김주훈
(Ju-Hun Kim)
12
이정한
(Jeong-Han Lee)
12
장준호
(Junho Jang)
1
오익현
(Ik-Hyun Oh)
1
홍성길
(Sung-Kil Hong)
2
박현국
(Hyun Kuk Park)
1*
-
한국생산기술연구원
(Korea Institute of Industrial Technology, Gwangju 61012, Republic of Korea)
-
전남대학교신소재공학과
(Division of Advanced Materials Engineering, Chonnam National University, Gwangju 61186,
Republic of Korea)
Copyright © 2020 The Korean Institute of Metals and Materials
Key words
WC-Fe, spark plasma sintering method, microstructure, grain size, mechanical properties
1. 서 론
텅스텐카바이드(WC)는 자동차 및 선박을 포함한 다양한 산업군의 요소부품으로 사용되며, 특히 난삭재를 가공하는 절삭공구 소재로 널리 사용되고 있다.
WC는 고융점 및 고경도의 장점을 갖고 있지만 강한 결합에너지 및 높은 용융온도로 인해 대표적인 난소결성 소재로 분류된다 [1-2]. 이러한 WC의 단점을 보완하기 위해 비교적 용융온도가 낮고 WC에 젖음성이 우수한 다양한 소결조제가 첨가된다. 첨가된 소결조제는 소결온도를 낮추면서
WC 결정립 간에 준 액상으로 분포하여 소결능을 향상시킨다 [2].
소결조제로는 코발트(Co), 철(Fe) 및 니켈(Ni) 등과 같은 소재가 첨가되며, 이 중 Co는 젖음성(Co: 22 wt.%)이 우수하고 WC의
취약한 파괴인성을 향상시켜 대표적인 소결조제로 사용되고 있다 [3-4]. Co는 초기 417 °C까지 HCP 결정구조를 유지하다 그 이상의 온도 및 냉각 후 에는 FCC 결정구조를 유지하게 된다 [5]. 이렇게 유지된 FCC-Co의 경우 HCP-WC(0001)면과의 유일한 정합계면을 형성하게 되고 [6-8] 균열 발생시 정합상 계면에 도달하였을 때 균열은 결정립계 (WC/Co)보다는 WC와 정합 계면을 이루고 상대적으로 슬립이 많이 발생되는 Co의
결정립내로 전파하려는 경향을 갖게 된다. 이로 인해 비교적 연성인 Co는 균열의 선단을 흡수하여 전파를 방해하고 이에 따라 파괴인성이 향상된다고 보고되었다
[6-8].
그러나 Co의 원료단가는 타 소결조제 보다 비싸고 희토류, 및 리튬 등과 같이 향후 수출규제 항목에 포함될 것이라는 보고가 있어 원료단가를 낮추고
기계적 특성을 향상시킬 수 있는 새로운 소결조제에 대한 연구 필요성이 대두되고 있다 [9-10]. Fe는 Co보다 약 30% 낮은 젖음성(Fe: 7 wt%)을 가지지만 기존의 소결조제 보다 원료단가를 낮출 수 있으며, 결정립 성장 또한 제어할
수 있다고 보고되고 있다 [3]. 특히 경도 및 파괴인성은 초경소재의 가장 중요한 기계적 특성으로 간주되며, Hall-petch 식에 의하면 미세 결정립을 형성할수록 경도와 내마모성
등의 기계적 성질이 크게 향상된다고 알려져있다 [11].
따라서, 본 연구에서는 Fe 함량변화에 따라 제조된 WC계 혼합분말을 방전플라즈마 소결법을 이용하여 고밀도의 소결체를 제조하였다. 제조된 소결체의
