The Journal of
the Korean Journal of Metals and Materials

The Journal of
the Korean Journal of Metals and Materials

Monthly
  • pISSN : 1738-8228
  • eISSN : 2288-8241

Editorial Office


  1. 한국생산기술연구원 친환경재료공정그룹 (Green Materials & Processes Group, Korea Institute of Industrial Technology (KITECH), Ulsan 44413, Republic of Korea)
  2. 부산대학교 재료공학과 (Department of Materials Science and Engineering, Pusan National University, Busan 46241, Republic of Korea)
  3. 과학기술연합대학원대학교 청정공정 및 시스템공학과 (Department of Green Process & System Engineering, University of Science & Technology (UST), Ulsan 44413, Republic of Korea)



artificial sand, casting, CBAPC binder, flexural strength, moisture resistance

1. 서 론

사형 주조는 저렴한 원료와 가공 비용, 높은 생산 효율성, 대량 생산에서의 우수한 치수 정밀도 등의 다양한 장점으로 자동차, 조선 및 기계 산업의 복잡한 형상을 갖는 금속 부품을 제조하는데 널리 사용되고 있다 [1-3]. 일반적으로 사형 주조에 사용되는 규사 (silica sand)는 풍부한 자원과 저렴한 비용으로 주형을 제조하는데 널리 사용되고 있지만 내화도가 낮고, 주의 높은 용탕 주입 온도 및 주물사 다짐 불량으로 인한 모래 소착 (sand burning), 수축 결함 (shrinkage cavities) 및 기공 (gas cavity) 같은 주조 결함이 발생한다 [4,5]. 주조 공정 중에 주물사의 분쇄로 인해 분진과 산업폐기물에 대한 유리규산이 많이 발생되는 규사의 단점을 해결하기 위한 대안으로 세라믹 성분의 인공사 (artificial sand)에 대한 관심이 더욱 높아지고 있다. 인공사는 규사에 비해 표면적과 주조 결함을 일으키는 불순물 함량이 적고, 높은 내화도로 인한 낮은 열팽창율을 가지고 있어 파쇄가 적으며, 구형으로 인한 점결제 (binder)의 사용량 감소와 유동성이 우수하여 주형 공간에 조밀하게 충진되어 높은 주형 강도를 발현할 수 있다 [6,7].

사형 주조에 사용되는 바인더는 일반적으로 유기계와 무기계로 분류되는데 치수 정밀도, 표면 조도 및 주형 강도가 우수한 유기 바인더는 주로 푸란 (furan) 수지, 페놀 (phenol) 수지 및 레진 피복 모래 (resin coated sand)가 사용된다. 유기 바인더는 우수한 점결력과 주형 강도를 갖지만 주조 과정에서 벤젠 및 포름알데히드 같은 휘발성 유기화합물 (VOCs)이 다량 발생되는 환경 문제를 일으킨다 [8,9]. 주조 산업에서 환경 오염을 해결하기 위해서는 VOCs가 발생되지 않고, 작업 환경이 매우 친환경적이며, CO2 가스가 적게 발생되어 주조품의 결함을 감소시킬 수 있는 무기 바인더에 대한 연구의 필요성이 제기되고 있다 [10,11]. 무기 바인더는 금속 포스페이트 기반의 CBPC (chemically bonded phosphate ceramic) 바인더, 수용성 염 화합물 기반의 염 (salt) 바인더, 알칼리 실리케이트 수용액 기반의 물유리 (water glass) 등이 연구되고 있다 [12,13]. 물유리는 알칼리 금속을 함유하여 우수한 점결력과 분산력을 갖추고 있지만 900 oC 부근에서 용해되어 고온에서 낮은 강도를 보인다.

CBPC 바인더는 시멘트처럼 고화되지만 세라믹에 비해 낮은 온도에서 형성되어 그 구조와 특성은 세라믹에 유사하다. 화학 결합에 의해 강한 구조를 형성하여 세라믹이 갖는 특성인 고온이나 가혹한 환경에서 우수한 열 안정성과 높은 강도를 가지며 세라믹에 비해 낮은 온도에서 경화가 가능한 장점을 가진다. CBPC 바인더는 화학적으로 결합된 인산염 세라믹으로 금속 양이온과 인산염의 음이온 반응에 의해 세라믹 결합이 형성되며, 금속 산화물을 인산에 혼합함으로써 반응이 발생한다 [14,15]. CBPC의 금속산화물에는 Na, K, Mg, Zn, Ca, Al 및 Fe 등이 사용되고 있다 [16]. 다양한 금속 중 알루미늄 (Al)은 지구상에서 가장 풍부한 금속 산화물이며 값이 저렴하기 때문에 인산염 시멘트를 형성하기 위한 유망 재료이다. 알루미늄 양이온과 인산염의 음이온 반응으로 형성되는 CBAPC (chemically bonded aluminum phosphate ceramic)는 내 마모성과 생체 내 안정성이 우수하여 인공 치아 및 치근, 인공 관절, 구조 재료 같은 분야에서 사용되고 있다. 또한, 내화물 분야 및 세라믹 코팅제로 사용되어 고온에서의 알루미늄 포스페이트의 중요성에 대한 깊은 연구가 요구된다. CBAPC는 수증기나 환원성의 일산화탄소 분위기 같은 고온 환경에서의 내부식성이 강하고, 낮은 전기 및 열 전도성, 우수한 접착성 같은 다양한 장점을 가진다 [16,17]. 따라서 CBAPC를 알루미늄 주조용 바인더로 사용 시 고가의 세라믹이나 복합재료에 비해 낮은 열처리 온도에서도 우수한 강도를 보이며 유해물질의 발생이 없는 높은 기술적 중요성으로 그 가치가 매우 클 것으로 예상된다.

