유지은
(Ji-Eun Yoo)
1
강영민
(Young-Min Kang)
1*
-
한국교통대학교 신소재공학전공
(Department of Materials Science and Engineering, Korea National University of Transportation,
Chungbuk 27469, Republic of Korea)
Copyright © 2020 The Korean Institute of Metals and Materials
Key words
Ni-Zn ferrites, permittivity, permeability, Reflection loss, EM absorption
1. 서 론
최근 스마트폰의 다기능화, 인공지능(AI)과 사물인터넷(IoT) 기술을 접목한 가전 기기의 확대, 자동차 전장화 시장의 성장 등으로 인해 우리 주변에
무선 통신을 사용하는 전자기기가 지속적으로 많아지고 있다. 이들 전자기기에서 방출되는 전자기파(EM)의 인체 유해성은 별도로 하고도 원치 않는 전자기파의
회로내 간섭(EMI)으로 인한 소자의 오작동 및 신호 품질 저하가 산업계에 실질적인 이슈가 되고 있다 [1]. 따라서 전자기파를 적절히 차폐하는 소재에 대한 수요도 꾸준히 증가하고 있다. 전자기파를 차폐하는 방법으로는 반사와 흡수가 있다. 전자기파 차폐능은
차폐재로 입사한 전자기파(PI)와 투과해 나간 전자기파의 전력(PT)의 비로부터 식1과 같이 도출한다 [2,3]. 전자기파가 차폐재로 입사될 때 반사에 의한 감쇄(SER), 흡수에 의한 감쇄(SEA), 차폐재의 내부 반사(SEB)를 합한 것으로 총 차폐가 이루어진다(식2). 금속과 같이 전도성이 우수한 소재의 경우 전자기파의 공기 중 임피던스와 도체 내부의 임피던스의 차이로 표면에서 반사에 의한 차폐 위주가 된다.
그러나 반사파가 회로의 다른 부분과 다시 간섭할 수 있는 여지를 가지고 있어 최근에는 전자기파를 흡수하는 방식의 차폐가 다시 주목을 받고 있다 [1].
전자기파의 흡수 기구(mechanism)로는 도전적인 손실, 유전적인 손실, 자기적인 손실이 있는데 도전적인 손실은 전자파가 도체 내로 입사할 때
순간적으로 미세 전류가 흘러 도체 자체의 저항으로 인해 열로 변환하여 흡수하는 방법이고, 유전적인 손실은 전기쌍극자 진동시 발생하는 감쇠 손실로 복소
유전율의 허수부가 값과 관련이 있다. 전하가 짧은 거리를 진동하는 고주파에서는 도전적인 손실과 유전적인 손실을 같은 흡수 기구로 볼 수 있다. 자기적인
손실로는 강자성 소재의 자구(magnetic domain) 운동에 기인한 손실과 전자 스핀의 회전시 감쇠운동으로 전자기파를 흡수하는 것인데 해당 주파수에서
복소 투자율의 허수부 (μʺ) 값과 관련되어 있다 [1,4-5].
자성 산화물 페라이트 소재 중에서도 스피넬 페라이트는 가격이 저렴하며 자기적 손실 기구에 의해 우수한 전자기파 흡수 특성을 보인다 [6]. 기본 구조식은 MFe2O4이며 M은 2가의 금속이온이다. 이온 반경이 큰 산소이온이 면심입방격자(fcc)를 형성하고, 산소 이온 배치에 따라 8개의 사면체 위치(tetrahedral
site)와 16개의 팔면체 위치(octahedral site)를 형성하며 금속이온이 사면체와 팔면체 내의 격자점에 들어가게 되는데 금속이온이 사면체
자리를 차지하면 정 스피넬(normal spinel), 팔면체 자리에 위치하면 역 스피넬(inversed spinel)이라 하는데 Ni-Zn 페라이트는
정 스피넬 자리에는 Zn 이온이, 역 스피넬 자리에는 Ni 이온이 위치해 있어 두 구조가 혼합된 형태(mixed spinel)이며 구조와 이온의 종류에
따라 자기적 성질이 조절이 가능하다 [7,8]. 스피넬 페라이트 소재는 수 십 년간 직접 회로, 고주파 통신 소재, 센서 등 많은 분야에서 사용되어 왔으며 꾸준한 연구 개발이 이루어 지고 있다
