이태경
(Tae-kyung Lee)
12
홍석민
(Seokmin Hong)
2*
김종민
(Jongmin Kim)
2
김민철
(Min-Chul Kim)
2
장재일
(Jae-il Jang)
1*
-
한양대학교신소재공학과
(Department of Materials Science & Engineering, Hanyang University, Seoul 04763, Republic of Korea)
-
한국원자력연구원재료안전기술개발부
(Materials Safety Technology Development Division Korea Atomic Energy Research Institute,
Daejeon 34057, Republic of Korea)
Copyright © 2020 The Korean Institute of Metals and Materials
Key words
reactor pressure vessel, small punch test, ASTM WK61832, charpy impact test, transition temperature
1. 서 론
원자로용기는 중성자 조사로 인한 조사취화 현상으로 인해 가동 중 인성이 감소하고 연성-취성 천이온도가 상승하여, 취성파괴 위험성이 높아지게 된다 [1-5]. 가동 중 교체가 불가능한 원자로용기는 발전소의 사용수명을 결정짓는 핵심 부품으로 사용기간 동안 건전성이 입증되어야 한다. 이를 위해 감시시험을
통해서 원자로 내부에 건전성 평가시편을 미리 장입하여 사용 수명 기간까지의 조사량을 조사취화 시킨 후 평가하는 방식으로 건전성을 입증하고 있다. 발전소의
사용 기간 증가 및 수명 연장에 따라 조사량이 높은 시험편의 평가가 요구되고 있다. 고선량 조사시험편의 경우, 조사 시킬 수 있는 재료의 크기와 수량이
제한적이기 때문에 고선량 조사시편을 제작하는 것이 어렵고, 시편의 높은 방사선량으로 인해 취급에도 제한이 따른다. 이러한 문제들을 해결하고 원자력분야에
활용하기 위해 소형시편을 이용한 시험법들이 연구되고 있다 [6,7].
소형펀치(Small Punch, SP) 시험법은 소형시험편을 이용한 실험 방법 중 하나로 2000년대 초반부터 소형시편을 이용하여 인장, 파괴, 크리프
특성 등 기계적 특성을 평가하기 위한 연구가 많이 수행되었다 [8-13]. 하지만 표준화된 시험 방법의 부재로 연구자들마다 실험 방식 및 데이터 해석의 차이가 있어 원자력발전소에 적용되지 않았다. 최근 유럽 표준화 위원회(CEN
workshop agreement, CWA) 에서는 소형펀치 시험을 표준화하여 활용하기 위한 작업이 진행 중이다 [14]. 그 결과로 ASTM work item WK47431이 작성되었고, 현재는 WK61832로 이어져 표준화가 진행 중이다[15,16]. 표준화 시험방법에서는 시편 크기 및 제작법, 시험 지그 모양 및 규격, 시험 속도 등과 같은 시험 방법에 대해서 규정하고 있으며, 이 것을 바탕으로
한 국제공동연구 ILS1408 (interlaboratory study 1408)를 통해서 소형펀치 시험의 반복성과 재현성을 확인하였다 [17].
초기 표준화 문서인 ASTM WK47431에서는 기존에 많이 연구했던 소형펀치 파단에너지(ESP)를 통해 천이특성을 평가하는 방법을 기술하였다. [18-21]. 그러나 이후 변경된 ASTM WK61832에서는 ESP를 최대 하중(Fm)으로 나눠 얻어낸 정규화된 소형펀치 파단에너지(ENSP)를 사용해 천이특성을 평가하는 것으로 변경되었다. 두 방법 모두 소형펀치 시험으로 얻은 소형펀치 천이곡선과 충격 천이곡선의 상관관계를 경험적으로
비교하는 방법을 통해 천이특성을 평가하고 있다. 하지만 표준화 방법을 통해서 소형펀치 시험을 통해 천이특성을 평가하는 방법은 비 필수 안내사항(non-mandatory
information)으로 상관관계 식을 참고사항으로 제시하였지만, 경험적 비교를 통한 충격시험의 천이 특성을 평가하는 상관관계 계수에 대해서는 언급하지
