The Journal of
the Korean Journal of Metals and Materials

The Journal of
the Korean Journal of Metals and Materials

Monthly
  • pISSN : 1738-8228
  • eISSN : 2288-8241

Editorial Office


  1. 서울시립대학교, 신소재공학과 (Department of Materials Science and Engineering, University of Seoul, Seoul 02504, Republic of Korea)
  2. 홍익대학교, 신소재공학과 (Department of Materials Science and Engineering, Hongik University, Seoul 04066, Republic of Korea)



Bi2Te3, Cu doping, thermoelectric properties, density-of-states effective mass, thermal conductivity

1. 서 론

열전소재는 형성된 온도차를 직접적으로 전기에너지로 변환할 수 있는 소재로 최근 수 십 년 사이 많은 주목을 받아오고 있다. 여러 열전소재들 중 p-형 Bi-Sb-Te와 n-형 Bi-Te-Se 같은 Bi-Te 계 합금은 상온 근처에서 높은 열전 성능을 보이는 소재로 고상 냉각 기술인 열전냉각 및 폐열을 통한 발전 등에 응용되고 있다 [1,2]. 열전재료의 열전 성능은 무차원 성능지수, zT로 표현되는데 zT는 파워팩터 (전기전도도(σ) × 제벡계수(S)2)에 비례하고, 전체 열전도도 (κtot)에 반비례하는 아래식으로 표현된다 [3].

(1)
z T   =   σ S 2 κ t o t T

재생 에너지 발전에 대한 연구는 한정된 기존 에너지 자원으로 인해 점점 주목을 받고 있다. 또한, 에너지 생성 및 소비 과정에서 전체 에너지의 거의 60%가 폐열로 손실되기 때문에 열전 발전은 효율적인 에너지 사용을 위한 발전 기술로 매우 유리하다 [4]. Bi-Te 계 합금은 상온 범위에서 가장 높은 zT를 나타내며 발전 및 열전냉각 용으로 상용화되었다. 그러나 Bi-Te 계 합금은 100 °C 이상의 온도 범위에서는 낮은 zT값을 가지므로 발전에 적용하는데 제한된다. 그러므로, 100 °C 이상의 넓은 온도 범위에서도 높은 zT값을 보일 수 있는 기술의 개발이 필요하다.

열전소재의 성능을 향상시키기 위해 다양한 소재 개발 전략이 사용되고 있다. 그중 많은 접근 방법이 이뤄지고 있는 것은 결함 구조를 다루는 전략이다 [4]. 그중 도핑을 통한 방법을 통해 효과적으로 Bi-Te 계 합금의 내부에 점 결함을 형성하여 열전도도를 낮추고 전기적 물성을 튜닝하여 zT를 향상시킬 수 있다 [5-7]. p-형 Bi-Te 계 합금에 Cu를 첨가하여 효과적으로 점 결함을 형성하여 열전 성능을 향상시킨 결과가 보고된 바 있다 [8-10]. Cu는 Bi-Te계 합금의 격자구조 층간 삽입 및 Sb 자리에 치환 도핑되어 점 결함을 형성하여 정공 농도를 증대하였다. 이를 통해 전하밀도 튜닝 효과를 통해 전기전도도 증대로 파워 팩터가 향상되는 결과를 보였다. 동시에 소수 전하수송자인 전자의 영향력을 감소시켜 양극성전도를 억제하였다. 추가로 Cu가 Bi0.5Sb1.5Te3 내부에서 효과적으로 포논 산란을 일으켜 격자 열전도도를 감소시켰다. 결과적으로 파워팩터의 증대, 열전도도의 감소가 함께 나타나 효과적으로 zT가 증대된 결과를 보였다. 그러나, 소량의 Cu 첨가만으로도 전하밀도가 크게 변화하여 전기전도도 및 열전도도 등 물성의 변화가 일어나 성능의 차이가 크게 일어나게 된다. 따라서 본 실험에서는 Bi와 Sb의 조성비 변경을 통해 Cu가 첨가된 p-형 Bi-Te 계 합금에 대해 전하밀도의 조절과 추가적인 점 결함 형성으로 열전 성능을 증대시키려 한다. 따라서 본 연구에서는 Bi와 Sb의 조성비 변화와 함께 Cu의 첨가가 이뤄졌을 때의 전기전도도 및 열 전도 거동 변화와 열전특성을 규명하고자 하였다. 이를 위해 제벡계수와 전하밀도를 통해 전자상태밀도 유효질량을 산출했고, 로렌츠 넘버 계산을 통해 격자 열전도도의 변화를 측정하였다.