CBAPC 바인더는 고온에서 가열 시 분자간 탈수 축합 반응에 의해 P-O-P 구조를 형성 후 알루미늄에 산소 이온이 배위되어 P-O-Al-O-P 같은 고분자 구조를 형성하여 강도를 유지하는 접착성을 갖게 된다 [14,16,18]. 인산과 알루미늄 포스페이트 (P/Al)의 몰 비와 경화 조건에 따라 CBAPC 바인더의 물리화학적 특성이 달라진다고 알려져 있다 [19,20].

본 연구에서는 세라믹의 결합 및 표면 개질을 위해 인산을 사용하였으며, P/Al 몰 비에 따른 바인더로서의 물리화학적 특성과 이를 이용한 열처리 온도에 따른 세라믹의 강도 및 내습성에 미치는 영향을 각각 고찰하였다.

2. 실험 방법

본 연구에서 인공사 Esperal 40 (Lyang Qinlin Trading, China), Cps 1 (Simat International Limited, Hong Kong)를 사용하였으며, 인공사의 물리화학적 조성은 표 1과 같다. 바인더 합성에 사용한 인산 (Phosphoric acid, Purity: 85%, Grade: EP, Daejung Chemical & Metals Co., Ltd, Korea)과 알루미늄 포스페이트 (Aluminum phosphate, Grade: CP, Junsei Chemical Co., Ltd, Japan) 시약들은 추가적인 정제없이 사용하였다.

그림 1은 CBAPC 바인더의 합성 모식도를 나타냈다. P/Al 몰 비가 2.0에서 6.0이 되도록 합성하였으며, 시험편의 총 수분 함량 (total moisture content)은 3 wt%로 동일하게 조절하였다. 예를 들어, P/Al 몰 비가 4.5인 CBAPC 바인더는 다음과 같이 합성되었다. 실온에서 인산 80.97 g과 증류수 42.23 g을 10분 교반하였다. 교반된 인산 123.20 g을 인공사 Esperal 40, Cps 1 2 kg에 첨가하여 혼련기를 이용하여 400 RPM (revolution per minute)으로 150초간 혼합한 후, 알루미늄 포스페이트 19.03 g을 첨가하여 150초간 혼합하였다. CBAPC 바인더의 함량은 인공사 중량의 5 wt%가 되도록 준비하였다. 제조된 바인더는 CBAPC_X (X: P/Al 몰 비)로 명명하였다.

CBAPC 바인더의 강도 및 조형 특성을 확인하기 위해 그림 2와 같이 시험 중자를 제조하였다. 금형 및 열풍 온도는 260 oC, 주물사의 충진을 위한 슛팅 압력 5.0 bar, 열풍 압력 1.8 bar, 경화 시간 10분 조건으로 경화하였다. 그림 3은 위의 조건으로 시험편 (Length×Height×Width: 170×20×20 mm)을 제조하였다. 모든 시험편은 동일한 환경 (온도: 13 ± 3 oC, 상대습도: 46 ± 6%)에서 시험되었다. 제조된 시험편의 내습성을 확인하기 위해 동일한 조건 (온도: 20 oC, 상대습도: 30%)에서 10분, 1시간 노출 후 항절 강도 (LCK1205-K500, A&D Scales, Japan)를 측정하였다. 실험 결과의 재현성을 보장하기 위해, 항절 강도의 각 데이터 포인트는 최소 5회 반복하여 5 mm/min의 속도에서 측정 후 평균 값을 얻었다.

인공사의 화학적 조성을 확인하기 위해 XRF (Zetium, PANalytical, Netherlands) 분석 장치를 사용하였으며, 인공사의 입자 크기 및 분포도를 파악하기 위해 입도 분석을 수행하였다. 인공사 Esperal 40, Cps 1 100 g에 대한 입자 크기 분포를 측정하기 위해, 인공사와 지르코니아 볼 (zirconia ball)을 1:1 비율로 시험 포트에 넣어 400 RPM으로 3일간 볼 밀 (GLBM-G, Global Lab., Co., Ltd., Korea) 분쇄하였다. 분쇄된 인공사는 체 (sieve) 분석을 통해 20~270 Mesh로 분별하였다.