결정립 분석과 경도 및 파괴인성을 평가하였으며, 기존 연구된 WC계 초경 합금과의 특성을 비교하였다.
2. 실험방법
초기 원료 분말로는 WC 분말 (Taegutec Ltd., 1.0~1.6 µm, 순도 99.95%)과 Fe 분말(Yuelong metal Powder
Co. Ltd, 5~10 µm, 순도 99.5%)을 사용하였다. 그림 1은 초기 분말의 형상을 관찰하기 위해 전계방사형 주사전자 현미경 (FE-SEM)을 이용하여 미세조직을 분석한 결과이다. 그림 1에서와 같이 WC는 불규칙한 형상을 띄고 있으며, Fe 분말의 경우 구 형태의 미세조직을 확인하였다. WC 분말에 5, 10 및 15 wt.%의 Fe를
첨가하였고 수평 볼밀링 공정으로 분말을 혼합하였다. 볼은 지르코니아 볼을 사용하였으며, 볼과 분말의 비율은 2:1의 무게비로 혼합하였다. 밀도차가
큰 WC와 Fe의 균일 혼합을 위해 PCA (에탄올)을 첨가한 습식 볼밀링 공정을 진행하였고, 공정조건은 300 RPM의 속도로 24시간 공정 후
진공오븐을 이용하여 24시간동안 건조하였다.
제조된 분말을 각각 흑연다이 (외경: 30 mmØ, 내경: 10 mmØ, 높이: 40 mmT)에 충진 후 흑연 펀치로 상하부를 밀봉하였다. 흑연 다이를
소결 장치에 장착시킨 후 약 6 Pa의 진공상태에서 60 MPa의 소결압력을 인가하였다. 소결온도는 열화상 카메라(pyrometer)를 이용하여 흑연
다이의 중앙 표면을 관찰하였다. 1차 실험으로 WC-15 wt% Fe의 혼합분말을 이용하여 승온속도 70 °C/min로 약 18분 동안 1300 °C까지
소결을 진행하였고 상대밀도 약 92%의 소결체를 제조하였다. 2차 실험에서는 1차 실험 데이터를 참고하여 급격한 수축변위가 일어난 1100 °C부근에서
5분 유지시켰다. 이 후 목적온도인 1300 °C까지 도달한 후 5분 유지 시키고 소결을 종료하였다. 소결 종료 후 냉각시 600 °C에서 압력을
제거하였다.
소결이 완료된 소결체의 밀도는 아르키메데스법을 이용하여 측정하였다. 소결체의 표면 관찰을 위해 무라카미 부식액 (5 g Fe3(CN)6, 5 g NaOH 및 50 ml의 증류수)으로 약 1분간 표면을 부식시켰다 [12]. FE-SEM을 이용하여 소결체의 미세구조를 분석하였으며, X-선 회절분석기를 통해 상분석을 진행하였다. 소결체의 결정립 크기는 전자 후방 산란
회절분석기 (Electron backscatter diffraction, EBSD)를 통해 분석하였다. 시료 전처리를 위해 제조한 소결체는 총 3회에
걸쳐 (1차 10 °C, 8 Kv, 10분, 2차 8 °C, 6 Kv, 10분, 3차 6 °C, 4 Kv, 10분) 이온밀링을 진행하였다. 결정립
크기 분석은 결정립들이 차지하고 있는 분률 (Area Fraction)과 각 결정립들의 Average Area 값을 도출하여 제조된 소결체의 결정립
크기를 분석하였다. 비커스 경도계를 이용하여 20 kg·f 하중으로 15초간 유지하였으며, 발생된 시편의 압흔 및 균열의 길이를 측정하여 경도 및
파괴인성을 평가하였다.
3. 실험결과 및 고찰
3.1. 방전플라즈마 소결법을 이용한 WC-Fe의 소결특성분석
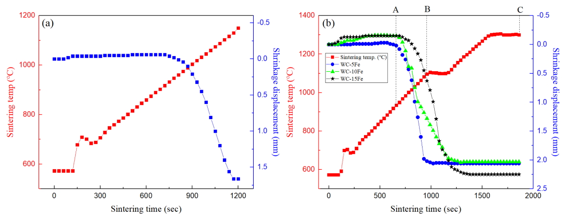