않았다. 기존에 많은 연구가 수행되었던 ESP를 사용한 천이특성 평가법과는 달리 ASTM WK61832에서 기재된 ENSP를 사용한 천이특성 평가 연구는 여전히 부족한 실정이다. 그리고 소형펀치 시험을 통해 천이특성을 평가하는 방법의 대부분은 충격시험의 연성-취성 천이온도(DBTT:
Ductile-Brittle Transition Temperature)를 평가하는 방법이며, 원자로 압력용기강의 조사취화 천이특성 변화를 평가하기
위해 사용하는 충격시험 흡수에너지가 41J 일 때의 지시온도(T41J)를 평가하는 연구는 부족한 상황이다.
따라서 본 연구에서는 국내 원자로 압력용기강의 천이특성 평가에 소형펀치 시험을 적용하기 위하여, ASTM WK47431와 ASTM WK61832 표준화
방법에서 제시한 ESP와 ENSP를 활용해 충격시험의 DBTT와 T41J 천이온도를 평가하고, ESP 천이특성 평가법과 ENSP 천이특성 평가법을 비교하여 최적의 소형펀치 천이특성 평가법을 선정하고자 하였다.
2. 실험 방법
원자로 압력용기용 Mn-Mo-Ni 저합금강 8종에 대하여 시험을 수행하였다. A1~A6 6종은 한국형 표준 원전의 감시시험 평가를 위한 원자로 압력용기
강 보존재인 SA508 Gr.3 Cl.1강을 사용하였으며, 나머지 A7~A8 2종은 Master curve 시험법 평가를 위해 IAEA 국제공동연구에서
활용되었던 JFL(SA508 Gr.3 Cl.1) 소재와 JRQ(SA533 B1)소재를 사용하였다. 국내 원자로 압력용기강의 경우 조사취화 평가를 위해
두께 방향의 1/4T 지점에서 시편을 채취하였고, 국제공동 연구 시험편은 제공받은 시험편의 1/2T 위치에서 채취하였다.
원자로용기강의 충격시험은 횡단-종단(transverse(T)-longitudinal(L))방향으로 채취한 표준 샤르피 충격시험편을 이용하여 –150
°C~150 °C의 범위에서 ASTM E23에 따라 평가하였다 [22]. 온도별 충격흡수에너지를 하이퍼볼릭 탄젠트(hyperbolic tangent(tanh)) 곡선적합 방법을 사용하여 천이곡선을 구하였다. 이를 통해
최대 흡수에너지 (Upper shelf energy), 연성-취성 천이온도(DBTT), 흡수에너지가 41J 일 때의 지시온도(T41J)를 구하였다.
소형펀치 시험은 ASTM WK61832에 제시되고 ILS1408 국제공동연구에서 사용된 시험방법에 따라 수행하였다 [17]. 소형펀치 시험편의 채취 방향은 단조재인 SA508 Gr.3 Cl.1 강의 경우는 횡단 방향, SA335 B1의 경우는 종단 방향으로 채취하였다.
소형펀치 시편은 지름 8 mm, 두께 0.5 mm의 원판 형태로 가공에 의한 영향을 최소화하기 위해 ILS1408에서 제시한 시편 제작 방법인 0.65
mm 두께로 방전가공(Electrical discharge machining (EDM) cutting) 후 P320~P1200까지 미세 연마를 통해
최종 두께를 맞추었다. 시험에 사용된 소형펀치 시험 지그 모습을 그림 1에 나타내었다. 상부금형(Upper die)과 하부금형(Lower die)으로 구성되어있으며 하부금형의 경우 receiving die bore 지름은
4 mm이며 시편과 접촉 부분에 0.2 mm round edge 형태로 설계하였다. 이때 시편은 하부금형 홀더 중앙에 위치시키고 상부금형과 하부금형을
10 N·m 토크(torque)의 일정한 힘으로 시편을 고정하였다. 그리고 펀치가 상부금형의 홈을 통해서 강구를 눌러줌으로써 시편에 하중을 가할 수
있도록 설계하였다. 강구는 HRC 62~65 값을 가지는 지름 2.5 mm의 강구를 사용하였다. 변형 속도는 0.5 mm/min 로 실험하였고, 펀치의
변위는 접촉식 변위측정 센서(Linear Variable Differential Transformer, LVDT)로 측정하였다. 시험 온도는 상온에서부터
–196 °C 까지 20 °C 간격으로 수행하였다.
3. 실험 결과