[9,10]. 그 중 입방정계 스피넬 구조를 가지는 Ni-Zn 페라이트는 우수한 연자성 특성으로 원거리 통신기, 마이크로 디바이스, 전자파 흡수체 등으로 응용되어
왔다. 또한 수 ~ 수백 MHz 대역에서 높은 복소투자율 값 (μ = μ′ + jμ″)과 높은 전기 비저항 값을 가지고 있어 해당 주파수 대역에서 EMI 차폐 및 흡수 소재로 활용성이 뛰어나다 [11-15]. Ni-Zn 페라이트는 고상법(solid-state reaction) [16,17], 공침법(co-precipitation method) [18,19], 졸겔법(sol-gel method) [15,20,21] 등 다양한 합성 방법이 있다. 이 중 졸겔법은 배위화합물이 원자간의 결합을 끊어 다원소 화합물을 합성하는데 용이하고, 고상법과 비교했을 때 열처리
온도가 상대적으로 낮고 비교적 단순한 공정으로 나노 사이즈의 결정분말을 얻을 수 있는 장점이 있다. Ni-Zn 페라이트 중 졸겔법을 활용해 합성한
뒤 복합체나 소 결체의 전자파 흡수 특성을 평가한 연구 결과들을 표 1에 정리하였다 [22-27]. 대부분의 실험에서 샘플에 고분자 바인더를 혼합하여 복합화한 후 복소 투자율과 복소 유전율을 측정하였다. 소결체에서는 수~수백 MHz 범위에서
투자율 허수부의 peak을 보이나 나노 결정의 입자들로 제조될 경우 투자율의 크기는 감소하나 수~십 수 GHz까지 활용 가능한 흡수체로서의 특성을
보였다. 고분자와 페라이트 입자의 복합체의 경우 소결체 보다 형상을 쉽게 가공하고 유연한 시트로 제작할 수 있어 실제 제품 적용에 유리하다.
스피넬 페라이트 소재의 자기적 특성에 대한 연구와 전자파 흡수 특성에 대한 많은 연구가 개별적으로 보고되었음에도 고주파에서 자성 특성의 변화와 흡수
특성 간의 상관 관계를 체계적으로 연구한 결과는 찾기가 어렵다. 본 연구에서는 조성 치환에 따른 자기적 특성 변화와 이에 따른 전자기파 흡수 특성의
변화에 대한 상관 관계를 연구하고자 하였다. 본 연구팀에의 선행 연구에서 Ni-Zn 페라이트 (NixZn1-xFe2O4)-에폭시 복합체의 혼합비와 결정화 온도 및 자성 분말의 크기에 따른 고주파 투자율 특성 변화, 그리고 이에 따른 전자기파 흡수 특성을 보고하였다
[28,29]. 또한 고상법으로 합성한 Ni-Zn 페라이트 소결체에 다양한 양이온을 첨가하여 복소 투자율 spectra의 변화를 평가하였는데, 그 중 Co와
Cu을 동시에 첨가하였을 때 효과적인 자기특성과 미세구조의 변화를 얻을 수 있었다 [30]. 본 연구에서는 선행 연구에서 최적화된 공정 조건들로, 곧, 자성 분말의 결정화 온도, 에폭시 함량, 양이온 첨가물 영향에 따른 결과를 바탕으로
Co와 Cu를 동시에 치환한(Ni0.5Zn0.5)1-x-yCoxCuyFe2O4 조성에서 치환 원소에 따른 미세 구조의 변화 고주파 특성 및 전자기파 흡수 특성이 어떻게 변화하는지 체계적으로 연구하였다.
2. 실험방법
2.1 샘플의 제조 과정
졸겔법을 이용하여 스피넬 페라이트 상을 합성하였다. 출발원료는 Ni(NO3)2· 6H2O(99 %), Zn(NO3)2·6H2O(98 %), Fe(NO3)2·9H2O(99+ %)를 사용하여, 양이온의 몰 비가(Ni0.5Zn0.5)1-x-yCoxCuyFe2O4 (x = 0 and y = 0, x = 0.2 and y = 0, x = 0.1 and y = 0.1, x = 0 and y = 0.2)의 4개의 서로 다른 조성으로 화학 양론적으로 맞게 칙량하여 citric acid (C6H8O7· H2O)를 1대 1의 무게비로 넣어 혼합하였다. 혼합된 분말에 최소한의 증류수를 넣어 용해하고, 암모니아수 (NH4OH)를 용액에 첨가하여 PH 7을 맞춘 후 100 °C에서 혼합된 용액이 증발하여 연소 될 때까지 교반시켰다. 연소된 분말을 오븐에 넣고 180
