te, Co” 측정값을 물리적으로 설명하기 위해서는 Mixed 산란 외에도 md* 값을 기존 0.57 me에서 0.89 me로 약 56% 증가시켜야 한다 (“M2”). 순수 캐리어 산란 메커니즘을 II 산란에서 Mixed 산란으로 제어한 효과가 파워 팩터에 미치는 영향은
“Te”를 이론적으로 설명하는 “II” (md*= 0.57 me)와 “M1”(md* = 0.57 me)를 비교함으로써 가늠해 볼 수 있다. Te와 전이금속의 동시 도핑을 통해 캐리어 산란 메커니즘과 md*를 동시에 제어할 경우 nH ~ 3 × 1019 (cm-3)에서 약 3.5 배의 파워 팩터 증대 효과가 있지만 (“II”→ “M2”), 캐리어 산란 메커니즘 제어 효과만 고려할 경우, 동일 nH에서 파워 팩터는 약 2배 증대하는 것에 그친다(“II”→ “M1”). 그럼에도 불구하고 단순 캐리어 산란 메커니즘 제어를 통해 약 2배의 파워 팩터
증대를 이룰 수 있다는 것을 발견할 수 있었다. 다만 샘플의 nH가 1020 (cm-3)에 가까울수록 캐리어 산란 메커니즘 제어에 따른 파워 팩터 증대 효과가 미미해지는 것이 관찰되었다.
그림 4(b)는 기존 문헌에서 발췌한 “Te”, “Te, Hf”, 그리고 “Te, Co”의 nH에 따른 zT 측정값과 SPB 모델을 통해 계산한 zT값을 나타낸다 [6,8]. 파워 팩터 계산값과 동일하게 nH ~ 3 × 1019 (cm-3)에서 캐리어 산란 메커니즘 제어는 zT를 약 2배 정도 증가시킬 수 있지만 이는 “II”와 “M1”의 κ 계산값이 nH ~ 3 × 1019 (cm-3)에서 둘 다 유사한 값을 갖기 때문이다 (그림 3(c) 참조). nH가 3 × 1019 (cm-3) 보다 커지면 “M1”의 κ 계산값이 “II” 보다 커지기 때문에 nH > 3 × 1019 (cm-3) 구간에서 캐리어 산란 메커니즘 제어에 따른 zT 개선 효과는 파워 팩터의 경우보다 더 빠르게 줄어드는 것을 볼 수 있다. 따라서 캐리어 산란 메커니즘 제어를 통해 열전 소재의 파워 팩터 및 zT를 증대효과를 극대화하고자 할 때, 소재의 nH를 낮은 쪽으로 조절하는 전략이 추가되어야 할 것이다.
4. 결 론
n-타입 Mg2Sb3계 열전소재에서 캐리어 산란 메커니즘 제어에 의한 파워 팩터 특성 변화를 이론적으로 예측하였다.
Mg2Sb3계 소재에 Te와 전이금속을 동시 도핑할 경우, 지배적인 캐리어 산란 메커니즘이 이온화 불순물에 의한 캐리어 산란에서 이온화 불순물 및 음향 포논에
의한 캐리어 산란으로 변하면서 상온에서 zT가 최대 3.5배 이상 증대되는 것으로 기존 문헌에서 보고했지만 [6,8], 전이금속 도핑을 통한 전자상태밀도 유효질량 증가분을 제외할 경우 zT는 약 1.5 증가하는데 그치는 것으로 계산되었다. 이는 이온화 불순물 및 음향 포논에 의한 캐리어 산란 시 전기전도도가 이온화 불순물에 의한 캐리어
산란이 지배적인 경우 대비 현격하게 높아지지만, 캐리어 산란 메커니즘 변화로 인해 제벡계수가 낮아지고 동시에 높아진 전기전도도로 인해 열전도도의 전자
기여분이 같이 올라가기 때문으로 분석되었다. 홀 캐리어 농도 최적화가 캐리어 산란 메커니즘 제어와 함께 이루어진다면 캐리어 산란 메커니즘 제어에 의한
파워 팩터 증대는 극대화될 수 있다.
Acknowledgements
This work was financially supported by Basic Science Research Program through the
National Research Foundation of Korea (NRF) funded by Ministry of Education (NRF-2019R1C1C1005632).
REFERENCES
Snyder G. J., Toberer E. S., Nat. Mater,7, 105 (2008)

Kim H.-S., J. Korean Ceram. Soc,56, 325 (2019)

Lee K. H., Kim S.-i., Kim H.-S., Kim S. W., ACS Appl. Energy Mater,3, 2214 (2020)

Kim H.-S., Heinz N. A., Gibbs Z. M., Tang Y., Kang S. D., Snyder G. J., Mater. Today,20,
452 (2017)

Wang H., Pei Y., LaLonde A. D., Snyder G. J., Proc. Natl. Acad. Sci. U.S.A,109, 9705
(2012)

