진승현
(Seung Hyun Jin)
1
임영수
(Young Soo Lim)
1*
-
부경대학교 신소재시스템공학과
(Department of Materials System Engineering, Pukyong National University, Busan 48513,
Republic of Korea)
Copyright © 2020 The Korean Institute of Metals and Materials
Key words
thermoelectric, Cu2Se, phase transition, spark plasma sintering
1. 서 론
열에너지와 전기에너지를 고상소자에서 변환하는 열전기술은 폐열 에너지 활용에서부터 전자 냉각등 다양한 응용 가능성으로 인해 각광을 받아왔다 [1-3]. 열전소자의 에너지변환 효율은 열전소재의 성능지수인 ZT (= S2σT/κ, S는 Seebeck 계수, σ는 전기전도도, T는 절대온도, 그리고 κ는 열전도도)에 의존하며, ZT가 높을수록 우수한 효율을 나타낼 수 있다. 1950년대 Goldsmid에 의한 Bi2Te3의 개발 이래 많은 열전소재들이 연구되어 왔으며 [4,5], 최근 들어서는 Cu2Se에 대한 연구가 활발하게 진행되고 있다. Cu2Se는 비교적 풍부한 저가의 무독성 원소로 구성되어 있으며, 고온 영역 (800~1000 K)에서 우수한 ZT를 나타내어 매우 유망한 열전 재료로 여겨지고 있다 [6-10].
Cu2Se는 400 K 근처의 온도에서 상전이를 하는 물질로, 상온에서 상전이 온도까지는 단사정계(monoclinic)의 결정 구조를 가지는 α-Cu2Se (C2/c) 상이며, 상전이 온도 이상에서는 입방정계 (cubic) β-Cu2Se (F-43m) 구조로 존재한다 [11-14]. 한편, 상온 부근의 온도에서 Cu 결핍상으로 berzelianite가 존재할 수 있으며 이 역시 입방정계 구조를 가지지만 공간군이 Fm-3m으로
고온상인 β-Cu2Se와는 구분되는 상이다 [15-21]. Cu2Se는 상전이 온도 이하에서는 p-형의 축퇴반도체 (degenerate semiconductor) 특성을 나타내며 전하농도가 ~1021/cm3 근처의 매우 높은 값을 가진다. 한편, 고온상인 β-Cu2Se는 초이온전도성 (superionic conduction)을 나타내며, 이는 Se의 체심입방구조 (face-centered cubic, FCC)
부격자 (sublattice) 사이에 Cu 이온이 동역학적으로 무질서하게 (kinetically disordered) 존재하기 때문으로 알려져 있다
[6]. 이러한 Cu 이온은 고온에서 마치 액체와 같은 거동 (liquid-like behavior)를 하여 열전도도를 저감시켜 높은 ZT가 구현될 수 있게 하지만, 동시에 심각한 화학적 불안정성을 야기시켜 Cu의 석출 등이 작동 중에 발생하게 하는 등 극복해야 할 대상이기도하다 [22-24].
Liu 등이 1.5의 매우 높은 ZT를 1000 K의 온도에서 구현한 이래로 Cu2Se의 열전성능을 증진하기 위한 다양한 시도가 이어져왔다 [6]. 이 중에서도 이종원소의 도핑은 전하농도를 제어하여 출력인자를 향상시키는 열전재료 연구에 있어서 매우 전통적인 전략이지만, Cu2Se계에 있어서는 Cu 이온의 이동이 도핑에 의한 격자 뒤틀림 (lattice distortion)에 의해 방해할 수 있어서 Cu2Se의 화학적 불안정성을 일부 완화할 수 있다고 알려져 있다 [23]. 이에 다양한 도핑 원소들이 Cu2Se에 적용되어 열전성능을 향상시켜 왔으나, 아직까지 도핑에 따른 상전이 특성 (phase transition behavior)에 대한 연구는 본격적으로