원자로 압력용기강들의 온도별 소형펀치 시험 후 하중-변위 곡선을 그림 2에 나타내었다. 시험 온도가 감소함에 따라 변형 시 걸리는 하중이 증가하고 변위가 감소하는 형태를 보였다. 시편 종류에 따라 차이가 있지만 -160
°C 이하로 온도가 내려가면 최대 하중 지점에 도달하기 전에 파단이 나는 것을 볼 수 있었다. 소형펀치 하중-변위 곡선에서 구한 변수 중 재료 천이특성을
평가하기 위한 변수는 대표적으로 소형펀치 파단에너지(ESP) 값이 사용되었다. ESP는 다음 식 (1) 과 같은 방법으로 구하였다.
이때, uf는 파단 시 변위 값으로 하중이 최대 하중 지점의 20% 감소될 때의 변위 값으로 정하였다. 각 시편의 온도별 ESP 값과 ESP 천이곡선을 그림 3에 나타내었다. ESP 천이곡선은 ASTM WK47431에 제안된 다음 식 (2)를 통해 구하였다.
식 (2)는 연성파괴영역(ductile)과 취성파괴영역(brittle)을 구별하여 각 구간별 곡선적합(curve fitting)을 통해 천이구간을 구하는 방법으로
A, B, C는 곡선적합 상수이고 T는 온도를 의미한다 [23]. 충격시험에서는 온도가 감소할수록 흡수에너지가 감소하는 반면에 소형펀치 시험에서는 온도가 내려감에도 불구하고 ESP가 상승하는 것을 볼 수 있었다. 이것은 시험 온도가 감소하면 내부 전위 축적 속도 증가로 인해 가공경화량이 증가하고 소성변형성 감소하는데, 시편
변형에 필요한 하중증가량이 변위 감소량보다 더 크기 때문이다 [21]. -160 °C이하의 온도에서는 최대 하중점에 도달하기 전에 파단이 발생하면서 ESP가 크게 감소하여 급격한 천이거동을 보여주었다. 이러한 ESP를 이용한 천이 곡선의 경우 천이구간을 정확하게 정의하기 어려우며 천이 곡선적합시 연성파괴 구간과 취성파괴 구간을 사용자가 직접 구분하여 곡선적합을
해야 한다. 이번 연구에서는 최대 흡수에너지를 기준으로 연성/취성파괴영역을 나누어서 곡선적합하였다.
최근 개정된 소형펀치 시험 방법인 ASTM WK61832에서는 ESP가 아닌 ENSP 값을 사용하여 소형펀치 천이특성을 평가하는 방법을 제안하였다 [24]. ENSP 는 식 (3)과 같이 ESP 값을 최대 하중 값으로 나누어 구하였다.
각각의 원자로 압력용기 시편의 온도 별 ENSP 값과 ENSP 천이곡선을 그림 4에 나타내었다. ENSP 천이곡선은 WK61832에서 권고한 곡선적합식 (4)를 이용하여 소형펀치 천이곡선을 구하였다 [24,25].
이때 EUS와 ELS는 상부, 하부 ENSP 이고 TSP는 ENSP 천이곡선의 천이온도 지점에 해당한다. 곡선적합식 (4)는 충격시험에서 천이곡선을 구하는 하이퍼볼릭 탄젠트와 같은 식으로, ENSP 천이곡선은 충격시험 천이곡선의 천이거동과 유사한 형태를 나타내었다. 기존 ESP를 이용했을 때와 다르게 상부 ENSP 구간에서 ENSP 값이 일정한 값을 보였으며, 전체 온도 영역으로 단일 곡선적합이 가능하였다. 또한 ENSP 값을 사용 시 데이터의 산란(scatter)이 더 적게 발생하였다. 그러나 소형펀치 시험의 경우에는 -196 °C까지 온도가 감소해도 뚜렷한 하부
ENSP 를 얻을 수 없었다. 따라서 충격시험에서 하부 흡수에너지를 고정하고 천이곡선을 구하는 것과 같이 본 연구에서도 ENSP 하부에너지를 0.1mJ/N으로 고정하여 천이곡선을 구하였다. ENSP 하부 에너지를 0.1mJ/N은 벽개파괴가 지배적으로 나타나고 천이곡선의 중간지점이 되는 온도인 -140 °C에서 측정되는 ENSP 값의 10% 수준으로, ENSP 하부에너지를 0.1mJ/N로 고정하고 천이곡선을 적합했을 때 천이곡선과 실제 실험값이 가장 잘 일치하였다.
4. 고 찰
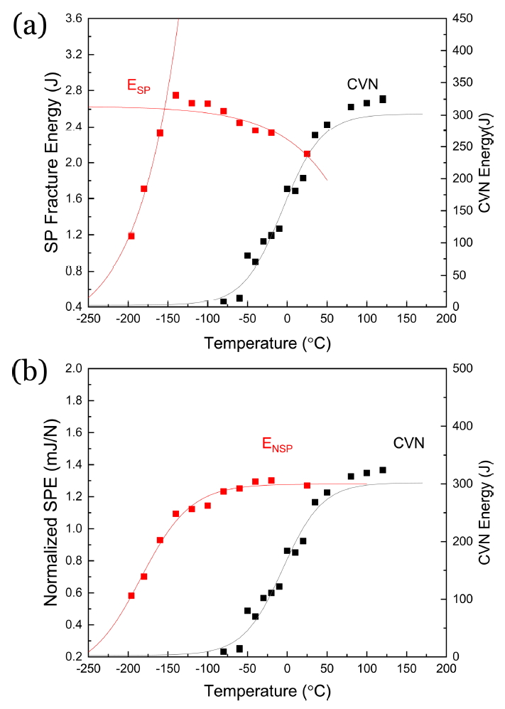
ESP, ENSP 를 활용한 소형펀치 천이곡선과 충격시험 천이곡선을 비교하여 그림 5에 나타내었다. 소형펀치 천이곡선이 충격시험 천이곡선보다 더 낮은 온도에서 연성-취성 천이구간이 나타난 것을 볼 수 있었다. 충격시험과 비교하면 소형펀치
시험은 노치가 없는 얇은 디스크 형태의 시편을 사용하며, 느린 변형속도에서 실험이 수행되었다. 소형펀치 시험과 충격시험간의 천이구간 온도 차이는 시편