°C에서 24시간 건조시켰다. 건조가 완료된 샘플들을 각각 알루미나 도가니에 담아 1100 °C 공기 중에서 각각 4시간씩 열처리하였다. 열처리가
끝난 각 조성의 스피넬 분말과 고형 epoxy (YD-014, 국도화학)를 9대1 무게비로 혼합 및 분쇄한 후 toroidal 형태인 몰드(내경 3.03
mm, 외경 7.00 mm)에 각각 0.15 g씩 넣고 0.5 ton의 압력을 주어 성형한 뒤 180 °C에서 20분 동안 경화시켰다.
2.2 특성 평과 방법
X-선 회절분석기 (XRD, D8-Adcance, Bruker)를 사용하여 시료의 결정구조를 확인하였고 (타겟: Cu Kα (λ = 0.154056 nm)), 시료의 미세 구조와 입자 크기를 전계방사형 주사 전자현미경(FE-SEM, JSM-7610F, JEOL)을 이용하여
관찰하였다. 소결체-에폭시 복합체의 복소 투자율의 실수부 (μʹ) 및 허수부 (μʺ)와 복소 유전율의 실수부 (ε') 및 허수부 (ε")는 내경 3.04 mm, 외경 7.00 mm, 두께 3 mm 내외로 최종 가공된 toroidal 샘플에 대해 벡터 네트워크 분석기(Vector Network
Analyzer, E50356A, Keysight)를 에어라인 (air-line) 키트 (85052BR03)와 함께 사용하여 0.1~15 GHz 주파수
구간에서 측정하였다.
3. 결과 및 고찰
3.1 결정구조 및 미세구조 평가
그림 1은 Ni0.5Zn0.5Fe2O4의 Ni-Zn 자리에 Co와 Cu가 각각 치환된 조성 (Ni0.5Zn0.5)1-x-yCoxCuyFe2O4 (x = 0 and y = 0, x = 0.2 and y = 0, x = 0.1 and y = 0.1, x = 0 and y = 0.2)를 졸겔법으로 합성 후 공기 중에서 1100 °C로 4시간 열처리한 샘플의 X-선 회절 패턴을 보여준다. 모두 단상의 스피넬 상이 확인됨으로
Co와 Cu가 스피넬 상 내로 잘 치환됨을 알 수 있다. 격자 상수(Å)와 단위셀의 부피(Å3)를 2θ 각을 바탕으로 계산하여 표 2에 나타내었다. Co2+가 x = 0.2, Cu2+ 가 미치환 (y = 0)되었을 때 격자 상수가 가장 크게 얻어졌다. 이는 Co2+의 이온 반경 (0.74 Å)이 Ni2+와 Zn2+의 평균 이온 반경보다 크고 Cu2+의 이온 반경(0.72Å) 보다도 크기 때문이다 [31].
그림 2는 Co와 Cu를 치환한 Ni-Zn 페라이트 샘플들의 1100 °C 열처리 후 촬영한 SEM 사진이다. 그림 2(a)의 Co와 Cu를 치환하지 않은 샘플(x = 0.0 and y = 0.0)의 경우 평균 결정립 크기가 400 nm 정도로 가장 미세하였으며 결정 입자들 간에 서로 떨어져 있는 형태를 보인다. 그림 2(b)의 Co를 치환한 샘플에서는 결정립들이 미치환 샘플과 대체로 유사하나 일부 결정립은 1 μm 이상으로 성장한 것을 알 수 있고 결정립들간 서로 결합하여
clustering을 이루고 있는 형태임을 알 수 있다. 그림 2(c) Co와 Cu가 각각 x = 0.1씩 치환된 경우로 결정립이 성장하고 서로 necking에 의해 연결된 구조를 보이고 결정립들 간에 기공들도 보인다. 그림 2(d)의 Cu를 x = 0.2 치환한 경우 결정립들이 대부분 크게 성장하여 평균 결정립의 크기가 3 μm이며 서로 치밀하게 결합된 형태를 보인다. Co도 입성장에 기여하는
경향이 있으나 Cu의 첨가가 스피넬 결정상의 성장에 주로 기여하는 것으로 판단된다.
3.2 고주파 유전율 및 투자율 특성 평가