2. 실험 방법

표준공정인 용융-응고(melt-solidification) 공정을 적용하여 원료 잉곳을 합성하는 방법으로 진행했다. Shot 형태의 고순도 Bi, Sb, Te (5N Plus, 99,999%) 및 Cu (Alfar Aesar, 99.99%)를 CuxBiySb2-yTe3 (x=0, 0.0075, y=0.4, 0.5)의 조성비에 맞게 칭량하였다. 그리고 공정 중 발생하는 Te의 휘발로 인해 야기되는 조성 변화를 최소화하기 위해 Te를 추가로 첨가하였다. 그다음 석영관 (직경 15 mm)에 넣고 진공(~10-4 torr) 상태가 유지될 수 있도록 봉합하였다. 1150 °C에서 10시간 동안 용융 시킨 후, 상온 냉각하여 잉곳 형태의 원료 소재를 제조하였다. 고에너지 볼밀(SPEX 8000D)을 이용하여 얻은 잉곳을 평균 30 µm 크기의 분말로 분쇄 (SUS Ball 직경: 5 mm, 개수: 8개, 분쇄 시간: 5분) 하였다. 최종적으로 분말의 가압소결 (Spark Plasma Sintering, 조건: 60 MPa, 430 °C, 5분)을 진행하여 직경 10 mm, 높이 10 mm의 디스크 형태의 벌크 샘플을 제조했다. 그리고, 범용 측정설비 (ZEM-3, Advanced-Rico)를 이용하여 샘플의 제벡계수와 전기전도도 분석을 진행했다 (가공된 디스크 형태, 측정된 샘플 규격: 3 × 3 × 8 mm3). 샘플이 산화되지 않도록 Helium 분위기 하에서 측정이 이루어졌다.

상형성 거동 파악을 위해 X선 회절 (X-ray Diffraction: XRD, D8 Discover, Bruker) 분석을 진행하였고, 그에 따라 이차상의 존재 여부를 확인한 후 Cu 첨가 및 Bi:Sb 조성비에 따른 격자상수의 변화를 산출하였다. 전체 열전도도는 각 측정 샘플의 밀도, 열용량, 열확산계수의 결과값을 이용하여 산출되었다 (동일한 디스크 형태 샘플을 직경 10 mm, 두께 1 mm로 가공하여 측정, 열전도도 = 밀도 × 열용량 × 열확산계수). 샘플의 질량과 부피를 각각 측정하여 밀도를 계산하였고, 열용량은 PPMS (Physical Properties Measurement System, Quantum Design) 장비를 이용하여 410 K 범위까지 측정하였다. 그리고, 410 K 이상 구간에서의 열용량은 Dulong-Petit 피팅을 이용하여 근삿값을 적용하였다. 레이저 플래쉬 설비 (Laser Flash Analysis, LFA 467, Netzsch)를 이용하여 열확산계수를 측정하였다. 또한 장비 (Hall Effect Measurements System, HMS-5500, Ecopia)를 이용하여 측정된 홀 비저항 (Hall resistivity) 값을 바탕으로, 샘플의 전하밀도와 이동도를 산출하였다.

3. 결과 및 고찰

그림 1(a), (b)은 본 연구에서 합성한 CuxBiySb2-yTe3 (x=0, 0.0075, y=0.4, 0.5) 소결체의 XRD 분석 결과를 나타낸다. Cu를 첨가한 조성 및 Bi와 Sb의 조성비를 변경한 샘플들 전체의 XRD 패턴을 순수 Bi0.5Sb1.5Te3 의 XRD 패턴(#49-1713)과 비교해 보았을 때 Cu의 첨가와 관련된 이차상이 존재하지 않았기에 첨가한 Cu가 Bi/Sb 자리에 치환 또는 층간 삽입되어 단일상을 형성하였음을 확인하였다. 소결 후 샘플들의 배향도를 확인하기 위해 (015)와 (0015)의 회절 세기의 비율, I(0015)/I(015)을 통해 비교하였으며, 각 샘플에 대해 그림 1(a), (b)에 표시하였다 [11]. 모든 샘플들에 대해 배향도가 형성된 것을 확인할 수 있으며, 모든 샘플의 I(0015)/I(015)는 30 % 이내의 값을 가진다. 따라서 Bi와 Sb의 조성비 변화 및 Cu 첨가에 따른 배향도는 차이가 없다는 것을 확인했다.