크기효과, 노치효과, 변형속도 효과 차이에 의해서 나타난다고 보고되었다 [26]. 기존 소형펀치 실험의 변형속도 영향에 대한 연구에서 변형속도가 빠를 경우 오히려 단열 가열현상이 발생해 천이온도가 더 감소한다고 보고되었다 [27]. 따라서 변형속도 차이로 인하여 소형펀치 시험이 충격 시험보다 천이특성이 낮게 나타난다고 보기 어렵다. 노치가 있을 경우 삼축 응력을 발생시켜
파괴를 더 잘 유발한다고 알려져 있다. 소형펀치 시험의 경우 이축응력 상태로 충격시험과 차이가 있다. 소형펀치 시험에 노치를 가공한 후 천이 특성을
평가한 연구에서도 노치가 깊게 있는 경우의 소형펀치 시험에서 천이온도가 더 높게 나타났지만 충격시험과는 여전히 큰 차이를 보여주었다 [27]. 변형속도 증가 또는 노치를 생성한 소형펀치 실험에서도 충격시험만큼 천이온도를 향상시키는 것은 불가능 했었다 [27]. 소형 충격시험의 경우도 표준 충격시험과 천이곡선의 형태는 비슷하나 흡수에너지는 더 작고 천이온도는 더 낮게 형성되었다[28]. 따라서 소형펀치 시험과 충격시험과의 천이온도 차이는 노치의 유무 차이도 있지만 두 시편의 크기 차이에 의한 구속효과의 영향이 더 크다고 판단된다.
동일한 충격시험에서도 시편 크기 차이로 인해 균열 생성 전, 균열생성, 균열전파 상황에서 노치부의 탄·소성 변형 거동의 차이가 복잡하게 바뀌기 때문에
상부흡수에너지 구역과 충격천이 구간을 동시에 보정할 수는 없었다 [28]. 소형펀치 시험의 경우 충격시험과 시험 방법의 차이, 시편 크기 차이, 노치의 유무 등 실험방법에서 차이가 많기 때문에 이를 정확하게 보정하는
것은 불가능하다. 따라서 기존에 수행된 많은 소형펀치 시험은 ESP 천이곡선을 통해서 충격시험의 천이 특성을 평가하고자 하였다. 소형펀치 천이온도(TSP)와 충격시험 천이온도(CVNDBTT)와의 관계가 선형적 관계임을 이용하여 TSP 와 CVNDBTT간의 경험적 상관성을 평가하고 TSP 로 충격 시험의 천이온도를 평가하는 많은 연구가 수행되었다 [18-21]. 이때 소형펀치 천이온도와 충격시험 천이온도의 관계를 ASTM WK61832에서는 식 (5) 와 같이 표현하였다.
이때 α값은 특정지점의 소형펀치 천이온도 와 충격시험 천이온도의 경험적 상관 계수를 의미한다. 기존 연구에서는 ESP 를 통해 CVNDBTT을 평가할 때 TSP 는 상부 ESP와 하부 ESP 의 중간지점(ESP_DBTT)을 잡아서 평가하는 경우가 많았다 [20,23,24]. 그 외로 충격 시험의 흡수에너지가 41J 일 때의 지시온도(T41J)와 같이 특정 에너지 지점의 천이온도와 SP 천이온도를 연관짓기 위하여 ESP 가 1.2J 혹은 1.0J 같이 특정 파단에너지일 때의 온도를 CVNDBTT, T41J과 비교하기도 하였다 [20,29,30].
이번 연구에서는 소형펀치 시험을 통해서 CVNDBTT와 T41J을 평가하기 위한 최적 TSP 지점을 확인하기 위하여 소형펀치 시험법으로부터 얻은 ESP, ENSP 천이곡선의 천이온도 지점(ESP_DBTT, ENSP_DBTT)과 ESP 천이곡선에서 ESP 값이 0.7인 지점부터 1.7인 지점까지 0.1 간격으로 각 지점별 온도와, ENSP 천이곡선에서 ENSP 값이 0.3인 지점부터 0.8인 지점까지 0.1 간격으로 각 지점별 온도를 모두 측정하였다. 이렇게 구한 소형펀치 천이온도 지점을 CVNDBTT와 비교하여 가장 우수한 상관성을 보이는 소형펀치 천이온도 지점을 평가해 보았다. 그림 6과 같이 각 시편들의 ESP_DBTT와 ENSP_DBTT를 CVNDBTT와 식 (5)를 사용하여 상관관계를 분석하였다. CVNDBTT 가 증가하면 ESP_DBTT, ENSP_DBTT 가 증가하는 선형적 관계를 보여주었다. 식 (5)를 사용하여 곡선적합하여 비교한 결과, 다수의 시편이 신뢰구간 시그마(Sigma) 95% 범위 안에 들어오며 벗어나더라도 신뢰범위에 근접하여 위치하였다.