보고되지 않았다.
본 연구에서는 Zn가 도핑된 Cu2Se의 상전이 특성 및 열전특성에 대해 보고한다. Zn 함량이 증가함에 따라 화학 양론적 조성으로 합성된 Cu2Se의 상온 결정구조가 단사정계 α-Cu2Se와 berzelianite 혼합상에서 단사정계 α-Cu2Se 단일상으로 변화하였다. 전자주개 (donor) 역할을 하는 Zn의 도핑에 따라 정공 (hole) 농도가 감소하였으며, 이에 따른 전기전도도와
Seebeck 계수의 변화를 온도의 함수로 관찰하여 Zn 도핑에 따른 상전이 특성을 평가하였다. Zn 도핑이 비록 출력인자의 향상을 가져오지는 못하였으나,
본 연구에서는 Zn 도핑에 따른 전하농도와 상온에서의 Cu2Se의 결정구조의 관계, 전하 수송특성, 그리고 상전이 온도에 미치는 영향에 대해 자세하게 규명하였다.
2. 실험 방법
(Cu1-xZnx)2Se (x = 0, 0.01, 0.02, 0.03) 분말은 고상합성법에 의해 준비되었으며, 원재료는 Cu (99.9%, Alfa Aesar), Se (99.999%,
5N Plus), Zn (99.995%, Sigma Aldrich)가 사용되었다. 화학량론적으로 칭량된 Cu, Se, Zn 각각의 분말을 섞어준 후
50 MPa의 압력으로 냉간압축(cold pressing)한 후, 이를 석영관에 장입하여 1.5 × 10-2 Torr 정도의 진공도를 유지하면서 밀봉하였다. 이후 823 K (5 °C/min)의 온도에서 24시간 동안 고상합성을 수행 한 후 로냉하였다.
상기와 같이 합성된 ingot을 유발로 분쇄하여 균일한 조성의 분말을 제조하였다. 제조된 분말을 방전 플라즈마 소결 (spark plasma sintering,
SPS)을 이용하여 60 MPa의 압력으로 823 K (100 °C/min)의 온도에서 10분간 소결하였다. 소결체의 상 분석은 X선 회절법 (XRD,
Ultima IV, Rigaku)을 통하여 수행하였으며, 소결체의 미세구조 분석은 전계방사형 주사전자현미경 (Field-emission scanning
electron microscope, FESEM, MIRA 3, Tescan) 을 통하여 수행하였다. 전기전도도와 Seebeck 계수는 4단자법 (ZEM-3,
Ulvac Riko)을 통해 측정하였으며, Hall 계수 측정법 (ResiTest 8300, Toyo Corporation)을 통해 전하수송 특성을
분석하였다.
3. 결과 및 고찰
그림 1은 이상과 같이 제작된 (Cu1-xZnx)2Se 소결체의 XRD 결과를 보여준다. Zn가 도핑되지 않은 시료의 경우 단사정계 (monoclinic, JCPDS #26-1131) Cu2Se 상과 함께 입방정계 (cubic, JCPDS #65-2982) α-Cu2Se 상이 관찰되었다. 그림 1에서 관찰된 입방정계 (Fm-3m) 상은 berzelianite로 알려져 있으며 주로 Cu 결핍형 Cu2-xSe의 조성으로 존재하는데 [16,18-20], 이는 F-43m 공간군을 가지는 고온 입방정계상인 β-Cu2Se과는 구분되는 상이다. Zn 도핑이 증가함에 따라 소결체에서 berzelianite 상은 감소하고 단사정계 α-Cu2Se상이 증가하는데, x = 0.03에서는 α-Cu2Se상과 함께 미량의 ZnSe 이차상 (*로 나타냄)이 관찰되었다. 이러한 조성에 따른 상온상의 분포는 저자들이 기존에 보고한 결과와 유사한 경향성을