CBAPC 바인더의 온도에 따른 결정화 및 상변화를 관찰하기 위해 CBAPC 바인더를 TGA/DSC (SDT Q600, TA Instruments, Japan) 분석 장치를 사용하여, 공기 분위기에서 10 oC/min의 승온 속도로 30~1400 oC 범위의 온도에서 관찰하였다. 시간에 따른 CBAPC 바인더와 인공사로 혼합된 시험편의 내습성을 확인하기 위해 FT-IR (4600LE, Jasco, Japan) ATR 모드를 이용하여 CBAPC 바인더를 분석하였다. 모든 샘플은 4 cm-1의 분해능으로 4000~500 cm-1 범위로 100회 스캔하여 스펙트럼을 얻었다. CBAPC 바인더의 결정구조의 변화를 알아보기 위해 XRD (D8 Focus, Bruker, Germany)를 이용하여 경화 온도에 따른 CBAPC 바인더를 측정하였다. XRD는 Cu Kα 타겟 (Wavelength 1.5406 Å), 40 kV, 40 mA의 조건에서 5~80° (2θ)의 범위에 걸쳐 0.3 °/s의 스캔 속도로 측정되었다. CBAPC 바인더와 인공사가 혼합된 시험편의 표면 결합 정도를 FE-SEM (SU8020, Hitachi, Japan)을 이용하여 확인하였다. CBAPC 바인더로 경화한 인공사의 표면을 백금 (Pt)으로 15 mA, 180초 조건으로 코팅하여 분석하였다.

3. 결과 및 고찰

인공사 Esperal 40, Cps 1은 XRF 분석을 통해 시료의 성분을 비교한 결과를 표 1에 나타냈다. Esperal 40의 경우 Al2O3와 SiO2 함량은 71.87, 16.82 wt%였으며, Cps 1의 경우 44.34, 43.83 wt%를 나타냈다.

그림 4는 인공사 Esperal 40, Cps 1의 입도 분포 곡선을 나타냈다. 인공사의 입도는 특정 크기의 입자들이 집중적으로 분포되어 있으며, 입도 분포는 좁은 원뿔 모양으로 나타났다. 인공사 Esperal 40, Cps 1의 AFS GFN (american foundry society grain fineness number)는 30.35, 38.86을 나타냈다. 인공사의 입자 외관 및 표면 형상을 확인하기 위해 FE-SEM 분석을 진행하였으며, 그 결과 그림 5에 나타냈다.

인공사는 규사와 달리 구상 입형을 가지나 Esperal 40, Cps 1의 표면 형상은 서로 매끄럽거나 거침을 관찰하였다. Esperal 40의 표면은 불규칙한 다각형 모양으로 구성되어 있으며, Cps 1의 표면은 세세한 요철이 있는 것을 알 수 있다.

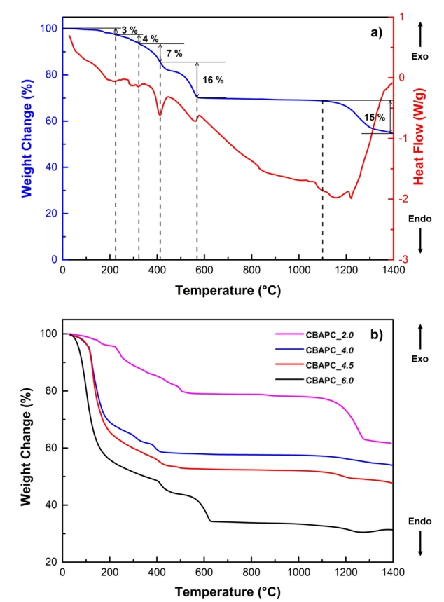
그림 6은 CBAPC_4.5의 TGA/DSC 곡선을 나타냈다. TGA 곡선은 중량 손실이 50 oC에서 시작되어 570 oC까지 중량 손실을 보였으며, 1220 oC까지 중량 손실이 없음을 보여준다. TGA 곡선에서 220, 320, 410, 570 및 1220 oC 부근에서 중량 손실 피크들을 확인하였다. 최초 220 oC까지는 CBAPC_4.5의 자유수 (free water) 증발로 3%의 중량 손실을 보였으며, 이후 320 oC까지는 인산의 탈수 축합 반응에 의해 생성된 수분의 증발로 4%의 중량 손실을 보였다. 320~410 oC와 410~570 oC에서는 CBAPC_4.5의 상변화 상응 온도에서 7, 16%의 중량 손실을 각각 보인 것을 확인하였다. 570~1100 oC에서는 중량 손실이 거의 없었으며 고온에서의 열 안정성이 우수한 세라믹 특성을 나타냄을 알 수 있다. 1100 oC 이후에서 CBAPC_4.5의 상변화로 인한 15%의 중량 손실을 보였다.