그림 2-(a) 1차 실험과 (b) 2차 실험에서의 소결시간에 따른 소결온도 및 수축길이 변화를 그래프로 나타내었다. 그림 2-(a)의 경우 약 950 °C 부근에서 수축이 시작되었고 1100 °C 온도부근에서 급격한 수축을 관찰하였으며, 앞서 설명한 내용과 같이 약 92%의 상대밀도를
가지는 것으로 분석되었다. 그림 2-(b)의 경우 펄스전류를 인가하고 약 100초 이후부터 Fe 함량변화에 따라 다소 상이한 수축 거동 변위를 나타내었지만 1100 °C 등온하는 소결과정으로
인해 Fe의 함량에 따라 약 2~2.5 mm까지 수축하는 것으로 확인되었다. 초기 팽창 원인으로는 WC (5.5 × 10-6/K), Fe (11.8 × 10-6/K) 및 흑연몰드/펀치 (1.7 × 10-6/K)에 직류펄스전류를 인가함에 따라 발생된 열에 의한 각 소재의 열팽창계수 차이 때문으로 판단된다. 그림 2-(b)의 수축길이 그래프에 나타낸 것과 같이 세 가지 소결체 모두 A지점 (약 900.6 °C)에서 수축이 시작되었고 B지점 (약 1100 °C 부근)에서
공통적으로 급격한 수축이 진행되었다. 최종 소결체의 상대밀도는 Fe의 함량이 증가함에 따라 상대밀도 또한 약 99.2, 99.5 및 100%로 증가하는
경향을 나타내었다.
치밀화에 대한 구동력은 소결압력이나 충격에너지가 커짐에 따라 밀도가 증가한 후 일정한 포화치에 도달한다. 물질의 소성변형은 항복응력 이상에서 발생되므로
치밀한 생성물을 얻기 위해서는 일정 임계치 이상의 압력을 인가해야 되며, 소결에 대한 전체 구동력 FD는 다음 식과 같다.
여기서 ɤ는 계면에너지, Pa는 인가압력, r은 결정립의 반경을 나타낸다.
본 연구와 비교시 소결한 소재는 다르지만 소결 압력이 상대밀도에 미치는 영향을 연구한 전북대학교 손교수 연구팀에 따르면 1000 °C에서 소결하는
도중에 상대압력을 60 MPa에서 100 MPa로 증가함에 따라 상대밀도는 현저히 증가하였다 [13]. 본 연구에서는 소결압력을 60 MPa로 고정하였지만 소성변형이 가능한 임계치 이상의 소결압력을 적용하고 또한 70 °C/min의 빠른 승온속도를
적용함에 따라 원자의 확산을 가속화 하여 [4] 기존 타 소결법 대비 낮은 온도에서 고밀도의 소결체를 제조한 것으로 판단된다.
그림 3은 Fe 함량 변화에 따라 제조된 혼합분말 및 소결체의 XRD 상분석 결과이다. 혼합분말 및 소결체 모두 WC 및 Fe 외 제 2상은 분석되지 않았고
6 Pa의 고진공 상태에서 짧은 소결시간으로 인해 불순물 혼입방지가 가능하였기 때문으로 판단된다. 하지만 그림 3-(b)의 경우 약 27º부근에서 Graphite 상이 관찰되었다. Graphite 상은 WC 내부 탄소활성의 변화로 Graphite 상으로 석출되거나 소결조제
내부로 확산되는 과정에서 3원계 탄화물 (M6C 및 M12C 형태; M: Metallic binder)을 형성할 수 있다. 또한, 소결 시 냉각속도의 차이에 의해서 이러한 제 2상들의 발생 거동이 결정될
수 있다고 보고되고 있다 [14]. 따라서, 그림 3-(b)에서 Graphite 상이 검출 된 원인으로는 WC의 치밀화 과정에서 소결조제 내부로의 상호확산 과정에서의 W와 C 고유의 활성도 차이에 의하여 Graphite
단일 상이 잔류된 것으로 판단되며, 종래의 소결법에 비해 빠른 냉각속도에 따라 3원계의 복탄화물을 형성하지 않고 Graphite 상으로 석출 되는
것으로 확인된다.