그림 1(c)에 XRD 패턴으로부터 계산한 격자상수 변화를 보면 Bi의 조성이 y=0.4에서 y=0.5로 증가함에 따라 a축, c축 모두 증가하였다. 이는 Bi3+의 이온반경(117 pm)이 Sb3+의 이온반경(90 pm)보다 크기 때문이다.

그림 2에서 Bi와 Sb의 조성비 변화와 Cu의 첨가에 따른 전기전도도, 제백계수 그리고 파워팩터의 온도에 따른 변화가 나타나있다. 먼저 Cu를 첨가하지 않은 그룹에서 (x, y)=(0, 0.4)에서 (x, y)=(0, 0.5)로 Bi 조성이 증가함에 따라 전기전도도의 감소가 일어난다(그림 2(a)). 300 K에서 (x, y)=(0, 0.4)일 때 전기전도도가 961 S/cm에서 (x, y)= (0, 0.5)로 변했을 때 552 S/cm로 감소하였다. 반대로 제백 계수의 경우 전기전도도와 제벡계수의 상쇄 관계에 의해 (x, y)=(0, 0.5) 조성에서 229 µV/K의 최고값을 나타내고 (x, y)=(0, 0.4)는 보다 낮아진 200 µV/K을 나타냈다. (x, y)=(0, 0.4)에 비해 (x, y)=(0, 0.5) 조성은 band convergence 효과로 인해 제백계수가 증가하였지만[12], 제백계수 증가분 대비 전기전도도의 감소분이 커서 300 K에서 파워팩터는(x, y)=(0, 0.4)일 때 3.84 mW/m-K2에서 2.89 mW/m-K2로 약 25% 감소하였다.

Cu를 첨가한 그룹에 대해서 보면, (x, y)=(0.0075, 0.4), (0.0075, 0.5) 모두 Cu 첨가 전에 비해 전기전도도 값이 더욱 높게 나타나는 것을 확인할 수 있다(각각 약 102%, 193% 증가). 반면에 제백계수는 Cu 첨가 전에 비해 감소하였다. 온도 의존성 측면에서는 온도가 증가함에 따라 제백계수가 점차 증가하는 형태로 제백계수의 거동이 달라졌다. 전기전도도의 증대와 제백계수의 변화로 인해 Cu를 첨가한 조성은 300 K에서 4.0 mW/m-K2 이상의 파워팩터를 보였으며, Cu 첨가 전에 비해 온도 증가에 따른 파워팩터의 감소폭이 줄어들었다.

위와 같은 전기전도 거동이 나타내는 원인을 파악하기 위해 그림 3에 전하밀도 및 이동도와 함께 나타냈다. 그림 3(a)에 나타낸 바와 같이 Cu를 첨가하지 않은 그룹에서 전하밀도는 (x, y)=(0, 0.4)에서 (x, y)=(0, 0.5)로 변함에 따라 감소하였고, 이동도는 거의 변하지 않았다. 이는 Bi와 Sb가 Te 자리에 반자리 결함(anti-site defect)를 형성하여 정공을 생성하는데 Te와 Bi/Sb의 전기음성도 차이에 의해 Bi보다 Sb에 의해 형성되는 정공이 더 많기 때문이다 [13]. 그림 3(b)에 Cu를 첨가한 그룹의 전하밀도와 이동도를 확인해보면 Cu 첨가에 의해 (x, y)=(0.0075, 0.4), (0.0075, 0.5) 모두 전하밀도가 크게 증가하였다. 이는 첨가한 Cu가 Bi/Sb 자리에 치환되어 정공을 생성하였기 때문이다 (CuBi/Sb' h+) [10]. 이동도는 (x, y)=(0.0075, 0.4)의 경우 크게 증가한 전하밀도에 의해 다소 감소하였고 (x, y)=(0.0075, 0.5)의 경우 거의 변하지 않으며, Cu의 첨가로 인한 전하밀도의 변화에 비해 작은 변화를 보였다.