그림 3(a)-3(d)은 스피넬 페라이트 분말-에폭시 복합체 샘플의 복소 유전율 (ε', ε")및 복소 투자율 (μ', μ") spectra를 보여준다. 그림 3(a) 유전율의 실수부 (ε') 값은 측정 주파수 범위에서 큰 변화 없이 유지되는 형태로, 그 크기는 비치환 조성 (x = 0 and y = 0)일 때 가장 낮은 값(ε' ~ 5.3)을 보이고 Co가 치환되었을 때 (x = 0.2 and y = 0) 소폭 상승하며 Cu 가 치환되었을 때 (x = 0 and y = 0.2)) 더 크게 증가함을 알 수 있다. 그림 3(b)의 유전율 허수부 (ε") 값은 조성에 관련 없이 거의 0 ~ 0.2 범위로 낮은 값을 보이는데 이는 스피넬 페라이트의 높은 절연 특성과 관련이 있다. 10 GHz 이상에서의
보이는 peak들은 측정 노이즈로 판단된다. 그림 3(c)의 투자율의 실수부 (μ') spectra는 측정 주파수 범위에서 지속적으로 감소하는 형태를 공통적으로 보이는데 0.1~1 GHz 정도의 낮은 주파수 범위에서는 비치환 샘플
보다 Cu가 치환된 샘플(x = 0 and y = 0.2)에서 소폭 더 높은 값을 보이고 Co가 치환될수록 높이가 낮아짐을 알 수 있다. 이러한 투자율의 조성에 따른 변화는 자벽(magnetic
domain wall)의 이동에 영향을 미치는 결정입계의 크기와도 관련이 있겠으나 치환에 의한 결정자기 이방성의 변화가 주요한 원인으로 판단된다 [31]. 실제 비치환 (x = 0 and y = 0) 자성 분말과 Cu만 치환 (x = 0 and y = 0.2)된 자성분말의 미세구조상에는 그림 2(a), 2(d))에 확인 되는 바로 매우 큰 차이가 있으나 고주파 μ', μʺ spectra는 모두 크게 변화하지 않았다. 이는 투자율에 기여하는 요소가 거시적 기구인 자벽의 운동과 미시적 기구인 전자의 스핀 운동으로
나눌 수 있는데 GHz 이상 대역의 고주파에서는 자벽의 운동보다는 전자 스핀이 주로 투자율에 기여하기 때문이다 [32]. 또한 Cu 치환 보다는 Co의 치환이 투자율 특성 변화에 주요한 영향을 미치는 것으로 확인되는데, Co가 치환될수록 결정자기이방성이 증가하기
때문이다. 이에 따라 강자성 공명 주파수가 증가하면서 보다 고주파까지 μ' >1을 유지하고 저주파에서의 μ'의 높이 (또는 dc 자장에서의 얻어지는 static 투자율 μ's)는 낮아진다. 그림 3(d)의 투자율 허수부 spectra에서 강자성 공명주파수에 해당하는 peak의 최대점을 보이는 주파수가 Co가 치환될수록 고주파 방향으로 이동해 가는
것을 확인 할 수 있다. 이상의 결과는 아래 식 (3)의 이방성 자계 (Ha)와 강자성 공명 주파수(fr)의 비례 관계와 식 (4)의 Snoek’s limit law로 해석할 수 있다 [33,34].
여기서 γ는 자기회전비 상수이며, MS는 포화자화이다. 이방성 자계(Ha)는 결정자기이방성 상수 K와 비례 관계에 있다. 그림 3에서 얻어진 1 GHz에서 유전율의 실수부 (ε') 값과 허수부 (ε'') 값, 100 MHz에서 투자율의 실수부 (μ′) 값과 투자율 허수부의 최대값 (μ''max)과 그 때의 주파수 값을 (fµ'' max) 표 2에 제시하였다.
3.3 전자기파 흡수 특성 평가
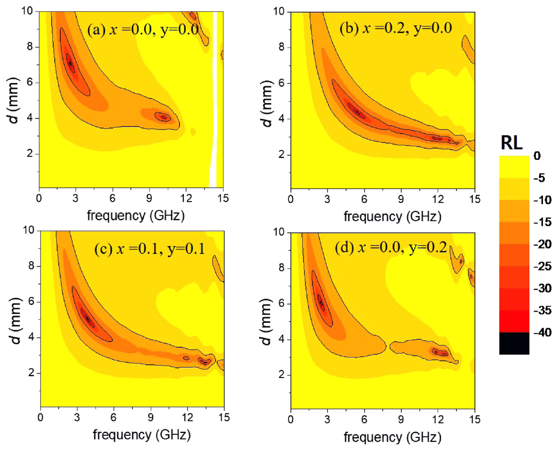
그림 4 (a)–4(d)의 주파수에 따라 측정된 복소 유전율(εr =εʹ - jε″)과 복소 투자율 (μr = μʹ -jμ″) 값으로부터 전자기파 흡수 특성을 나타내는 반사손실 (Reflection loss, RL)을 계산하였고 이를 Fig 5(a)–5(e)에 RL 값을 주파수(f)와 10 mm이하 범위의 두께(d)의 함수인 2차원 map으로 도시하였다. RL의 유전-자성 재료의 흡수능은 전송선 이론 [35]을 기반으로 한 식5, 식6를 통해 반사손실 (RL) 값으로 나타낸다.
여기서 Zin은 재료의 입사 임피던스, Z0는 자유 공간의 임피던스, εr 은 ε' - jε" 로 표현되는 복소 유전율, μr은 μ' - jμ"로 표현되는 복소 투자율, f는 입사 전자기파의 주파수, c는 자유전자의 속도, d는 흡수체의 두께이다. 유전율과 투자율은 두께에 무관한 함수이며, 주파수에 따라 확보한 복소 유전율과 복소 투자율의 실수부와 허수부 값들(εʹ, εʺ,