보여주는데[25-27], Cu과잉 Cu2+ySe에서 Cu 과잉이 증가함에 따라 berzelianite와 α-Cu2Se 혼합상 (y = 0)에서 α-Cu2Se 단일상으로 변화하는 것을 보고한 바 있다[25]. 이는 과잉 Cu의 추가로 인한 Cu 공공 (Cu vacancy)의 억제와 관련이 있다고 여겨지며 [23], Zn 도핑도 유사한 역할을 하는 것으로 보인다. 이상과 같은 결과로부터, Zn의 농도 범위를 x = 0 ~ 0.03으로 한정하여 실험을 진행하였다.
그림 2는 (Cu1-xZnx)2Se 소결체의 SEM 결과를 보여준다. Zn가 도핑되지 않은 소결체에서는 30 µm 이상 크기의 벽개 면도 관찰되지만, Zn 도핑 농도가 증가함에
따라 20 µm 이하로 결정립의 입성장이 억제된 것이 확연하게 관찰되었다. 이러한 차이를 나타내는 원인으로는 그림 1에서 관찰된 소결체 내에 존재하는 결정립의 결정구조의 차이와 함께 Cu 공공의 역할이 작용했을 가능성이 존재한다. 이는 Zn가 도핑 됨에 따라 Cu
공공의 형성이 억제되어, 이를 매개로 한 물질이동 역시 억제될 수 있기 때문이다 [28].
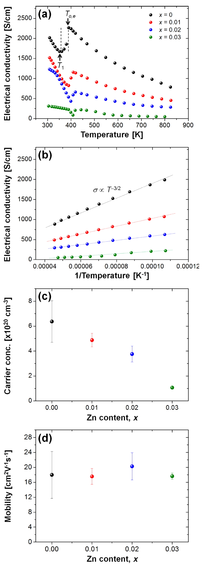
그림 3(a)는 (Cu1-xZnx)2Se 소결체의 온도에 따른 전기전도도를 보여준다. Zn 도핑이 증가함에 따라 전기전도도의 감소가 나타나며, 이는 Zn가 전자주개로 작용하여 정공의
농도를 감소시키고 있음을 잘 보여준다. Zn 도핑의 또 다른 효과로는 그림 1에서 관찰된 바와 같이 Cu 결핍형 berzelianite 상의 감소효과를 들 수 있다. 전술한 바와 같이 berzelianite는 Cu 결핍형으로
존재하며, 이로 인해 생성되는 Cu 공공은 전자받개 (acceptor)로 작용하는데 Zn 도핑에 의해 Cu 공공의 형성이 억제되어 정공의 농도 감소를
유도할 수 있기 때문이다. 이러한 효과는 그림 3(b)의 상온 Hall 측정결과에서 잘 나타난다. Zn가 도핑되지 않은 시료에서는 정공의 농도가 6.4 × 1020/cm3으로 매우 높았으나, Zn 도핑에 따라 지속적으로 감소하여 x = 0.03에는 1.1 × 1020/cm3까지 감소하고 있다. 한편, Cu2Se에서 이동도는 주로 이온화 불순물 산란 (ionized impurity scattering)에 의해 제어된다고 알려져 있으며 [25], 따라서 이러한 Zn 도핑에 따른 정공농도의 감소는 이동도의 상승을 가져와야 한다. 그러나, 그림 3(c)에서처럼 전공농도의 감소에도 불구하고 상온 이동도는 거의 일정한 값을 나타내는데, 이는 이종원소의 도핑에 따른 전하의 합금 산란(alloy scattering)
및 그림 2에서 관찰된 바와 같이 결정립의 크기 감소에 따른 입계 산란 (grainboundary scattering)의 효과에 기인하는 것으로 여겨진다.