추가적으로 그림 4표 1에 Single parabolic band (SPB) 모델을 적용하여 Cu 첨가 및 Bi와 Sb 조성비 변화에 따른 열전 캐리어 수송능력(Thermoelectric transport)를 분석한 결과를 나타냈다 [8,14]. 먼저, 그림 4(a), (b)에 나타낸 변형 포텐셜(Deformation potential, Edef)은 포논에 의해 발생하는 전하운반자와 포논 간의 상호작용, 즉 포논에 의해 유도된 전하운반자의 산란 정도를 의미하며 Edef가 커질수록 낮은 이동도를 갖는다 [15]. 주 전하인 정공에 관여하는 가전자대(VB)의 Edef를 확인해보면 Cu가 첨가될수록, Bi의 조성이 증가할수록 감소하는 것을 알 수 있으며, 이와 같은 조성의 변화를 통해 포논에 의해 발생하는 정공의 산란을 줄일 수 있다.

다음으로 반도체 소재의 전기전도 특성이 페르미 준위에서 전자상태밀도와 높은연관성이 있다는 점에 착안하여, 전자상태밀도 유효질량을 통해 Bi와 Sb 조성비 변화와 Cu 첨가에 따른 전자구조의 변화 원인을 파악하고자 하였다. 그림 4(c), (d)에 CuxBiySb2-yTe3 (x=0, 0.0075, y=0.4, 0.5) 전체 샘플들의 전자상태밀도 유효질량을 나타냈다. VB의 m*를 살펴보면 Cu를 첨가하지 않은 그룹에서 (x, y)= (0, 0.4) 조성(1.20 m0) 대비 (x, y)=(0, 0.5) 조성(1.10 m0)은 더 작은 m*값을 갖고 Cu를 첨가한 그룹(x=0.0075, y=0.4, 0.5)에서는 Cu 첨가 후 두 조성 모두 m*값이 증가하여 각각 (x, y)=(0.0075, 0.4)가 1.24 m0, (x, y)= (0.0075, 0.5)가 1.12 m0로 증가하였다. m*값은 페르미 준위에서 전자상태밀도의 크기와 직접적으로 관련이 있는 물리인자이기 때문에 m*의 변화는 CuxBiySb2-yTe3 의 전자 구조가 Cu의 첨가 및 Bi와 Sb 조성비 변화에 의해 민감하게 변화함을 의미한다. 또한 Sb 비율의 증가와 Cu의 첨가가 CuxBiySb2-yTe3 소재 내에서 전자구조 변화에 있어 유사한 작용을 하는 것으로 보인다.

위와 같은 SPB 모델을 통한 분석에서 파워팩터는 가중이동도(Weighted mobility, U)에 의존함을 확인할 수 있다. 가중이동도는 전자상태밀도 유효질량과 비축퇴이동도(non-degenerate mobility, µ0)의 곱으로 아래의 식(2),(3)으로 표현된다 [16,17].

(2)
U   =   μ 0   ×   ( m * ) 3 / 2
(3)
μ 0   1 E d e f 2 m * 5 / 2 T 3 / 2

위 식을 통해 최대 파워팩터가 m*Edef의 제곱의 곱에 반비례하는 것을 알 수 있으며 표 1의 값을 통해 확인할 수 있다. 결과적으로, (x, y)=(0.0075, 0.4), (0.0075, 0.5) 두 조성이 Cu의 첨가로 인해 높은 파워팩터를 나타내었다.

Cu의 첨가로 인해 점 결함이 형성되며, Bi와 Sb의 조성비 변화를 통해서도 격자구조 및 결함 변화에 의한 격자진동의 변화로 격자열전도도(κlat)가 감소할 수 있다. 그 원인을 규명하기 위해, 측정한 전체 열전도도(κtot, 그림 5(a), (e))로부터 전자기여분(κelec)과 양극성전도 기여분 (κbp)을 제외하여 κlat를 산출하였다(그림 5(d), (h)). κelec는 아래의 식(4)을 통해서 계산하였다.

(4)
κ e l e c   =   L σ T

L은 로렌츠 넘버로 제벡계수와 L간의 상관관계를 규정한 다음 식(5)를 통해 계산하였다 [18].