알루미늄 포스페이트의 열적 특성은 많은 연구자들에 의해 연구되었다. W. D. Kingery는 다양한 응용 분야에 사용되는 포스페이트 결합 물질의 합성과 실온에서의 반응역학에 대한 연구를 조사하였다 [18]. D. Chen et al.은 고온에서 알루미늄 포스페이트 바인더의 화학적 상변화에 대해 조사하였다 [21]. D. Chen et al.의 연구에 따르면 알루미늄 포스페이트 바인더가 200 oC에 도달하면 Al(H2PO4)3이 주요 상이며, 250 oC에서는 AlH2P3O10·2H2O와 AlPO4 (trigonal system)로 상변화되었다고 보고되었다. DSC 곡선에서 5개의 흡열 피크들이 존재하였으며, 관찰된 피크들은 주요한 상변화를 제안한다. 열처리 온도에 따른 알루미늄 포스페이트 바인더의 가장 우세한 결합상은 표 2에 나타냈다. 100~250 oC에서의 중량 손실은 AlH2P3O10·2H2O 상의 층간수 (interlayer water) 손실과 일치하며, 250 oC에서 강한 흡열 피크는 인산의 탈수 축합에 의한 가교 반응으로 발생한다는 유사한 결과들이 문헌에 보고되었다 [21-23]. 이전의 연구들을 통해 470 oC와 800 oC에서는 동일한 Al(PO3)3와 AlPO4 상이 관찰되었는데, 알루미늄 포스페이트는 P/Al 몰 비에 따라 특성이 달라지고, 수산화 알루미늄 (Aluminum hydroxide)을 출발 물질로 사용한 것으로 보아 현재 연구와는 상이한 결과가 나타났다. 그러나 470 oC 부근에서 Al(PO3)3 상 관찰로, 보고된 문헌들과 유사한 결과를 얻을 수 있었다. 570 oC의 온도에서, CBAPC_4.5의 잔류질량은 기존 질량의 약 30%가 손실되었다. 450~550 oC에서 삼인산기 (triphosphate group)의 축합 시 발생하는 구성수 (constitutional water) 1분자 손실에 의한 중량 손실과 Al(PO3)3 상을 형성한다는 S. K. Rishi et al.의 연구결과에 의해 확인되었다 [22].

그림 7은 열처리 온도에 따른 CBAPC_4.5의 XRD 결과를 나타냈다. 열처리 온도가 260 oC에서 CBAPC_4.5의 상은 AlH2P3O10·2H2O (JCPDS No. 31-0017)로 확인하였으며, 열처리 온도가 260 oC에서 340 oC로 증가하면서 CBAPC_4.5의 상은 Al(PO3)3 (JCPDS No. 13-264)와 AlPO4 (JCPDS No. 10-0423)인 것을 확인하였다. 470 oC와 800 oC 온도로 증가할수록 Al(PO3)3의 결정성이 증가함을 관찰하였다 [24-26]. CBAPC_4.5의 XRD 분석 결과는 D. Chen et al.과 H. J. Han et al.의 연구 결과와 앞선 TGA/DSC 분석 결과와 일치하는 것으로 확인되었다.

CBAPC_4.5의 화학적 구조와 내습성에 미치는 영향을 확인하기 위해 FT-IR 분석을 실시하였다. 흡습 전과 후의 CBAPC_4.5의 FT-IR 스펙트럼을 그림 8에 나타냈다. 1시간 노출 (온도: 20 oC, 상대습도: 30%) 후 CBAPC_4.5 (1 h)의 여러 흡수 피크가 관찰되었으며, CBAPC_4.5의 노출 시간이 경과함에 따라 3400 cm-1에서 물 분자의 OH 신축 진동 (stretching vibration)에 의해 넓고 강한 피크를 확인하였다. 분자 내 존재하는 OH기의 신축 진동 흡수는 수소 결합에 의해 낮은 파수 (wavenumber)로 이동하는 것을 확인하였으며, 이는 노출 시간이 경과함에 따라 CBAPC_4.5 내 흡습 현상이 발생하여 강도 감소에 영향을 미친 것으로 사료된다. 또한, 1645 cm-1에서 H-O-H 굽힘 진동 (bending vibration)으로 자유수가 존재함을 확인하였다. 알루미늄 포스페이트 분말 입자는 일정량의 폐쇄 기공이 존재하여 수분을 흡수한 것으로 판단된다 [27,28]. 494, 714 cm-1에서의 특징적인 피크들은 O-P-O 굽힘 진동 및 (PO4)3-의 P-O 신축 진동에 의해 각각 관찰되었다. CBAPC_4.5의 노출 시간이 경과함에 따라 494, 714 cm-1에서의 O-P-O, P-O 밴드가 감소하였다.