또한, 그림 3(a)은 또한 상온상에서 고온상인 β-Cu2Se로의 상전이에 따른 급격한 전기전도도의 변화를 보여준다. To 이상의 온도에서 β-Cu2Se는 그림 3(b)에서처럼 전기전도도의 온도의존성이 음향포논 산란 (acoustic phonon scattering)에 의해 지배를 받는 σ∝T-3/2의 관계를 모든 시료에서 나타내었다. [29]. 따라서, To 이상의 온도에서는 β-Cu2Se로의 상전이가 완료되었다고 볼 수 있다. 이와 같이 전하수송의 관점에서 상전이가 완료된 온도인 To,e를 상전이 온도 (phase transition temperature)로 정의하였다. 상전이 온도 이하에서는 전기전도도가 감소하다가 증가하는 알려진
전하 산란 모형 (charge scattering model)으로는 해석되지 않는 다소 복잡한 관계를 나타내고 있다. 이 온도구간에서 전기전도도가
상전이 발생 이전 최저값을 나타내는 특성온도 T1이 관찰되는데, T1은 상전이에 의해 전하수송특성이 변화하기 시작한 온도로 간주할 수 있다. 따라서 전기전도도의 관점에서 상전이는 ΔTe = To,e – T1의 온도 구간에서 진행된다. 도핑된 Zn의 함량이 높을수록 To,e와 T1이 동시에 증가하며, 상전이 온도구간 (ΔTe)은 Zn 도핑이 증가할수록 감소하는 경향을 나타낸다.
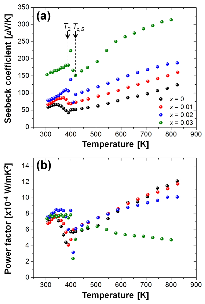
그림 4(a)는 (Cu1-xZnx)2Se 소결체의 온도에 따른 Seebeck 계수를 보여준다. Zn 함량증가에 따라 Seebeck 계수가 증가하며, 이는 아래의 식 (1)에 나타낸 Pisarenko
관계식에 따라 정공 농도의 감소를 나타낸다. 따라서 이 결과는 그림 3(a) 및 (b)에서 관찰된 Zn 함량에 따른 정공 농도의 경향성과 잘 일치한다. 그림 4(b)는 (Cu1-xZnx)2Se 소결체의 온도에 따른 출력인자 (power factor = S2σ)를 보여준다. 상전이 온도 이하에서는 Zn 함량에 따른 큰 차이가 관찰되지 않으나, 800 K이상의 고온에서는 Zn의 함량이 높을수록 출력인자가
감소하며 이는 Zn 증가에 따른 정공의 감소에 기인한 전기전도도의 감소에 따른 것이다. 따라서 Zn 도핑을 통해서 정공 농도의 조절은 가능하였지만
이에 따른 출력인자의 향상은 구현하지 못하였다.
한편, 그림 4(a)에 나타낸 Seebeck 계수의 온도의존성으로부터 Cu2Se의 상전이 거동을 관찰할 수 있다. Zn 함량이 가장 높은 x = 0.03인 시료는 상온에서부터 특성온도 T2까지 온도 증가에 따라 Seebeck 계수가 선형적으로 증가하는 축퇴반도체 (degenerate semiconductor)의 특성을 잘 보여준다.
그러나 T2에서 To,S까지 불연속적인 거동을 보이며, To,S 이상의 온도에서는 Seebeck 계수가 다시 연속적으로 변화하는 특성을 나타낸다. 따라서 Seebeck 계수의 관점에서 상전이는 T2에서 To,S의 온도 구간에서 발생한다고 볼 수 있다. 이러한 거동은 Zn 함량이 높을수록 잘 나타나며, ΔTS = To,S – T2 역시 Zn 함량이 작을수록 커져 그림 3(a)에서 관찰된 상전이 특성과 잘 일치한다.
이상과 같이 그림 3(a)의 전기전도도와 4(a)의 Seebeck 계수의 온도의존성으로부터 측정된 상전이 온도를 그림 5(a)에 나타내었다. 비록 측정에 사용된 물성에 따라 약간의 차이가 있으나, 전체적으로 Zn 함량이 증가함에 따라 상전이 완료온도가 선형적으로 증가하는