Mao J., Jing S., Song S., Wu Y., Dally R., Zhu J., Liu Z., Sun J., Zhang Q., Cruz
C. D., Wilson S., Pei Y., Singh D. J., Chen G., Chu C.-W., Ren Z., Proc. Natl. Acad.
Sci. U.S.A,114, 10548 (2017)

Tamaki H., Sato H. K., Kanno T., Adv. Mater,28, 10182 (2016)

Shuai J., Mao J., Song S., Zhu Q., Sun J., Wang Y., He R., Zhou J., Chen G., Singh
D. J., Ren Z., Energy Environ. Sci,10, 799 (2017)

May A. F., Snyder G. J., Thermoelectric nanomaterials,3-32, Springer (2013)

Cho H.-J., Kim H.-S., Kim S.-i., Korean J. Met. Mater,57, 673 (2019)

Kim H.-S., Gibbs Z. M., Tang Y., Wang H., Snyder G. J., APL Mater,3, 041506 (2015)

Cho H.-J., Kim H.-S., Sohn W.-H., Kim S.-i., Korean J. Met. Mater,58, 439 (2020)

Kim G., Shin H., Lee J., Lee W., 10.1007/s12540-020-00609-9, Met. Mater. Int, (2020)

Figures and Table
Fig. 1.
(a) Experimental Mg3.2Sb1.5Bi0.5-xTex (x = 0.006, 0.008, 0.01) in orange symbol and Mg3.1A0.1Sb1.5Bi0.49Te0.01 (A = Hf, Co) in blue symbol plotted in the Seebeck pisarenko (nH – S plot) adopted from Ref. [6,8]. Dashed line in orange is the SPB model result calculated
with md
* of 0.57 me (electron rest mass) under the II scattering (“II”). Dotted line in sky blue is calculated
with the same md* (= 0.57 me) but under the mixed scattering (“M1”). Solid line in blue is for md* of 0.89 me under the mixed scattering (“M2”). (b) S as a function of η calculated via SPB model under II scattering (“II”) and under mixed scattering (“M1”
and “M2”).
Fig. 2.
Experimental μH (a) and σ (b) of Mg3.2Sb1.5Bi0.5-xTex (x = 0.006, 0.008, 0.01) in orange symbol and Mg3.1A0.1Sb1.5Bi0.49Te0.01 (A = Hf, Co) in blue symbol from Ref. [6,8]. Theoretical μH (a) and σ (b) calculated via SPB model under the II scattering (“II”), and under the Mixed
scattering (“M1” and “M2”). (c) Calculated nH as a function of η for “II”, “M1”, and “M2”. The difference between the “M1” and “M2” is their md* (0.57 me for “M1” and 0.89 me for “M2”).
Fig. 3.
Calculated Lorenz number (L) (a), electronic contribution to thermal conductivity
(κe) (b), and total thermal conductivity (κ) (c) using SPB model under II scattering (“II”), and Mixed scattering (“M1”, “M2”).
For “II” and “M1”, md* = 0.57 me is adopted. For “M2”, md* = 0.89 me is used. Experimental κ in (c) are adopted from Ref. [6,8]. Lattice thermal conductivity (κl) of 0.96 and 0.86 (W/m-K) estimated from Ref. [6,8] have been used to calculate the theoretical κ in (b).
Fig. 4.
Power factor (a) and zT (b) of experimental Mg3.2Sb1.5Bi0.5-xTex (x = 0.006, 0.008, 0.01) in orange symbol and Mg3.1A0.1Sb1.5Bi0.49Te0.01 (A = Hf, Co) in blue symbol adopted from Ref. [6,8]. Dashed line in orange is the SPB model result calculated with md* of 0.57 me (electron rest mass) under the II scattering (“II”). Dotted line in sky blue is calculated
with the same md* (= 0.57 me) but under the mixed scattering (“M1”). Solid line in blue is for md* of 0.89 me under the mixed scattering (“M2”).
Table 1.
Single parabolic band (SPB) model utilized under different carrier scattering mechanisms.
|
Thermoelectric Parameters
|
Ionized impurity (II)
|
Ionized impurity + Acoustic phonon (Mixed)
|
|
S (Seebeck coefficient)
|
k
B
e
(
4
F
3
3
F
2
-
η
)
2
|
k
B
e
(
2
.
5
F
1
.
5
1
.
5
F
0
.
5
-
η
)
2
|
|
μH (Hall mobility)
|
μ
0
4
.
5
F
3
.
5
3
F
2
|
μ0 |
|
rH (Hall factor)
|
3
F
0
.
5
F
3
.
5
4
F
2
2
|
1
|
|
n (chemical carrier concentration)
|
4
π
(
2
m
d
*
k
B
T
h
2
)
3
/
2
F
0
.
5
|
|
nH (Hall carrier concentration)
|
n
r
H
|
|
L (Lorenz number)
|
(
k
B
e
)
2
15
F
2
F
4
-
16
F
3
2
9
F
2
2
|
(
k
B
e
)
2
21
F
0.5
F
2.5
-
25
F
1.5
2
9
F
0.5
2
|