다양한 P/Al 몰 비를 가지는 CBAPC 바인더의 항절 강도를 측정하였으며, 그 결과 그림 9에 나타냈다. CBAPC 바인더와 인공사 Esperal 40, Cps 1을 사용하여 제조한 시험편은 항온 항습기에서 10분, 1시간 노출 (온도: 20 oC, 상대습도: 30%) 후 항절 강도를 측정하였다. CBAPC 바인더의 P/Al 몰 비가 4.5일 때, 인공사 Esperal 40, Cps 1에서 최대 강도를 나타내었으며, P/Al 몰 비가 2.0에서 4.5로 증가함에 따라 10분 강도는 3.61, 2.10 MPa에서 6.40, 6.36 MPa로 증가하였다. CBAPC 바인더의 P/Al 몰비가 4.5에서 6.0으로 증가함에 따라 10분 강도는 4.11, 1.94 MPa로 감소하였다. 260 oC에서 경화한 CBAPC_4.5의 구조는 AlH2P3O10·2H2O였으며, 화학양론적으로 알루미늄 포스페이트 기반의 바인더는 인산과 알루미늄 염의 액체용액, Al(PO3)3 및 AlPO4 같은 고체상을 형성하기 위해 CBAPC 바인더의 P/Al 몰 비가 일반적으로 3.0보다 높아야 안정하고 우수한 접착성을 보이게 된다 [20]. 알루미늄 포스페이트는 탈수로 인해 인이 산소를 공유하는 P-O-P 결합을 갖는 고분자가 형성되고, 이 고분자가 CBAPC 바인더의 접착성을 갖게 된다. 그러나, CBAPC_4.5에서 최대강도를 나타내었으며, 그 외의 P/Al 몰 비에서는 강도가 감소하는 경향이 관찰되었다.

CBAPC 바인더의 P/Al 몰 비에 따른 TGA 곡선을 보면, CBAPC_2.0은 고형분의 함량이 가장 많고, 인산의 함량이 가장 적기 때문에 220~240 oC 온도 범위에서의 강열감량이 가장 적은 것을 확인하였다. 강열 감량은 CBAPC_2.0, CBAPC_4.0, CBAPC_4.5 및 CBAPC_6.0 순으로 적었으며, CBAPC_6.0은 인산의 함량이 많아 저온 구간에서 가장 급격한 중량 손실 패턴을 보였다. 220 oC는 상전이 온도이기 때문에 260 oC에서 열처리하였으며, 그 온도 범위에서의 중량 손실이 비교적 적은 CBAPC_4.5는 열 안정성이 우수하여 강도 증진에 영향을 미친 것으로 사료된다. CBAPC 바인더의 P/Al 몰 비가 3.0 이하일 때, 이상적으로 반응하여 결정이 형성되기 시작해야 하지만 바인더 내 결정이 이미 형성된 것을 알 수 있었다. 알루미늄 포스페이트가 인산에 모두 용해되지 않아 바인더로써의 접착성이 낮아져 강도가 감소됨을 확인하였다. CBAPC 바인더의 P/Al 몰 비가 4.5일 때, 추가적인 인산의 함량으로 용해가 되기 시작하여 효과적인 액상 분위기를 만들고 우수한 접착성을 가져 높은 강도를 발현하는 것을 관찰하였다. CBAPC 바인더의 P/Al 몰 비가 4.5 이상일 때, 알루미늄 포스페이트가 인산에 모두 용해되지만 반응에 관여하지 않은 다량의 인산 함량으로 인해 흡습성이 증가하여 강도가 감소됨을 확인하였다. CBAPC 바인더 내 남아있는 여분의 인산은 반응 중에 H2 가스를 형성시킨다. H2 가스는 인공사 입자 표면에서 기공률 (porosity)을 증가시키며 CBAPC 바인더의 결합력이 저하됨을 알 수 있다. 규사와 인공사의 다른 화학적 조성이 CBAPC_4.5와 결합되어 우수한 접착성을 나타냈다. 인공사는 규사에 비해 Al2O3의 함량이 현저하게 많기 때문에 여분의 인산이 인공사의 Al2O3와 반응하여 결합력이 증가한 것으로 보인다. 인공사의 Al2O3 성분과 CBAPC 바인더의 혼합 과정에서 추가적인 반응에 의해 CBAPC 바인더의 P/Al 몰 비가 4.5에서 최대 강도를 보이는 것을 관찰하였다. 그러나, 시험편의 강도는 동일한 조건 (온도: 20 oC, 상대습도: 30%)에서 노출시간이 10분에서 1시간으로 경과함에 따라 감소하였다 [29]. FT-IR 결과, 노출 (온도: 20 oC, 상대습도: 30%) 시간이 경과함에 따라 3400, 1645 cm-1에서 -OH 피크가 넓어짐을 확인하였으며, CBAPC_4.5 내 생성된 수분의 흡습으로 시험편의 강도 감소에 영향을 미침을 알 수 있다.