이와 같은 방법으로 각 지점별 TSP 와 CVNDBTT 의 상관성을 식(5)로 비교하였으며 표 1, 2 에 비교 결과를 나타내었다. ESP를 사용했을 경우 ESP_DBTT 지점과 ESP_1.6J 지점이 결정계수가 큰 차이를 보이지 않았다. ENSP를 활용한 경우 ENSP_DBTT 점이 CVNDBTT 와 가장 높은 상관관계를 보이고 있었으며, 결정계수(R2) 값도 0.73으로 특정 ENSP 지점을 활용했을 경우 보다 더 높은 값을 보여주고 있었다. ESP 와 ENSP 를 비교 할 경우, ESP는 α=0.34 에 결정계수(R2)가 0.53이 나타났지만 ENSP는 α=0.37에 R2 은 0.73으로 나타나 ENSP를 활용했을 때 CVNDBTT와 높은 연관성을 보였다. 따라서 소형펀치 시험을 통해 CVNDBTT를 평가하기 위한 관계식은 식 (6)과 같이 나타낼 수 있었다.
식 (6)을 통해 CVNDBTT 값을 평가 시, 실제 CVNDBTT 값과의 차이는 적게는 3.4K에서 가장 크게는 25.7K정도 차이가 발생했고, 평균 12.2K 의 오차가 발생하였다.
동일한 방법으로 T41J 을 평가하기 위해 각 시편들의 ESP 와 ENSP 의 각 지점별 천이온도와 T41J 를 그림 7 과 같이 식 (5)를 사용하여 상관관계를 분석하였고, 표 3,4 에 비교 결과를 나타내었다. T41J이 증가하면 ESP_DBTT, ENSP_DBTT 가 증가하는 선형적 관계를 보여주었다. 선형 곡선적합 결과도 다수의 시편이 신뢰구간 시그마(Sigma) 95% 범위 안에 들어왔으며, 벗어난 시편의
경우 신뢰도 범위에 근접하여 위치하였다. 표 3,4 에서는 ESP를 사용했을 경우 ESP_DBTT 지점이나 특정 에너지 지점이 큰 차이를 보이지 않았고 ENSP를 활용한 경우 ENSP_DBTT 점이 T41J와 결정계수(R2)가 0.86으로 가장 높은 상관관계를 보였다. 따라서 소형펀치 시험을 통해 T41J을 평가하기 위한 관계식은 식 (7)과 같이 나타낼 수 있었다.
식 (7)을 통해 T41J 을 평가 시, 실제 충격시험의 T41J과의 오차는 최소 0.8K, 최대 16.8K 로 평균 7.8K의 오차가 발생하였고, CVNDBTT 값을 평가할 때보다 오차가 감소한 것을 확인할 수 있었다.
CVNDBTT 값 평가나, T41J 평가 모두 특정지점이 아닌, 소형펀치 시험으로부터 얻은 DBTT 지점(ESP_DBTT, ENSP_DBTT)을 사용할 때 가장 높은 연관성을 보여주었다. 또한 ESP보다 ENSP를 활용하는 것이 천이온도 평가에 더 적합한 것을 볼 수 있었다. 이는 ENSP 천이거동이 충격시험의 천이특성을 잘 반영했기 때문으로 볼 수 있다. 이를 확인하기 위하여 소형펀치 시험 후 시편의 파단면과 파면의 형태를 주사전자현미경
(Scanning electron microscope: SEM)으로 분석해 그림 8에 나타내었다. 상온에서 -80 °C까지 시편은 하나의 주 균열(main crack)이 있는 연성파면을 유지하였다. -100 °C에서는 대부분이 연성파면이지만
파면 안쪽에 취성파면이 나타나기 시작하였다. 온도가 더 내려갈수록 파면 안쪽의 취성파면 영역은 증가하게 되고 온도가 더 낮은 -140 °C에서는 주
균열이 생성될 시 시험편 끝까지 균열이 확장된 확장균열(extended crack) 형태가 관찰되었고 외벽 쪽에 약간의 연성파면을 제외하면 상당량의
취성파면이 형성된 것을 볼 수 있었다. -160 °C 이하의 온도에서는 시편은 확장 균열의 형성뿐만 아니라 주 균열 생성방향과 다른 방향으로 생성되는
2차 균열(secondary crack)의 모습도 관찰할 수 있었다. 이때 파면을 관찰해보면 완전 벽개파괴 형태의 취성파면이 관찰되었다. Boroscope를
통해 원자로용기강의 SP 시험 시 초기 균열 개시 지점을 관찰한 연구에서는 변위 0.3~0.4 mm 정도의 초기 부분에서 초기 균열이 발생하는 것을
관찰하였다 [31,32]. 이러한 초기 균열은 상온에서 -80 °C까지의 온도에서는 연성파면으로 균열이 성장하고 파단이 발생하지만 온도가 낮아지는 -100 °C에서부터