μʹ, μʺ)과 0에서 10 mm 범위의 d 값을 연속적으로 지정하여 식 (3)에서 Zin/Z0를 얻고 이를 식 (4)에 대입하여 RL spectra를 얻게 된다 [36,37]. RL (dB) 값은 절대값이 큰 음의 값을 가질수록 우수한 흡수능을 갖는다. 높은 흡수능을 보이기 위해서는 전자기파가 흡수체 표면에서 반사가
최소화되어야 하며 흡수체 내에는 유전적 또는 자기적 손실기구가 존재하여야 한다. 그림 4(a)–4(d)에서 바깥쪽 첫 번째 실선 영역은 RL < -10 dB 이하로 90% 이상의 전자기파 에너지를, 두 번째 실선은 RL < -20 dB 이하로 99%
이상, 세번째 실선은 RL < -30 dB로 99.9% 이상 전자기파의 에너지를 흡수할 수 있는 영역을 의미한다. 또한 위 식에 의하면 Zin/Z0가 1에 가까운 값을 가질수록 RL은 큰 음의 값, 곧 높은 전자기파 흡수능을 보이게 된다. 이를 만족하기 위해서는 손실기구와 관련되 유전율의 허수부
(ε"), 투자율의 허수부 (μ") 값 뿐만 아니라 이들 ε', ε", μ', μ" 의 상대적인 크기와 주파수 및 두께 관계도 중요하게 작용한다 [38-40].
그림 4(a)의 비치환 조성에서는 f = 2.6 GHz와 두께 7.0 mm에서 RL < -40 dB의 가장 높은 흡수능이 발생하고 f = 2.6 GHz와 두께 4 mm 부근에서 RL < -30 dB의 두번째 RL 최저점이 존재한다. RL < -10 dB영역은 좌상-우하 방향으로
늘어져서 존재하는데, Co가 치환된 그림 4(b)와 4(c)를 보면 4(a) 보다 고주파 방향으로, 그리고 낮은 두께 방향으로 흡수 영역이 이동해 가는 것을 확인 할 수 있다. 그림 4(d)의 Cu만 (x = 0 and y = 0.2) 치환된 경우 그림 4(a)의 비치환 샘플의 흡수 RL map과 유사하나 RL < -10 dB 영역이 두 곳으로 나뉜 점에서 차이를 보인다.
그림 5(a), 5(b)는 그림 4(a)–4(d)의 RL map상의 첫번째, 두번째 최저 RL point의 두께에서 주파수에 따른 RL spectra를 보여준다. 그림 4의 RL map 상의 RLmin1 및 RLmin2지점에서 가로선을 각각 긋고, 이에 해당하는 RL의 값의 profile을 도출하여 그림 5(a), 그림 5(b)로 나타낸 것으로 볼 수 있다. 치환 조성 x, y에 따른 복합체 샘플들의 첫번째, 두번째 최대 흡수능을 보이는 RL 최저점의 값들과 그 때의 두께와 주파수 값을 표 3에 각각 제시하였다. 그림 5(a)에서 Co만 치환된 (x = 0.2 and y = 0) 샘플은 비치환 샘플 (x = 0 and y = 0) 보다 높은 주파수, 보다 낮은 두께에서 첫번째 (f = 5.4 GHz, d = 4.4 mm, RL = -47 dB) 최대 흡수가 일어남을 알 수 있다. Co의 치환에 따라 전자기파 흡수 주파수가 고주파 방향으로 이동하는
것은 결정자기이방성 증가에 따른 자기적 특성의 변화와 관련이 있다. 자기적 손실과 관련된 μ" spectra (그림 3(d))가 Co치환에 의해 고주파 방향으로 shift하였고, 이에 대응하여 그림 5(a)에서 최대 흡수 주파수 대역이 고주파 방향으로 이동한 것이다. 최대 흡수가 일어나는 최저 RL 점의 두께가 더 얇아진 것은 식 (4) 및 식 (5)에서의
임피던스 매칭 특성과 관련된 것으로, 일반적으로 전자기파의 파장이 짧아 질수록 최적 흡수 두께도 얇아지는 경향을 보인다. Cu와 Co가 함께 치환된