그림 4는 WC-Fe 소결체의 함량별 최종 소결체에서의 미세구조 사진을 image_J 소프트웨어를 이용하여 Fe (red)를 나타내었다. 그림 4에서 전체적으로 함량이 증가함에 따라 WC와 Fe가 혼재된 미세조직을 확인 할 수 있었다. 특히 그림 4-(b), 및 (c)의 경우 WC와의 확산이 활발히 진행되어 Fe의 준 액상과 WC의 고체입자들이 동시 확산되어 있음을 확인할 수 있었다. WC보다 소결온도가 낮은 Fe의
준 액상이 형성되면 모세관력이 입자들을 재배열한다. 그리고 용해-재석출이 입자형상변형과 치밀화를 일어나게 한다. 최종적으로는 접촉한 입자 사이에 안정화된
목이 형성되고 최종 치밀화는 고상 골격 (solid skeleton)의 소결에 의존한다. 고용도를 가진 많은 양의 준 액상은 고상과의 확산으로 치밀화를
돕는다 [15]. Fe의 함량이 증가함에 따라 WC와 Fe의 혼재된 상의 분률이 증가하는 경향을 띄었고 이에 최종 치밀화에 영향을 끼쳤다고 판단된다.
3.2. WC 결정립 성장 제어
그림 5는 원료분말과 혼합분말의 입도분석을 나타내었다. 원료분말의 평균 입도 분석 결과 원료분말인 WC 및 Fe의 평균입도는 그림 5-(a) 및 (b)와 같이 약 1.38 및 6.11 µm로 확인되었다. 혼합분말의 입도 분석 결과 Fe 함량이 증가함에 따라 약 2.15 µm에서 최대 3.47 µm까지
증가한 것으로 그림 5-(c ~ e)와 같이 분석되었다. 혼합 분말의 평균 입도가 증가한 원인으로는 밀링 에너지가 낮은 수평 볼밀링 공정을 이용함으로 밀링시 발생되는 합금화 및 미세화는
발견되지 않았고 지르코니아 볼을 사용함에 따라 분말이 파쇄되는 에너지에 도달하지 않았다. 이에 볼밀링 시 단순 균일 혼합과정만을 거침에 따라 WC보다
입도가 큰 Fe의 함량이 증가함에 따라 평균 입도가 증가하는 것으로 분석되었다.
EBSD 분석을 통해 Fe 함량변화에 따라 제조된 WC-Fe 소결체의 결정립 크기를 분석하였고 그림 6에 나타내었다. 5, 10 및 15 wt% Fe가 첨가된 WC의 평균 결정립 크기는 약 0.92, 0.98 및 1.02 µm로 분석되었다. Fe 함량이
증가함에 따라 WC 결정립 성장을 제어할 것으로 예상하였지만 EBSD 분석결과 결정립 크기는 거의 유사한 것으로 분석되었다.
3.3. 제조한 WC-Fe 소결체의 기계적 특성 평가 및 기존 연구와의 비교
그림 7은 WC-Fe 소결체들의 기계적 특성 결과를 나타내었다. 표면 연마된 WC-Fe계 소결체의 경도는 비커스 경도계로 측정하였으며, 압흔 및 전파된 균열
길이를 Antis 식을 통해 파괴인성을 측정하였다 [16].
여기서 E는 탄성계수, H는 경도, P는 하중이며, C는 크랙의 길이를 나타낸다. WC-5, 10 및 15 wt% Fe 탄성계수는 각각 671.7,
647.5 및 623.2 GPa이며, 7회 측정된 값의 최대/최소 값을 제외한 평균 경도 및 파괴인성 값은 WC-5 wt.% Fe가 약 1934 kg·mm2 값으로 최대 경도를 나타내었고 WC-15 wt% Fe가 약 6.88 MPa·m1/2로 최대 파괴인성을 가지는 것으로 분석되었다. 소결조제의 함량이 적을수록 높은 경도값을 가졌지만 소결조제 함량이 증가함에 따라 파괴인성 값이 증가하는
경향을 보였으며, 표 1에 기계적 특성 값을 나타내었다.