것이 관찰된다. 상전이 완료온도는 Zn가 도핑되지 않은 시료에서는 390 K 근처였으며, Zn 함량이 가장 높은 x = 0.03 시료에서는 서로 다른 방법으로 측정된 두 값의 평균은 약 425 K이었다. 그림 5(b)는 Zn 함량에 따른 상전이 시작온도를 나타낸다. 전기전도도로 측정된 특성온도인 T1이 Seebeck 계수로 측정된 특성온도 T2 보다 평균적으로 ~25 K 정도 높은 값을 나타내었으나, Zn 함량이 증가함에 따라 모든 특성온도가 선형에 가깝게 증가하는 것을 알 수 있다. 그림 5(c)는 Zn 함량에 따른 상전이 온도구간 범위를 나타내는데, Zn가 도핑되지 않은 시료에서 상전이가 가장 넓은 온도범위에서 일어나며 Zn 함량이 증가함에
따라 온도구간이 감소하는 것이 확인된다.
이러한 Zn 도핑에 따른 상전이 거동의 차이는 그림 1에서 관찰된 소결체 내부의 상 분율과 관련이 있다. Zn가 도핑되지 않은 시료에서는 단사정계 α-Cu2Se와 berzelianite가 공존하며, Zn 함량이 높아질수록 α-Cu2Se 단일상으로 존재한다. Cu-Se 상태도에 따르면 α-Cu2Se의 β-Cu2Se로의 상전이 온도는 396 K이나, Cu 결핍형 화합물인 berzelianite는 Cu 결핍 정도가 증가할수록 이보다 선형적으로 상전이 온도가
낮아진다 [30]. 본 연구에서 Zn가 도핑되지 않은 Cu2Se의 상전이는 346 ~ 359 K의 온도에서 시작하여 약 390 K의 온도에서 β-Cu2Se의 상전이가 완료되었으며, 이는 상대적으로 낮은 온도에서 상전이를 하는 berzelianite에 의한 것으로 볼 수 있다. 한편, 가장 Zn 함량이
가장 높은 시료에서는 (x = 0.03) 상전이가 387 ~ 412 K에서 시작하여 423 ~ 428 K의 온도에서 완료되는데 이는 berzelianite가 존재하지 않는
단사정계 단일상이기 때문이다. 한편, 본 연구에서 측정된 상전이 온도는 기존에 알려진 α-Cu2Se에 비해 높은 온도를 나타내는데, 이는 Zn 도핑에 의해 상전이 온도가 증가하였음을 보여준다. 그리고 Zn 함량이 증가함에 따라 상전이 온도 범위가
감소하는 것 역시 상전이 온도가 낮은 berzelianite의 존재 유무에 의존하는 것을 알 수 있다.
4. 결 론
본 연구에서는 Zn가 도핑된 (Cu1-xZnx)2Se 화합물의 상전이 거동 및 열전특성에 대해 보고한다. Zn 도핑 함량의 증가에 따라 상온에서의 상은 α-Cu2Se와 berzelianite의 혼합상에서 α-Cu2Se 단일상으로 변화하였다. 또한 Zn 함량 증가에 따라 전기전도도는 감소하며 Seebeck 계수가 증가하였다. 이는 Zn의 전자주개 역할에 기인하지만,
또한 Cu 결핍형 berzelianite의 Cu 공공을 감소시켰기 때문으로도 여겨질 수 있다. Zn 함량 증가에 따라 소결체의 상이 α-Cu2Se 단일상으로 변화하면서 상전이 온도가 증가할 뿐만 아니라, 상전이 시작온도 역시 증가하였으며 이는 상대적으로 낮은 상전이 온도를 가지는 berzelianite
상의 감소에 기인하였다. 또한 상전이 온도 구간도 Zn 함량 증가에 따른 단일상 형성에 따라 축소되는 현상이 관찰되었다. 본 연구를 통해 비록 Zn
도핑에 따른 출력인자의 향상을 구현하지는 못하였으나, 상전이 온도 및 열전 수송특성에 미치는 효과를 자세하게 규명하였다.
Acknowledgements
본 연구는 부경대학교 자율창의연구비(2019년 하반기)의 지원으로 수행되었습니다.
REFERENCES
Riffat S. B., Ma X., Appl. Therm. Eng,23, 913 (2003)