(5)
L   =   1 . 5   +   e x p   [ - S 116 ]

Bi0.4Sb1.6Te3 합금이 0.16 eV 미만의 에너지갭을 가지는 narrow-gap 반도체인 것을 감안하면 낮은 온도에서도 열전도에 대한 양극성전도(bipolar conduciton)의 기여(κbp)가 존재할 수 있다 [19]. κbp는 Cu가 첨가될수록, Sb 비율이 증가할수록 감소하였다. 이는 앞의 SPB 모델에서 확인하였듯이 다수 전하운반자인 정공의 영향력, 농도가 증가하고 소수운반자인 전자의 영향력과 농도가 감소하기 때문이다(그림 5(c), (g)).

그림 5(d), (h)에 조성변화에 따른 κlatt의 변화를 나타냈다. Cu가 첨가됨에 따라 격자 열전도도가 증가하는 것을 확인할 수 있었다. Cu 첨가에 의한 이와 같은 κlatt의 변화를 확인하기 위해 Debye-Callaway 모델을 통해 분석하였고 그 값을 표 2에 나타냈다 [20,21]. 포논과 포논 사이의 산란을 의미하는 반전산란인자(Umklapp scattering parameter, U)는 조성비 변화에 따른 질량의 변화와 결정 격자의 부피 변화가 격자의 진동 특성에 미치는 영향을 의미하는 Grünisen 상수의 감소로 인해 y=0.4일 때 1.33×10-17 s에서 y=0.5일 때 1.27×10-17 s로 감소하였다. Cu의 첨가에 의한 κlatt의 변화를 살펴보면, Cu의 점 결함 산란 인자는 1320×10-41 s3로 Pb, In 등 다른 도핑 원소들에 비해 높은 값을 가져 효과적으로 κlatt의 저감이 나타났다 [22,23].

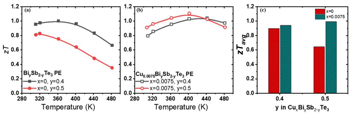
zT의 온도 의존성을 그림 6(a), (b)에 나타냈고 전체 온도 범위에서의 평균 zT그림 6(c)에 나타냈다. Cu0.0075Bi0.5Sb1.5Te3 조성에서 1.11의 최대 zT가 구현되었다 (400 K). 그리고 Cu 첨가에 의해 y=0.4, 0.5 조성 모두 평균 zT가 증대되었다. 그리고 전체 온도 범위에서 0.8 이상의 zT를 나타냈다. Cu가 첨가되지 않은 그룹에서는 y=0.4가 높은 파워팩터 값을 가져 y=0.5에 비해 평균 zT가 39% 높은 값을 갖는다. 따라서 Cu 첨가에 의한 zT 상승은 Bi0.5Sb1.5Te3 조성에서 극대화되었으며, 이는 Cu의 첨가가 (1) 전하밀도의 최적화, (2) 양극성 전도의 감소, 및 (3) 격자열전도 감소의 복합적인 효과를 달성했기 때문으로 보인다. 이를 미루어보면, 연구가 활발히 되고 있지 않은 Bi의 함량이 과도하게 많은 조성의 경우에 Cu를 도핑 하여 최적화할 수 있는 여지를 제공한다. 본 연구에서는 (Bi,Sb)2Te3 합금에 대한 Cu의 첨가가 미치는 전기적, 열적 물성의 변화를 확인하려 하였다. Bi:Sb 조성비 변화와 함께 Cu의 첨가를 통한 점 결함 증대, 그리고 전하밀도의 최적화로 zT값을 증대시키려 하였으나, Bi와 Sb 조성비 변화에 따른 열전도도의 변화가 점 결함보다 포논-포논 간 산란에 의한 영향이 더 지배적으로 일어나 추가적인 격자 열전도도의 감소에는 한계가 있음을 확인하였다.