그림 10은 인공사 Esperal 40, Cps 1에 코팅된 CBAPC_4.5로 제조된 시험편을 동일한 노출 조건 (온도: 20 oC, 상대습도: 30%)에서 노출 시간에 따른 중량 변화를 나타냈다. 노출 시간 10분 후에는 Esperal 40, Cps 1의 시험편 중량은 2.0, 0.3% 증가하였다. 10분에서 50분으로 경과함에 따라 시험편의 중량은 2.0, 1.4% 증가하였으며, 50분에서 60분으로 경과함에 따라 시험편의 중량은 0.7, 0.1%로 증가하였다. 인공사에 따라 흡습량이 다름을 확인하였으며, Esperal 40이 Cps 1보다 흡습량이 많은 것을 확인하였다. 이는 두 인공사의 다른 화학적 조성에 기인된 것으로 판단된다.

그림 11은 경화 온도에 따른 인공사 Esperal 40, Cps 1에 코팅된 CBAPC_4.5로 제조된 시험편의 항절 강도 분석 결과를 나타냈다. Esperal 40, Cps 1은 260 oC에서 최대 강도를 나타내었으며, 경화 온도가 220 oC에서 260 oC로 증가함에 따라 시험편의 항절 강도는 4.84, 4.99 MPa에서 6.40, 6.36 MPa로 증가하였다. CBAPC_4.5를 100 oC에서 열처리 시 Al(H2PO4)3 구조를 형성하며, 200~280 oC에서 Al(H2PO4)3의 탈수 축합 반응에 의해 형성된 AlH2P3O10·2H2O 구조는 비수용성 유리 구조로써 기계적 강도와 내습성이 우수하여 시험편의 강도에 큰 영향을 미쳤을 것이라 판단된다. 경화 온도가 260 oC에서 340 oC로 증가함에 따라 시험편의 항절 강도는 2.32, 2.77 MPa로 급격히 감소하였다. 고온으로 갈수록 인공사와 CBAPC_4.5간 결합에 영향을 미치는 구조가 분해되어 표면으로부터 CBAPC_4.5의 코팅층이 얇아져 강도가 감소하였다.

그림 12는 경화 온도에 따른 인공사 Esperal 40, Cps 1에 코팅된 CBAPC_4.5로 제조된 시험편의 FE-SEM 분석을 나타냈다. 260 oC에서 경화된 시험편은 CBAPC_4.5가 인공사 입자 표면에 균일하게 코팅되었으며, 인공사 입자 사이를 연결하는 구조체의 가교 결합 (bonding bridges)은 매끄럽고 조밀한 구조를 확인할 수 있었다. 가교 결합은 가열 탈수에 의한 소립자간의 응집 및 융합에 의해 평활화를 거쳐 균질화된다. 인공사 입자 사이에 코팅된 CBAPC_4.5의 함량이 많을수록 시험편 내부까지 반응이 균질화되며 입자 표면의 균열 (crack)과 공극 (hole)을 방지하여 높은 강도를 발현할 수 있다 [10]. 경화 온도를 260 oC에서 340, 470 및 800 oC로 증가시켰을 때, 열 분해로 인해 CBAPC_4.5의 결정수가 기화되어 인공사 입자 사이의 가교 결합이나 표면은 큰 균열과 많은 공극이 형성됨을 확인하였다 [30,31]. 그 결과, CBAPC_4.5에 코팅된 인공사의 표면이 크게 손상되었으며, 균열과 공극이 CBAPC_4.5의 결합 강도 저하에 영향을 미쳤으며 가교 결합은 온도 변화에 영향을 받음을 알 수 있다.

그림 13은 경화 시간에 따른 인공사 Esperal 40, Cps 1에 코팅된 CBAPC_4.5로 제조된 시험편의 항절 강도 분석 결과를 나타냈다. Esperal 40, Cps 1은 260 oC에서 10분 경화 시 최대 강도 6.40, 6.36 MPa를 나타냈다. 경화시간이 5분에서 7분으로 경과함에 따라 CBAPC_4.5 내 존재하는 많은 함량의 인산을 증발시키기 위한 건조 시간이 부족하여 시험편의 제조가 어려운 경향을 관찰하였다. 경화 시간이 10분에서 15분으로 경과함에 따라 시험편의 강도는 42, 41%로 각각 감소하였다. 이는 경화 과정에서 CBAPC_4.5 내 여분의 인산을 완전히 증발시켰으나, 인공사와 CBAPC_4.5간의 코팅층이 얇아져 시험편의 강도가 감소하였다.