내부는 취성파면이 형성되기 시작하고 -140 °C까지 온도가 낮아질수록 내부의 취성파면은 증가하고 표면 쪽의 연성파면은 감소하였다. -160 °C
이하의 매우 낮은 온도에서는 완전 벽개파면 형태를 보이는 취성파괴가 발생되었다. 취성파괴가 주요 파괴모드로 작용하는 저온에서는 주 균열에서 발생하는
파괴에 대한 저항성이 떨어져 파괴된 SP 시편에서는 주 균열에서 이어진 확장균열이나 2차 균열 형태가 관찰되었다. 앞선 파면분석을 통해 구별한 연성파괴,
연성-취성 천이, 취성파괴 구간을 기존 ESP, ENSP 천이곡선에 함께 표기하여 그림 9에 나타내었다.
ESP 천이곡선의 경우 완전 벽개파면이 나타나는 온도에서만 ESP 값이 감소하고 연성파면과 취성파면이 함께 나타나는 온도에서는 오히려 ESP 값이 증가해 재료의 연성-취성 천이거동과 ESP 천이구간이 일치하지 않았다. 반면 ENSP 천이곡선의 경우 취성파면이 나타나기 시작하는 온도에서 천이구간이 시작되어 천이곡선 거동이 재료의 연성-취성 천이거동을 조금 더 잘 표현하였다. 다른
시험편에 대해서도 파면분석결과와 연성-취성 천이거동을 비교해 봤을 때 같은 경향이 나타났었다. 따라서 기존에 많이 연구가 되었던 ESP를 이용한 천이온도 평가는 재료의 연성-취성 천이거동과 ESP 천이곡선의 천이거동이 일치하지 않는 문제가 있었다. 또한 천이곡선을 구할 시 연성-취성 구간을 구별한 2개의 곡선적합 방법을 통해서 ESP 천이곡선을 구해야 하는데 이때 연성-취성 구간을 구별은 사용자의 주관에 의해 결정되었고, 실험 온도 간격에 의해 연성-취성 구간 설정이 영향을 많이
받는 단점이 존재했었다. 새롭게 바뀐 ENSP 천이곡선은 재료의 천이거동과 더 잘 일치했으며, 충격시험 천이곡선과 같은 하이퍼볼릭 탄젠트 식으로 충격시험 천이거동과 ENSP 천이거동이 유사하게 나타났었다. 또한 전체 온도 구간에 대해서 곡선적합이 가능하기 때문에 사용자의 주관 및 시험 온도 간격에 영향을 받지 않고 천이곡선을
얻을 수 있는 장점이 있었다. 소형펀치 시험을 통해서 충격시험 천이거동을 평가하기 위해서 천이거동은 ENSP_DBTT점이 가장 적합하였다.
5. 결 론
본 연구에서는 표준화 과정의 소형펀치 시험법을 통해 원자로 압력용기강으로 사용 중인 Mn-Mo-Ni 저합금강의 충격시험의 연성-취성 천이온도(CVNDBTT)와 흡수에너지 41J일 때의 지시온도(T41J)을 평가해보고 아래와 같은 결론을 얻어 내었다.
1. 원자로용기강의 소형펀치 천이온도구간은 시험편 크기 감소, 노치의 부재로 인한 삼축응력 소실로 인해 충격 시험의 천이온도구간 보다 매우 낮게 나타난다.
2. 소형펀치 파면분석결과 온도가 낮아지면 파면안쪽부터 연성파면이 취성파면으로 변화했고, 취성파괴가 주도적인 파괴모드로 변화되면 시험편 외관에서는
확장균열 혹은 2차 균열이 관찰되었다.
3. 소형펀치 파단에너지(ESP)를 활용한 소형펀치 천이거동은 파면의 연성-취성 천이거동 온도 구간에서 ESP 값이 증가해 파면의 천이거동과 차이가 있었다. 또한 연성-취성 구역을 나누어 천이곡선을 그리기 때문에 연성-취성 구별 및 시험 온도 간격에 따라
천이곡선의 차이가 나타날 수 있는 단점이 있다.
4. 정규화된 SP 파단에너지(ENSP)를 활용한 소형펀치 천이거동은 충격시험 천이거동과 유사한 형태를 가지며, 파면분석에서 취성파괴가 발생하는 온도에서 천이구간이 시작해 재료의 실제
천이거동과 ENSP 천이곡선이 일치하는 모습을 보여주었다. 또한 시험 온도 간격 및 작업자에 따른 천이곡선 차이를 최소화 할 수 있는 장점이 있었다.
5. 원자로용기강의 충격시험 DBTT, T41J은 소형펀치 시험의 ENSP_DBTT 점에서 가장 높은 선형적 관계를 보여주었다.
Acknowledgements
이 성과는 정부(과학기술정보통신부)의 재원으로 한국연구재단의 지원을 받아 수행된 연구임(2017M2A8A4015156).
REFERENCES
Blach J., Falat L., Sevc P., Eng. Fail. Anal,16, 1397 (2009)