4. 결 론

p-형 상온 열전 소재인 (Bi,Sb)2Te3 소재 중 가장 많이 연구되고 있는 조성인 Bi0.5Sb1.5Te3 및 Bi0.4Sb1.6Te3 조성의 Cu 첨가에 따른 열전 물성의 변화를 고찰하였다. 전기적 물성 변화의 측면에서 Cu 첨가에 따라 전하밀도와 전자상태밀도 유효질량을 증가시킨다는 결과를 보였고, 이는 Single Parabolic Band 모델을 이용하여 가전자대의 가중 이동도 가 증가하는 것을 확인하여 양극성 전도를 저감하는 것을 증명하였다. 또한, 열전도도의 측면에서 Cu의 첨가에 따라 격자 열전도도와 양극성 열전도도가 저감하는 것을 수 있음을 확인하였다. 격자 열전도도에 대해서, Bi와 Sb의 조성비가 1:1로 근접함에 따라 점 결함 산란인자의 영향이 증가하여 격자 열전도도의 감소가 일어날 것으로 기대하였으나 오히려 반전 산란인자의 영향력으로 인해 Bi 비율이 감소하는 방향으로 격자 열전도도의 감소가 일어났다. 이로써 Bi0.5Sb1.5Te3 및 Bi0.4Sb1.6Te3 조성에서 Cu 첨가가 전기적 물성 및 열전도 물성에 악영향을 미치는 양극성 전도를 저감하는 효과적인 방법임을 실험적 결과를 바탕으로 이론적으로 제시하였다. 결론적으로 미량의 Cu 첨가를 통해 Bi0.5Sb1.5Te3 조성의 zT를 0.8에서 1.1로 37%가량 증대하였으며, 1.0의 가장 높은 zT를 나타내는 Bi0.4Sb1.6Te3 조성의 경우에도 1.05로 상승 5% 상승시켰다.

Acknowledgements

This work was supported by Samsung Research Funding & Incubation Center of Samsung Electronics under Project Number SRFC-MA1701-05.

REFERENCES

1 
Stordeur M., Phys. Status Solidi B,161, 831 (1990)Google Search
2 
Lee K. H., Kim J.-Y., Choi S.-M., J. Korean Ceram. Soc,52, 1 (2015)Google Search
3 
Snyder G. J., Toberer E. S., Nat. Mater,7, 105 (2008)Google Search
4 
Kim S., Lee H. S., Met. Mater. Int,25, 528 (2019)Google Search
5 
Toberer E. S., Baranowski L. L., Dames C., Annu. Rev. Mater. Res,42, 179 (2012)Google Search
6 
Toberer E. S., Zevalkink A., Snyder G. J., J. Mater. Chem,21, 15843 (2011)Google Search
7 
Mun H., Choi S.-M., Lee K. H., Kim S. W., ChemSusChem,8, 2312 (2015)Google Search
8 
Cho H.-J., Kim H.-S., Kim M., Lee K. H., Kim S. W., Kim S.-I., J. Electro. Mater,49, 2789 (2020)Google Search
9 
Yoon J. S., Song J. M., Rahman J. U., Lee S., Seo W. S., Lee K. H., Kim S., Kim H.-S., Kim S.-I., Shin W. H., Acta. Mater,158, 289 (2018)Google Search
10 
Kim H. S., Kim S. I, Korean J. Met. Mater,57, 673 (2019)Google Search
11 
Lotgering F. K., J. Inorg. Nucl. Chem,9, 113123 (1959)Google Search
12 
Kim H.-S., Heinz N. A., Gibbs Z. M., Tang Y., Kang S. D., Snyder G. J., Mater. Today,20, 452 (2017)Google Search
13 
Horák J., Čermák K., Koudelka L., J. Phyr. Chm. Solids,47, 805 (1986)Google Search
14 
May A.F., Snyder G.J., Materials, Preparation, and Characterization in Thermoelectric,11CRC Press (2012)Google Search
15 
Wang H., Pei Y., LaLonde A. D., Snyder G. J., PNAS,109, 9705 (2012)Google Search
16 
Slack G. A., Ch. 34, CRC Handbook of Thermoelectrics,CRC Press (1995)Google Search
17 
Herring C., Vogt E., Phys. Rev,101, 944 (1957)Google Search
18 
Kim H.-S., Gibbs Z. M., Tang Y., Wang H., Snyder G. J., APL Materials,3, 041506 (2015)Google Search
19 
Gibbs Z. M., Kim H.-S., Wang H., Snyder G. J., Appl. Phys. Lett,106, 022112 (2015)Google Search
20 
Callaway J., Phys. Rev,113, 1046 (1959)Google Search
21 
Kim H.-S., Kim S.-I., Lee K. H., Kim S. W., Snyder G. J., Phys. Status solidi B,254, 1600103 (2017)Google Search
22 
Kim H.-S., Lee K. H., Yoo J., Youn J., Roh J. W., Kim S.-I., Kim S. W., Materials,10, 763 (2017)Google Search
23 
Kim H.-S., Lee K. H., Yoo J., Shin W. H., Roh J. W., Hwang J.-Y., Kim S. W., Kim S.-I., J Alloys Compd,741, 869 (2008)Google Search

Figures and Tables

Fig. 1.