파괴인성 향상 거동을 분석하기 위하여 비커스 경도계를 이용해 압흔을 형성한 후, 발생된 균열의 거동을 미세조직으로 분석하였다. 균열은 WC 입자와
수직으로 만나는 경우 결정립내 파괴, 벽개면을 따라 균열이 진행되는 경우는 결정립계 파괴가 이뤄진다 [17]. 그림 8-(a)와 같이 Fe의 함량이 낮은 소결체의 경우 WC 입자의 벽개면을 따라 균열이 진행되는 결정립계 파괴 경향이 다소 많았지만, Fe의 함량이 증가함에
따라 그림 8-(b), 및 (c)와 같이 WC 결정립 내로 확산된 Fe가 균열의 선단을 흡수하여 무뎌지게 하고 이에 따라 파괴인성이 증가한 것으로 판단된다 [17-19].
표 1에서와 같이 방전플라즈마 방법을 이용하여 제조된 WC-5, 10 및 15 wt% Fe 소결체의 상대밀도, 결정립 크기, 경도 및 파괴인성 값을 기존의
소결법으로 제조된 WC계 소재 연구결과와 비교분석 하였다 [20,21]. 선행연구와 비교시 상대밀도, 경도 및 결정립 크기는 우수한 물성을 가졌다. 특히, 동일한 함량을 첨가한 소결조제 특성 비교시 본 연구에서 제조한
WC-10 wt% Fe가 가장 범용적으로 사용되는 WC-10 wt% Co [21]에 비해 약 18% 정도 향상된 경도 값을 가진 소결체를 얻을 수 있었지만 파괴인성 값의 경우 약간 낮은 값이 측정되었다.
4. 결 론
WC와 Fe 분말을 원료로 사용하여 수평 볼밀링 공정을 통해 균일 혼합 공정을 수행하였다. 혼합된 합금 분말을 방전플라즈마 소결법을 이용하여 짧은
시간 내에 치밀한 WC-5, 10 및 15 wt% Fe 조성의 초경합금을 제조하였고, 다음과 같은 결론을 얻었다.
1. WC 및 Fe 원료분말을 수평 볼밀링 공정을 이용하여 균일 혼합과정을 거쳤고 WC-5, 10 및 15 wt% Fe 혼합된 분말의 입도는 각각
약 2.15, 2.91, 및 3.47 µm크기의 혼합분말을 제조하였다.
2. WC-Fe 혼합 분말을 초기물질로 하여 1300 °C의 소결온도에서 60 MPa의 압력과 70 °C/min의 승온속도로 소결을 진행하였으며,
등온구간은 1100 및 1300 °C에서 5분간 유지하였다. 최종적으로 99.2, 99.5 및 100%의 고밀도를 갖는 WC-5, 10 및 15 wt%
Fe 소결체를 약 30분 이내로 단시간에 제조할 수 있었다.
제조된 WC-Fe 소결체의 WC 결정립 크기는 초기 원료 분말(1.0~1.5 µm)과 비교시 결정립 성장이 거의 없는 약 1.02 µm 이하 크기를
가지는 것으로 분석되었으며, 이는 첨가된 Fe가 WC 결정립 계면에 분포하여 WC의 결정립 성장을 제어한 것으로 판단된다.
또한 결정립 성장이 제어된 고밀도의 WC-Fe 소결체는 기존 선행 연구와의 특성과 비교시 우수한 기계적 특성을 가지는 것으로 분석되었으며, 경도의
경우 WC-5 wt% Fe가 약 1934 kg·mm2, 파괴인성의 경우 WC-15 wt% Fe가 약 6.88 MPa·m1/2으로 우수한 특성을 가지는 것으로 분석되었다.
Acknowledgements
본 논문은 한국생산기술연구원 기관주요사업 “생산기술산업선도 핵심기술 개발사업 (1/4) - 현장설비 부착형 극저온 통합가공시스템 개발사업 (KITECH
EO-20-090)”의 지원으로 수행한 연구입니다.
REFERENCES
Lee J. H., Oh I. H., Jang J. H., Hong S. K., Park H. K., J. Alloys compd,786, 1 (2019)