(x = 0.1 and y = 0.1) 경우 첫번째 RL 최저점은 비치환 조성 (x = 0 and y = 0)과 Co가 치환된 (x = 0.2 and y = 0) 조성의 샘플의 중간 정도의 주파수와 두께 값을 보인다 (그림 5(a)). 이 역시 그림 3(d)의 μ" spectra의 최대점의 주파수가 비치환 조성과 Co 치환 조성 (x = 0.2 and y = 0) 샘플의 사이 값을 갖는 것과 관련이 있다. 투자율 spectra에서 비치환 조성과 큰 차이가 없는 Cu 치환 조성 (x = 0 and y = 0.2)의 경우 첫번째 최대 흡수 지점의 f = 2.5 GHz, d = 6.0 mm에서 RL = -40 dB로 그림 4(a) RL map과 그림 5(a)에서 확인할 수 있는 바와 같이 매우 유사한 흡수 특성을 보임을 알 수 있다. 그림 5(a)의 첫번째 RL 최저점에서 얻어지는 최저 반사 손실 값은 모두 RL < -40 dB로 표 1의 타 연구의 결과 보다 비교적 우수한 전자기파 흡수 특성을 보인다. 또한 그림 5(b)의 두번째 최저점에서 얻은 RL spectra에서는 보다 낮은 두께로 광범위한 주파수에서 전자기파 흡수 특성을 보여 실용적 측면에서 중요성이 크다.
특히 Co가 치환된 두 샘플의 경우 (x = 0.1 and y = 0.1, x = 0.2 and y = 0), 3 mm 이하의 두께로 X-band 대역을 포함하는 7~14 GHz의 넓은 범위에서 RL > -10 dB을 만족함을 알 수 있다.
4. 결 론
본 연구에서는 Cu와 Co가 치환된 스피넬 페라이트 분말(Ni0.5Zn0.5)1-x-yCoxCuyFe2O4, (x = 0 and y = 0, x = 0.2 and y = 0, x = 0.1 and y = 0.1, x = 0 and y = 0.2)을 졸겔법으로 합성한 후 후열처리 공정을 통해 제조하였다. 모두 단상의 스피넬상이 얻어졌으며 Cu를 치환할 때 결정립이 매우 크게 성장하는
것을 확인 할 수 있었다. 후열처리한 각각의 조성의 자성 분말들을 epoxy 바인더와 혼합하여 주파수(0.1 ≤ f ≤ 15 GHz)에 따른 복소 유전율 및 투자율을 측정하고, 이 값들 이용하여 전송선 이론을 근거로 반사 손실 (RL)을 도출하여 전자기파 흡수
특성을 평가하였다. 유전율의 실수부 값은 Co 치환보다 Cu의 첨가에 보다 민감하게 변화하였으나 전자기파의 흡수와 관련된 유전율의 허수부 값은 모든
샘플에서 0에 가까운 낮은 값을 보였다. 투자율 값은 주로 Co의 치환에 의존하여 변화하였다. Co가 치환될수록 결정자기이방성의 증가로 인한 투자율의
허수부 peak가 고주파 방향으로 shift하였다. 이에 따라 RL map과 RL spectra에서 나타나는 전자기파의 흡수 특성도 보다 높은 주파수와
낮은 두께 방향으로 이동해 가는 것을 확인할 수 있었다. 이상의 결과에서 Co와 Cu를 함께 치환한 Ni-Zn 페라이트 – polymer 복합체는
고주파 자기 특성 제어를 통한 수 ~ 십 수 GHz 범위 주파수 대역의 전자기파를 흡수체로 매우 유용한 소재라고 할 수 있다. 약 2.4 GHz 대역에서
활용되고 있는 스마트 통신 기기의 RF 모듈, 방송 통신 중 300 MHz~3 GHz 대역에서 활용되고 있는 UHF (Ultra High Frequency),
군사 분야에서 활용되는 X-band 등 다양한 주파수 대역에 맞춰 전자파 흡수체로써의 활용 가치가 높다고 판단된다.
Acknowledgements
본 연구는 2019-2020년도 과학기술정보통신부의 재원으로 한국연구재단 (NRF-2017R1C1B2002394)의 지원과 교육부의 재원으로 한국기초과학지원연구원
국가연구시설장비진흥센터의 지원을 받은 기초과학연구역량강화사업 핵심 연구지원센터 조성 지원 과제에서 열-전기 핵심연구 지원센터 (2019R1A6C1010047)를
조성하여 수행된 연구결과입니다.
REFERENCES
Joseph K., Wilson R., George G., Materials for potential EMI shielding application:
processing, properties and current trends,Elsevier (2019)