Lee K. H., Jhung M. J., Kim M. C., Lee B.S., Nucl. Eng. Technol,46, 413 (2014)

Nishiyama Y., Onizawa K., Suzuki M., Anderegg J. W., Nagai Y., Toyama T., Hasegawa
M., Kameda J., Acta Mater,56, 4510 (2008)

Nie J., Liu Y., Xie Q., Liu Z., Nucl. Eng. Technol,51, 501 (2019)

Yoon J. H., Lee B. S., Nucl. Eng. Technol,49, 1109 (2017)

Corwin W. R., Haggag F. M., Server W. L., Small Specimen Test Techniques Applied to
Nuclear Reactor Vessel Thermal Annealing and Plant Life Extension,217ASTM international
(1993)

Lee M.-S., Jeon J. B., Jun T.-S., Korean J. Met. Mater,56, 635 (2018)

García T. E., Rodríguez C., Belzunce F. J., Suárez C., J. Alloy. Compd,582, 708 (2014)

Kim J. W., Lee M. Y., Lee S. Y., Korean J. Met. Mater,52, 407 (2013)

Arunkumar S., Met. Mater. Int,26, 719 (2020)

Vivas J., Capdevila C., Altstadt E., Houska M., Sabirov I., San-Martin D., Met. Mater.
Int,25, 343 (2019)

Ha J. S., Fleury E., Int. J. Pre. Ves. Pip,75, 707 (1998)

Lorenzo M., Cuesta I. I., Alegre J. M., Mater. Sci. Eng. A,614, 319 (2014)

CWA 15627, CEN Workshop Agreement, European Committee for Standardization, (2007)

ASTM Work Item number WK47431, Annual Book of ASTM Standards,ASTM international (2016)

ASTM Work Item number WK61832, Annual Book of ASTM Standards,ASTM international (2018)

Brumovsky M., Kopriva R., Proc. of the ASTM 2018 Pres. Ves. Pip. Conf., PVP2018-84142,
(2018)

Baik J.-M., Kameda J., Buck O., Scripta Metall. Mater,17, 1443 (1983)

Contreras M. A., Rodríguez C., Belzunce F. J., Betegön C., Fatigue Fract. Eng. Mater.
Struct,31, 727 (2008)

Turba K., Hurst R., Hähner P., Int J. Pres. Ves. Pip,111, 115 (2013)

Gülçimen B., Durmus A., Ülkü S., Turba K., Hähner P., Int. J. Pres. Ves. Pip,105,
28 (2013)

ASTM E23-18, Annual Book of ASTM Standards,ASTM international (2018)

Altstadt E., Serrano M., Houska M., Garcia-Junceda A., Mater. Sci. Eng. A,654, 309
(2016)

Bruchhausen M., Holmström S., Lapetite J.-M., Ripplinger S., Int J. Pres. Ves. Pip,155,
27 (2017)

Altstadt E., Bergner F., Das A., Houska M., Theor. Appl. Fract. Mec,100, 191 (2019)

Bruchhausen M., Holmström S., Simonovski I., Austin T., Lapetite J. M., Ripplinger
S., de Haan F., Theor. Appl. Fract. Mec,86, 2 (2016)

Adams J., Hurst R. C., Borradaile J. B., Bache M. R., Proc. of the ASTM 2015 Pres.
Ves. Pip. Conf., PVP2015-45373, (2015)

Lucas G. E., Metall. Trans. A,21A, 1105 (1990)

Choi B. C., Oh Y. J., Kim G. M., Hong J. H., J. Kor. Inst. Met. & Mater,39, 165 (2001)

Kim M. C., Oh Y. J., Lee B. S., Nucl. Eng. Des,235, 1799 (2005)

Foulds J. R., Wu M., Srivastav S., Jewett C. W., EPRI Technical. Report. EPRI TR-106638,
(1996)