Tritt T. M., Subramanian M., MRS Bull,31, 188 (2006)

Bell L. E., Science,321, 1457 (2008)

Goldsmid H. J., Douglas R. W., Brit. J. Appl. Phys,5, 386 (1954)

Lim Y. S., Song M., Leem S., Seo W. -S., Korean J. Met. Mater,55, 427 (2017)

Liu H., Shi X., Xu F., Zhang L., Zhang W., Chen L., Li Q., Uher C., Day T., Snyder
G.J., Nat. Mater,11, 422 (2012)

Yu B., Liu W., Chen S., Wang H., Wang H., Chen G., Ren Z., Nano Energy,1, 472 (2012)

He Y., Day T., Zhang T., Liu H., Shi X., Chen L., Snyder G.J., Adv. Mater,26, 3974
(2014)

Tan G., Zhao L. -D., Kanatzidis M. G., Chem. Rev,116, 12123 (2016)

Islam S. M. K. N., Li M., Aydemir U., Shi X., Chen L., Snyder G. J., Wang X., J. Mater.
Chem. A,6, 18409 (2018)

Milat O., Vučić Z, Ruščić B., Solid State Ionics,23, 37 (1987)

Gulay L., Daszkiewicz M., Strok O., Pietraszko A., Chem. Met. Alloys,4, 200 (2011)

Chi H., Kim H., C J., Shi G., Sun K., Abeykoon M., Bozin E. S., Shi X., Li Q., Shi
X., Kioupakis E., Van der Ven A., Kaviany M., Uher C., Phys. Rev. B: Condens. Matter
Mater. Phys,89, 195209 (2014)

Lu P., Liu H., Yuan X., Xu F., Shi X., Zhao K., Qiu W., Zhang W., Chen L., J. Mater.
Chem. A,3, 6901 (2015)

Oliveria M., McMullan R. K., Wuensch B. J., Solid State Ionics,28, 1332 (1988)

Danilkin S. A., Skomorokhov A. N., Rajevac V., Hoser A., Fuess H., Bickulova N. N.,
J. Alloy. Compd,361, 57 (2003)

Sakuma T., Sugiyama K., Matsubara E., Waseda Y., Mater. Trans,30, 365 (1989)

Eikeland E., Blichfeld A. B., Borup K. A., Kasper A., Zhao K., Overgaard J., Shi X.,
Chen L., Iversen B. B., IUCrJ,4, 476 (2017)

Machado K. D., Lima J. C. de, Grandi T. A., Campos C. E. M., Maurmann C. E., Gasperini
A. A. M., Souza M., Pimenta A. F., Acta Cryst. B,60, 282 (2004)

Heyding R. D., Murray R. M., Can. J. Chem,54, 841 (1976)

Yamamoto K., Kashida S., J. Solid State Chem,93, 202 (1991)

Brown D. R., Day T., Caillat T., Snyder G. J., J. Electron. Mater,42, 2014 (2013)

Bailey T. P., Hui S., Xie H., Olvera A., Poudeu P. F., Tang X., Uher C., J. Mater.
Chem. A,4, 17225 (2016)

Olvera A., Moroz N., Sahoo P., Ren P., Bailey T., Page A., Uher C., Poudeu P., Energy
Environ. Sci,10, 1668 (2017)

Tak J.-Y., Nam W. H., Lee C., Kim S., Lim Y. S., Ko K., Lee S., Seo W.-S., Cho H.
K., Shim J.-H., Park C.-H., Chem. Mater,30, 3276 (2018)

Kim M. J., Lee G.-G., Kim W., Kim K., Tak J.-Y., Shin W. H., Seo W.-S., Hong J., Lim
Y. S., J. Electron. Mater,48, 1958 (2019)

Tak J.-Y., Lim Y. S., Korean J. Met. Mater,56, 532 (2018)

Geng Z., Shi D., Shi L., Li Y., Snyder G. J., Lam K., J. Materiomics,5, 626 (2019)

Nag B. R., Electron Transport in Compound Semiconductors,174-175, Springer-Verlag
(1980)

Han C., Li Z., Dou S., Chin. Sci. Bull,59, 2073 (2014)

Figures
Fig. 1.
XRD patterns of SPSed (Cu1-xZnx)2Se compounds.
Fig. 2.
FESEM micrographs of fractured surfaces of (Cu1-xZnx)2Se compounds. (a) x = 0, (b) x = 0.01, (c) x = 0.02, and (d) x = 0.03.
Fig. 3.
(a) Temperature-dependent electrical conductivities of (Cu1-xZnx)2Se compounds and (b) their temperature-dependence of T−3/2. (c) Carrier concentration and (d) Hall mobility as a function of x at room temperature.
Fig. 4.
Temperature-dependent (a) Seebeck coefficients and (b) power factors of (Cu1-xZnx)2Se compounds.
Fig. 5.
(a) Phase transition temperature, (b) characteristic temperature and (c) phase transition
range of (Cu1-xZnx)2Se compounds as a function of Zn content, x.