Lee C.Y., Song H.G., Jang J.S., Oh E.J., Epstein A.J., Joo J., Synth. Met,102, 1346
(1999)

Saini P., Choudhary V., Singh B. P., Mathur R. B., Dhawan S. K., Mater. Chem. Phys,113,
919 (2009)

Yamaguchi M., Miyazawa Y., Kaminishi K., Kikuchi H., yabukami S., Arai K.I., Suzuki
T., J. Magn. Magn. Mater,268, 170 (2004)

Singh P., Babbar V. K., Razdan A., Puri R. K., Goel T. C., J. Appl. Phys,87, 4362
(2000)

Korolev K. A., Mccloy J. S., Afsar M. N., J. Appl. Phys,111, 07E113 (2012)

Smit J., Wijin H. P. J., Ferrites, Philips’ Technical Library,136-176, Eindhoven (1959)

Chikazumi S., Physics of ferromagnetism,197-221, Clarendon Press (1997)

Gunjakar J., More A., Gurav K., Lokhande C., Appl. Surf. Sci,18, 5844 (2008)

Lassoued A., Lassoued M., Dkhil B., Ammar S., Gadri A., J. Meter. Sci,29, 7333 (2018)

Liu Y., Wei S., Xu B., Wang Y., Tian H., Tong H., J. Magn. Magn. Mater,349, 57 (2014)

Mun K. R., Kang Y. M., J. Korean Magn. Soc,28, 1 (2018)

An S. Y., Kim I. S., Son S. H., Song S. Y., Hahn J. W., J. Korean Magn. Soc,20, 182
(2010)

Wang L., Dong H., Li J., Hua J., Xu S., Feng M., Li H., Ceram. Int,40, 10323 (2014)

Azadmanjiri J., Mater. Chem. Phys,109, 109 (2008)

Ryu Y.-H., Kim S.-S., J. Korea powder Metall. Inst,21, 429 (2014)

Mahmud S. T., Hossain A. K. M. Akther, Abdul Hakim A. K. M., Seki M., Kawai T., Tabata
H., J. Magn. Magn. Mater,305, 269 (2006)

Feng Z., Li D., Wang L., Sun Q., Xing P., An M., Mater. Lett,233, 267 (2018)

Peng X., Peng K., Zhang W., Mater. Res. Bull,100, 138 (2018)

Wang L., Dong H., Li J., Hua J., Xu S., Feng M., Li H., Ceram. Int,40, 10323 (2014)

Albuquerque A., Ardisson J., Macedo W., J. Magn. Magn. Mater,192, 277 (1999)

Zhang M., Liu Q., Zi Z., Dai Y., Zhu X., Sun Y., Dai J., Sci. China. Tech. Sci,56,
13 (2013)

Liu Y., Wei S., Wang Y., Tian H., Tong H., Xu B., Phys. Pro,50, 43 (2013)

Chen N., Gu M., O. J. Mater,2, 37 (2012)

Abbas S., John H., Fraih A., Indian. J. Sci. Tech,10, 1 (2017)

Chu Y., Zhang B., Xiang J., Adv. Mater,631-632, 429 (2013)

Xie J., Han M., Chen L., Kuang R., Deng L., J. Magn. Magn. Mater,314, 37 (2007)

Yoo J.-E., Hong T. W., Kang Y.-M., J. Kor. Magn. Soc,28, 219 (2018)

Yoo J.-E., Kang Y.-M., J. Magn. Magn. Mater,513, 167075 (2020)

Mun K.-R., Kang Y.-M., J. Magn,24, 499 (2019)

Levinson L. M., Electronic Ceramics: Properties: Devices, and Applications,156Marcel
Dekker (1988)

Tsutaoka T., J. Appl. Phys,93, 2789 (2003)

Snoek J. L., Physica,4, 207 (1948)

Nakamura T., J. Appl. Phys,88, 348 (2000)

Naito Y., Suetake K., IEEE Trans. Microw. Theory Tech,19, 65 (1971)

Park M.-H., Kang Y.M., J. Magn. Magn. Mater,491, 165628 (2019)

Lim E.-S., Hong T.W., Kang Y.-M., J. Kor. Magn. Soc,30, 31 (2020)

Lim E.-S., Kang Y.-M., Mater. Today Comm,25, 101411 (2020)

Cho H.-S., Kim S.-S., Korean J. Met. Mater,57, 741 (2019)

Jang P., Korean J. Met. Mater,56, 680 (2018)