4. 결 론

인산과 알루미늄 포스페이트 (P/Al)의 몰 비와 열처리 온도에 따른 CBAPC 바인더를 합성하였으며, 인공사 Esperal 40, Cps 1을 사용하여 시험편을 제조 후 P/Al 몰비, 경화 온도 및 경화 시간에 따라 시험편의 항절 강도를 측정하였다. 인공사 Esperal 40, Cps 1은 CBAPC 바인더의 P/Al 몰 비가 4.5, 경화 온도가 260 oC, 경화 시간이 10분일 때, 시험편의 최대 강도 6.40, 6.36 MPa를 나타냈다. TGA/DSC 분석을 통해 CBAPC_4.5의 220, 320, 410, 570 oC 및 1220 oC에서 상변화가 발생함을 확인하였다. CBAPC_4.5는 그 외의 P/Al 몰 비를 갖는 CBAPC 바인더에 비해 저온 구간에서의 우수한 열 안정성을 가져 중량 손실이 가장 적었다. 인공사의 종류에 따라, 시험편의 1시간 노출 후의 강도가 다름을 확인하였으며, 인공사의 화학적 조성이 영향을 미치는 것을 확인하였다. 경화 온도에 따라 CBAPC_4.5의 상변화로 인해 강도가 달라짐을 확인하였으며, 260 °C에서 형성된 AlH2P3O10·2H2O 구조는 비수용성 유리구조로써 기계적 강도와 내습성이 우수하게 나타났다. CBAPC_4.5 내 존재하는 여분의 인산을 건조시키기 위한 경화 시간은 10분이였으며, 경화 온도 및 경화시간에 따라 CBAPC_4.5와 인공사 표면의 결합 구조가 변화하여 항절 강도에 영향을 미친 것을 확인하였다.

Acknowledgements

본 연구는 2019년도 산업통상자원부 및 산업기술평가관리원 (KEIT) 연구비 지원(200000126)과 산업통상자원부의 산업기술혁신사업(10067386)의 지원을 받았으며, 한국생산기술연구원 기관주요사업 “2019년 수요기반생산기술실용화사업(4/4) (KITECH EO-19-0140)”의 지원으로 수행한 연구입니다.

REFERENCES

1 
Fox J. T., Cannon F. S., Brown N. R., Huang H., Furness J. C., Int. J. Adhes. Adhes,34, 38 (2012)Google Search
2 
Inoue Y., Motoyama Y., Takahashi H., Shinji K., Yoshida M., J. Mater. Process. Tech,213, 1157 (2013)Google Search
3 
Geffroy P. M., Lakehal M., Goni J., Beaugnon E., Silvain J. F., J. Mater. Process. Tech,209, 4103 (2009)Google Search
4 
Brooks B. E., Beckermann C., Richards V. L., J. Cast. Metal. Res,20, 177 (2007)Google Search
5 
Chaudhari S., Thakkar H., Int. J. Eng. Res. Appl,4, 615 (2014)Google Search
6 
Wen S., Shen Q., Wei Q., Yan C., Zhu W., Shi Y., Yang J., Shi Y., J. Mater. Process. Tech,225, 93 (2015)Google Search
7 
Kosuge K., Sunaga M., Goda R., Onodera H., Okane T., Mater. Trans,59, 1784 (2018)Google Search
8 
Xia L., Zhang Y., Huang J., 979, Adv. Mater. Res.,97-101, (2010)Google Search
9 
Xia L., Huang J., Zhang Y., 3828, Adv. Mater. Res.,189-193, (2011)Google Search
10 
Cho G. H., Kim E. H., Jung Y. G., J. Kor. Ceram. Soc,53, 541 (2016)Google Search
11 
Ryu Y. B., Lee M. S., Korean J. Met. Mater,56, 72 (2018)Google Search
12 
Chiou J. M., Chung D. D. L., J. Mater. Sci,28, 1435 (1993)Google Search
13 
Polzin H., Inorganic Binders for Mould and Core Production in the Foundry,Fachverlag Schiele and Schön GmbH (2014)Google Search
14 
Chiou J. M., Wei B. Y., Chen C. M., J. Mater. Eng. Perform,2, 383 (1993)Google Search
15 
Wagh A. S., Jeong S. Y., J. Am. Ceram. Soc,86, 1838 (2003)Google Search
16 
Wagh A. S., Chemically Bonded Phosphate Ceramics,Elsevier (2004)Google Search
17 
Morris J. H., Perkins P. G., Rose A. E. A., Smith W. E., Chem. Soc. Rev,6, 173 (1977)Google Search
18 
Kingery W. D., J. Am. Ceram. Soc,33, 239 (1950)Google Search
19 
Finch T., Sharp J. H., J. Mater. Sci,24, 4379 (1989)Google Search
20 
Chung D. D. L., J. Mater. Sci,38, 2785 (2003)Google Search
21 
Chen D., He L., Shang S., Mat. Sci. Eng. A,348, 29 (2003)Google Search
22 
Rishi S. K., Kariuki B. M., Checker N. J., Godber J., Wright A. J., Chem. Commun,7, 747 (2006)Google Search
23 
Han H. J., Kim D. P., J. Sol-Gel Sci. Techn,26, 223 (2003)Google Search
24 
Vippola M., Keränen J., Zou X., Hovmöller S., Lepistö T., Mäntylä T., J. Am. Ceram. Soc,83, 1834 (2000)Google Search
25 
Muraoka Y., Kihara K., Phys. Chem. Miner,24, 243 (1997)Google Search
26 
Pauling L., Sherman J., Z. Krist. Cryst. Mater,96, 481 (1937)Google Search
27 
Chen C. M., Jehng J. M., Catal. Lett,85, 73 (2003)Google Search
28 
Saat A. M., Malik A. A., Azmi A., Latif M. F. A., Ramlee N. E., Johan M. R., J. Eng. Appl. Sci,12, 1237 (2017)Google Search
29 
Jina W., Zitian F., Xiaolei Z., Di P., China foundry,6, 191 (2009)Google Search
30 
Yue L., Tongfei S., Bing C., Yaqiang L., Constr. Build. Mater,91, 126 (2015)Google Search
31 
Liu N., Chen B., Constr. Build. Mater,121, 354 (2016)Google Search
32 
Zhuravleva P. L., Kitaeva N. S., Shiryakina Y. M., Novikova A. A., Russ. J. Appl. Chem,89, 367 (2016)Google Search