Park H.-K., Lee J.-H., Jang J. H., Oh I.-H., Korean J. Met. Mater,57, 304 (2019)

Lee J. H., Park H. K., Jang J. H., Oh I. H., Met. Mat. Int,25, 268 (2019)

Kim H. C., Ph D. Thesis,15-79, Chonbuk University (2005)

Ericsson T., Acta Metall,14, 853 (1966)

Konyashin I., Hlawatschek S., Ries B., Lachmann F., Dorn F., Sologubenko A., Weirich
T., Int. J. Refract. Met. H,27, 234 (2009)

Xu C., Ai X., Huang C., Int. J. Refract. Met. H,19, 159 (2001)

Xiong J., Yang J.-g., Guo X.-h., Mat. Sci. Eng. A,209, 287 (1996)

El-Eskandarany M. S., Omori M., Ishikuro M., Konno T. J., Takada K., Sumiyama K.,
Hirai T., Suzuki K., Met. Mat. Trans,27A, 4210 (1996)

Imasato S., Kei T., Tetsunori K., Shigeya S., Int. J. Refract. Met. H,13, 305 (1995)

Xie H., Song X., Yin F., Zhang Y., Sci. Rep,6, 31047 (2016)

Haubner R., Kubelka S., Lux B., Griesser M., Grasserbauner M., J. Phys. Ⅳ France,5,
753 (1995)

Kim H. C., Shon I. J., Jung I. K., Ko I. Y., Met. Mater. Int,12, 393 (2006)

García J., Ciprés V. C., Blomqvist A., Kaplan B., Int. J. Refract. Met. H,80, 40 (2019)

Shen Z., Johnsson M., Zhao Z., Nygren M., J. Am. Ceram. Soc,85, 1921 (2002)

Anstis G. R., Chantikul P., Lawn B. R., Marshall D. B, J. Am. Ceram. Soc,64, 533 (1981)

Park H.-K., Lee S.-M., Youn H.-J., Bang K.-S., Oh I.-H., Korean J. Met. Mater,49,
40 (2011)

Jia K., Fischer T. E., Gallois B., Nanostruct. Mater,10, 875 (1998)

Kim B. K., Ha G. H., Lee D. W., J. Mater. Process. Technol,63, 317 (1997)

Shon I. J., Jeong I. K., Ko I. Y., Doh J. M., Woo K. D., Ceram. Int,35, 339 (2009)

Almond E. A., Roebuck B., Mater. Sci. Eng. A,105, 237 (1988)

Figures and Table
Fig. 1.
Micromorphology of WC and Fe raw powders: (a) WC and (b) Fe.
Fig. 2.
Schematic representation of the temperature and shrinkage displacement profile during
SPS process: (a) direct process and (b) holding process.
Fig. 3.
XRD patterns of WC-Fe materials: (a) mixed-powders and (b) sintered-bodies.
Fig. 4.
FE-SEM images of WC-Fe sintered-bodies: (a) WC-5 wt.% Fe, (b) WC-10 wt.% Fe and (c)
WC-15 wt.% Fe.
Fig. 5.
Particle size analysis of the raw and WC-Fe mixed powders: (a) WC, (b) Fe, (c) WC-5wt.%
Fe and (d) WC-10wt.% Fe, (e) WC-15wt.% Fe
Fig. 6.
EBSD analysis of WC-Fe sintered-bodies: (a) WC-5 wt.% Fe (b) WC-10 wt.% Fe and (c)
WC-15 wt.% Fe.
Fig. 7.
Variation of mechanical properties of WC-5, 10, 15 wt.% Fe sintered- bodies.
Fig. 8.
FE-SEM images of crack propagation on sintered-bodies: (a) WC-5 wt.% Fe, (b) WC-10
wt.% Fe and (c) WC-15 wt.% Fe.
Table 1.
Comparison of mechanical/physical properties of WC-Fe sintered in this study with
other literatures.
|
Reference
|
Sintered process
|
Binder content (wt.%)
|
Relative density (%)
|
Grain size (mm)
|
Hv (kg/mm2)
|
K1C (MPa·m1/2)
|
|
[20]
|
HFIHS
|
WC - 10Co
|
98.2
|
4.5
|
1776
|
10.6
|
|
[20]
|
HFIHS
|
WC - 10Fe
|
99.7
|
4.5
|
1814
|
10.4
|
|
[21]
|
HIP
|
WC – 10Co
|
99.5
|
1.9
|
1333
|
13.5
|
|
[21]
|
HIP
|
WC-9.6Ni-Co
|
99.5
|
1.8
|
1180
|
12.5
|
|
This work
|
SPS
|
WC - 5 Fe
|
99.2
|
0.92
|
1934
|
5.31
|
|
|
SPS
|
WC - 10 Fe
|
99.5
|
0.98
|
1869
|
6.87
|
|
|
SPS
|
WC - 15 Fe
|
99.9
|
1.02
|
1862
|
6.88
|