Figures and Tables
Fig. 1.
XRD patterns of (Ni0.5Zn0.5)1-x-yCoxCuyFe2O4 (x = 0 and y = 0, x = 0.2 and y = 0, x = 0.1 and y = 0.1, x = 0 and y = 0.2).
Fig. 2.
SEM micrographs of (Ni0.5Zn0.5)1-x-yCoxCuyFe2O4 (x = 0 and y = 0, x = 0.2 and y = 0, x = 0.1 and y = 0.1, x = 0 and y = 0.2) samples annealed at 1100 °C.
Fig. 3.
(a, b) complex permittivity (ε', ε″) and (c, d) complex permeability (μ', μ″) spectra (0.1 GHz ≤ f ≤ 15 GHz) of (Ni0.5Zn0.5)1-x-yCoxCuyFe2O4 particle-epoxy composites.
Fig. 4.
RL map plots as a function of frequency and thickness for (Ni0.5Zn0.5)1-x-yCoxCuyFe2O4 particle-epoxy composites (a) with x = 0 and y = 0, (b) x = 0.2 and y = 0, (c) x = 0.1 and (d) y = 0.1, x = 0 and y = 0.2.
Fig. 5.
RL spectra at the first and second RL minimum points of the (Ni0.5Zn0.5)1-x-yCoxCuyFe2O4 particle-epoxy composites.
Table 1.
EM absorption properties of spinel ferrites - fraction of the magnetic particle in
the polymer composite (fmp), minimum reflection loss (RLmin), thickness (d) and frequency (fRLmin) at the minimum reflection loss [22-27].
|
Composition
|
fmp |
Rlmin (dB)
|
d (mm)
|
fRlmin (GHz)
|
refs
|
|
Ni0.5Zn0.5Fe2O4 |
70 wt%
|
-29.6
|
5
|
6.5
|
[22]
|
|
Ni0.5Zn0.4Mg0.1La0.01Fe1.99O4 |
60 wt%
|
-10
|
3
|
13.7
|
[23]
|
|
Ni0.7Zn0.3Fe2O4 |
70 wt%
|
-24.5
|
2.5
|
8.5
|
[24]
|
|
Ni0.7Zn0.3Y0.2Fe1.8O4 |
70 wt%
|
-34.8
|
2.5
|
8
|
[24]
|
|
ZnFe2O4 |
100 %
|
-15
|
120
|
9
|
[25]
|
|
Ni0.3Cu0.2Zn0.5Fe2O4 |
85 vol%
|
-12.7
|
3
|
13.8
|
[26]
|
|
Ni0.4Co0.2Zn0.4Fe2O4 |
85 vol%
|
-13.2
|
3
|
14.0
|
[26]
|
|
(Ni0.407Co0.207Zn0.386)Fe2O4 |
100 %
|
-58
|
6.5
|
2.6
|
[27]
|
Table 2.
lattice parameter (a), lattice volume (vol.), real part of permittivity (ε') at 1 GHz, imaginary part of permittivity (ε'') at 1GHz, real part of permeability (μ′s) at 100MHz, maximum imaginary part of permeability (μ''max), and the frequency (fμ'' max) at the maximum μ'' of (Ni0.5Zn0.5)1-x-yCoxCuyFe2O4 (x = 0 and y = 0, x = 0.2 and y = 0, x = 0.1 and y = 0.1, x = 0 and y = 0.2) samples.
|
x |
y |
a (Å)
|
Vol (Å3)
|
ε' (@ 1GHz)
|
ε'' (@ 1GHz)
|
μ' (@100MHz)
|
μ''max |
fμ''max (GHz)
|
|
0
|
0
|
8.389
|
590.4
|
5.266
|
0.166
|
7.465
|
2.62
|
0.55
|
|
0.2
|
0
|
8.395
|
591.6
|
5.605
|
0.192
|
4.149
|
1.34
|
1.81
|
|
0.1
|
0.1
|
8.392
|
591.1
|
6.331
|
0.214
|
5.393
|
1.68
|
1.81
|
|
0
|
0.2
|
8.391
|
590.8
|
6.537
|
0.196
|
7.811
|
2.79
|
0.73
|
Table 3.
First and second minimum reflection loss (RLmin1, RLmin2), thicknesses (d1, d2), and the frequenceis at minimum reflection loss points (fRlmin1, fRlmin2) of (Ni0.5Zn0.5)1-x-yCoxCuyFe2O4 particle-epoxy composites.
|
x |
y |
RLmin1 (dB)
|
d1 (mm)
|
fRLmin1 (GHz)
|
RLmin2 (dB)
|
d2 (mm)
|
fRLmin2 (GHz)
|
|
0
|
0
|
-41.6
|
7.0
|
2.62
|
-33.6
|
4.1
|
10.2
|
|
0.2
|
0
|
-46.5
|
4.4
|
5.41
|
-38.4
|
2.9
|
12.1
|
|
0.1
|
0.1
|
-48.2
|
5.0
|
3.88
|
-41.6
|
2.7
|
13.1
|
|
0
|
0.2
|
-40.0
|
6.0
|
2.53
|
-36.7
|
3.3
|
11.9
|