Figures and Tables

Fig. 1.

Schematic procedure for core manufacturing with CBAPC binder.

../../Resources/kim/KJMM.2019.57/kjmm-2019-57-12-808f1.jpg
Fig. 2.

Schematic diagram for fabricating specimen with CBAPC binder.

../../Resources/kim/KJMM.2019.57/kjmm-2019-57-12-808f2.jpg
Fig. 3.

Photograph of cured specimen prepared by CBAPC_4.5; (a) Esperal 40 and (b) Cps 1.

../../Resources/kim/KJMM.2019.57/kjmm-2019-57-12-808f3.jpg
Fig. 4.

Particle size distribution curves of artificial sands.

../../Resources/kim/KJMM.2019.57/kjmm-2019-57-12-808f4.jpg
Fig. 5.

FE-SEM images of artificial sands; (a-d) Esperal 40 and (e-h) Cps 1.

../../Resources/kim/KJMM.2019.57/kjmm-2019-57-12-808f5.jpg
Fig. 6.

TGA/DSC curves of CBAPC binder; (a) CBAPC_4.5 and (b) CBAPC_2.0, CBAPC_4.0, CBAPC_4.5, and CBAPC_6.0.

../../Resources/kim/KJMM.2019.57/kjmm-2019-57-12-808f6.jpg
Fig. 7.

XRD patterns of cured CBAPC_4.5.

../../Resources/kim/KJMM.2019.57/kjmm-2019-57-12-808f7.jpg
Fig. 8.

FT-IR spectra of the CBAPC_4.5 and absorbed CBAPC_4.5 for 1 h.

../../Resources/kim/KJMM.2019.57/kjmm-2019-57-12-808f8.jpg
Fig. 9.

Effect of P/Al molar ratio on flexural strength of CBAPC_4.5 coated artificial sands.

../../Resources/kim/KJMM.2019.57/kjmm-2019-57-12-808f9.jpg
Fig. 10.

Weight change during specimen fabricated using CBAPC_4.5 coated artificial sands.

../../Resources/kim/KJMM.2019.57/kjmm-2019-57-12-808f10.jpg
Fig. 11.

Effect of curing temperature on flexural strength of CBAPC_4.5 coated artificial sands.

../../Resources/kim/KJMM.2019.57/kjmm-2019-57-12-808f11.jpg
Fig. 12.

FE-SEM images of cured CBAPC_4.5 coated artificial sands; (a-d) Esperal 40 and (e-h) Cps 1.

../../Resources/kim/KJMM.2019.57/kjmm-2019-57-12-808f12.jpg
Fig. 13.

Effect of curing time on flexural strength of CBAPC_4.5 coated artificial sands.

../../Resources/kim/KJMM.2019.57/kjmm-2019-57-12-808f13.jpg
Table 1.

Chemical compositions of artificial sands by XRF analysis

Samples Mass fraction of the sample (%)
Al2O3 SiO2 TiO2 Fe2O3 etc.
Espearl 40 71.87 16.82 5.05 4.45 1.81
Cps 1 44.34 43.83 1.14 7.35 3.34
Table 2.

Phase transformation of aluminum phosphate binder

Temp. (℃) Dominant phase Candidate phase Ref.
60 AlH3(PO4)2·3H2O [16,21]
100 Al(H2PO4)3 AlH3(PO4)2·3H2O [16,21]
150 Al(H2PO4)3 AlPO4, AlH3(PO4)2·H2O [23,32]
200 AlH3(PO4)2 Al(H2PO4)3, AlH2P3O10·2H2O [21,23]
250 AlH2P3O10·2H2O AlPO4, AlH3(PO4)2·2H2O, Al8H12(P2O7)9 This work
300 AlH2P3O10·2H2O, Al(PO3)3 AlPO4, AlH3(PO4)2·2H2O, Al8H12(P2O7)9 This work
400 Al(PO3)3 AlPO4, AlH2P3O10·2.5H2O [21]
450 Al(PO3)3 Al2P6O18, AlPO4 This work
500 Al(PO3)3 Al2P6O18, AlPO4 [23,32]
550 Al(PO3)3 Al2P6O18 [23]
700 Al(PO3)3 AlPO4 [21]
800 Al(PO3)3 AlPO4 This work