Sokolov M. A., Landes J. D., Lucas G. E., Small Specimen Test Techniques: 4th volume,
ASTM stock Number: STP1418,365-369, ASTM International (2002)

Figures and Tables
Fig. 1.
Schematic image of SP test apparatus
Fig. 2.
SP force-displacement curves tested at various temperatures: (a) A1 (b) A2 (c) A3
(d) A4 (e) A5 (f) A6 (g) A7, and (h) A8
Fig. 3.
SP transition curves obtained from the SP fracture energy (ESP): (a) A1 (b) A2 (c) A3 (d) A4 (e) A5 (f) A6 (g) A7, and (h) A8
Fig. 4.
SP transition curves obtained from the normalized SP fracture energy (ENSP): (a) A1 (b) A2 (c) A3 (d) A4 (e) A5 (f) A6 (g) A7 and (h) A8
Fig. 5.
Comparison between Charpy impact transition curve and SP transition curve obtained
from the (a) ESP and (b) ENSP
Fig. 6.
Correlation between ductile brittle transition temperatures obtained from the Charpy
impact transition curves and SP transition curves: (a) ESP_DBTT and (b) ENSP_DBTT
Fig. 7.
Correlation between index temperatures T41J obtained from the Charpy impact transition
curves and SP transition curves: (a) ESP_DBTT and (b) ENSP_DBTT
Fig. 8.
Crack images and fracture surfaces of A5 SP specimen fractured at various temperatures:
(a) -80°C, (b) -100°C, (c) -140°C, and (d) -160°C
Fig. 9.
Comparison between ductile-brittle transition behavior distinguished from the fractographs
and SP transition curves obtained from the (a) ESP and (b) ENSP
Table 1.
Linear correlation between CVN DBTT and specific points in SP fracture energy (ESP) transition curve
TSP = α · CVNDBTT [K]
|
ESP (J)
|
Empirical constant α
|
Coefficient of determination R2
|
|
DBTT
|
0.3369
|
0.532
|
|
0.7
|
0.2431
|
0.262
|
|
0.8
|
0.2672
|
0.313
|
|
0.9
|
0.2884
|
0.365
|
|
1.0
|
0.3076
|
0.412
|
|
1.1
|
0.3239
|
0.451
|
|
1.2
|
0.3390
|
0.488
|
|
1.3
|
0.3530
|
0.518
|
|
1.4
|
0.3657
|
0.531
|
|
1.5
|
0.3773
|
0.545
|
|
1.6
|
0.3883
|
0.546
|
|
1.7
|
0.3984
|
0.532
|
Table 2.
Linear correlation between CVN DBTT and specific points in normalized SP fracture
energy (ENSP) transition curve
TSP = α · CVNDBTT [K]
|
ENSP (mJ/N)
|
Empirical constant α
|
Coefficient of determination R2
|
|
DBTT
|
0.3678
|
0.730
|
|
0.3
|
0.2304
|
0.440
|
|
0.4
|
0.2743
|
0.525
|
|
0.45
|
0.2933
|
0.550
|
|
0.5
|
0.3104
|
0.571
|
|
0.55
|
0.3272
|
0.588
|
|
0.6
|
0.3430
|
0.605
|
|
0.7
|
0.3745
|
0.611
|
|
0.8
|
0.4062
|
0.608
|
Table 3.
Linear correlation between CVN T41J and specific points in SP fracture energy (ESP) transition curve
TSP = α · CVNT41J [K]
|
ESP (J)
|
Empirical constant α
|
Coefficient of determination R2
|
|
DBTT
|
0.3834
|
0.682
|
|
0.7
|
0.2778
|
0.359
|
|
0.8
|
0.3050
|
0.424
|
|
0.9
|
0.3290
|
0.490
|
|
1.0
|
0.3506
|
0.550
|
|
1.1
|
0.3690
|
0.600
|
|
1.2
|
0.3860
|
0.640
|
|
1.3
|
0.4000
|
0.675
|
|
1.4
|
0.4161
|
0.690
|
|
1.5
|
0.4291
|
0.698
|
|
1.6
|
0.4415
|
0.688
|
|
1.7
|
0.4529
|
0.663
|
Table 4.
Linear correlation between CVN T41J and specific points in normalized SP fracture energy (ENSP) transition curve
TSP = α · CVNT41J [K]
|
ENSP (mJ/N)
|
Empirical constant α
|
Coefficient of determination R2
|
|
DBTT
|
0.418
|
0.861
|
|
0.3
|
0.2624
|
0.600
|
|
0.4
|
0.3122
|
0.706
|
|
0.45
|
0.3338
|
0.738
|
|
0.5
|
0.3531
|
0.762
|
|
0.55
|
0.3721
|
0.777
|
|
0.6
|
0.3901
|
0.789
|
|
0.7
|
0.4259
|
0.791
|
|
0.8
|
0.4617
|
0.769
|