X-ray diffraction patterns of (a) BiySb2-yTe3 and (b) Cu0.0075BiySb2-yTe3 with y=0.4, 0.5. (b) Calculated lattice parameters a and c of CuxBiySb2-yTe3 with x=0, 0.0075, y=0.4, 0.5.

../../Resources/kim/KJMM.2020.58/kjmm-2020-58-6-439f1.jpg
Fig. 2.

(a) (b) the measured electrical conductivity σ, (c) (d) Seebeck coefficient S, and (e) (f) power factor σS2 of the samples as a function of temperature for the CuxBiySb2-yTe3 with x=0, 0.0075, y=0.4, 0.5.

../../Resources/kim/KJMM.2020.58/kjmm-2020-58-6-439f2.jpg
Fig. 3.

(a) (b) Estimated carrier concentrations and mobilities from the Hall measurement for the CuxBiySb2-yTe3 with x=0, 0.0075, y=0.4, 0.5.

../../Resources/kim/KJMM.2020.58/kjmm-2020-58-6-439f3.jpg
Fig. 4.

(a) (b) Deformation potential, (c) (d) effective mass for valence and conduction band (VB and CB) of the CuxBiySb2-yTe3 with x=0, 0.0075, y=0.4, 0.5.

../../Resources/kim/KJMM.2020.58/kjmm-2020-58-6-439f4.jpg
Fig. 5.

(a) The total thermal conductivity κtot, (b) the electronic thermal conductivity κelec, (c) the bipolar thermal conductivity κbp, and (c) the lattice thermal conductivity κlatt of the CuxBiySb2-yTe3 with x=0, 0.0075, y=0.4, 0.5.

../../Resources/kim/KJMM.2020.58/kjmm-2020-58-6-439f5.jpg
Fig. 6.

Temperature dependence of the dimensionless figure of merit zT of (a) (b) the CuxBiySb2-yTe3 with x=0, 0.0075, y=0.4, 0.5. (c) zTavg of the CuxBiySb2-yTe3 with x=0, 0.0075, y=0.4, 0.5.

../../Resources/kim/KJMM.2020.58/kjmm-2020-58-6-439f6.jpg
Table 1.

Band parameters obtained using the two-band model.

Band parameter Bi0.4Sb1.6Te3 Bi0.5Sb1.5Te3 Cu0.0075Bi0.4Sb1.6Te3 Cu0.0075Bi0.5Sb1.5Te3
Valence band (VB) VB Edef (eV) 13.8 15.9 13.1 13.9
VB m* (in m0) 1.20 1.10 1.24 1.12
VB μ0 (cm2/Vs) 277 260 289 333
UVB (cm2/Vs) 365 300 399 393
Hole conc. (cm-3) 2.74×1019 1.61×1019 5.97×1019 4.17×1019
Conduction band (CB) CB Edef (eV) 13.0 12.4 12.2 11.9
CB m* (in m0) 0.83 0.83 0.83 0.83
CB μ0 (cm2/Vs) 127 138 145 155
UCB (cm2/Vs) 96.0 104 110 117
Electron conc. (cm-3) 8.55×1016 1.42×1016 2.96×1016 3.76×1016
A (UVB/UCB) 3.8 2.9 3.6 3.34

[i] Edef = deformation potential

m* = density-of-states effective mass (m0 = electron mass)

μ0 = nondegenerate mobility

U = weighted mobility

A = weighted mobility ratio

Table 2.

Relaxation times considered in the Debye–Callaway model

U (10-18s) PCu (10-41s3) fCu*PCu (10-41s3)
y=0.4 13.3 1320 9.87
y=0.5 12.7 1320 9.87