(Thanh Tuan Tran)
1
(Mudassir Iqbal)
2
(Man Seung Lee)
1*
Copyright © 2019 The Korean Institute of Metals and Materials
Key words(Korean)
ionic liquids, succinimide, extraction, stripping, iron(III)
1. INTRODUCTION
In hydrometallurgy, the presence of Fe(III) in the leaching solution poses some problems
in the subsequent separation step of the metal ions [1-4]. Therefore, removing or recovering Fe(III) from the leaching solutions is very important.
Several methods, such as precipitation and solvent extraction, have been employed
for this purpose [5].
Fe(III) can be efficiently extracted from weak and strong acidic solutions by employing
commercial extractants such as amines, TBP, acidic extractants, and their mixtures
[1,5-9]. When the concentration of Fe(III) in a weak acidic leaching solution is high, complete
stripping of large amounts of Fe(III) from the loaded acidic extractants is very difficult.
However, a reducing agent can be added to the stripping solution to enhance the stripping
of Fe(III) [9,10]. Therefore, the development of new extractants with good Fe(III) stripping ability
is necessary.
Ionic liquids (ILs) can efficiently extract Fe(III) from strong hydrochloric acid.
Examples include Aliquat336 (N-methyl-N,N,N-trioctylammonium chloride), Cyphos IL
101(trihexyl (tetradecyl)phosphonium), [C4mim][NTf2] (1-butyl-3-methylimidazolium
bis(tri-flouromethan-esulfonyl)imide), Cyphos IL 104 (trihexyl(tetradecyl)phosphonium
bis(2,4,4-trimethylp-entyl) phosphate) and others [11-18]. However, these ILs have some difficulty stripping a large amount of Fe(III).
In this work, two succinimide ILs and several Bif-ILs (R4NA) were employed to investigate their ability to extract and strip Fe(III) from chloride
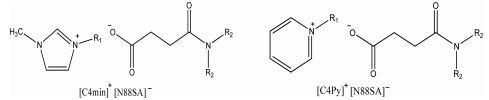
and sulfate solutions with an initial pH of 2.0. The two succinimide ILs employed
in this work were 3-butyl-1-methyl-1H-imidazol-3-ium 4-(dioctylamino)-4-oxobutanoate ([N88SA][C4min]) and 1-butylpyridin-1-ium 4-(dioctylamino)-4-oxobutanoate
([N88SA][C4Py]). Bif-ILs were synthesized by reacting Aliquat336 (R4NCl) with organophosphorus acids such as Cyanex272 (H-Cy), D2EHPA (H-D2) and PC88A
(H-PC). To the best of our knowledge, no work has been reported on the extraction
of Fe(III) by these ILs, or comparisons of the extraction behavior of these ILs with
commercial organophosphorus acids. The stripping of Fe(III) from the loaded ILs using
H2SO4 and HCl solutions was also investigated.
2. EXPERIMENTAL
2.1 Reagents and Chemicals
The extractants, Aliquat336 (ALiCl, BASF Co., 93%), Cyanex272 (H-CY, Cytec Inc., 85%),
PC88A (H-PC, Cytec Inc., 95%), and D2EHPA (H-D2, Cytec Inc., 95%) were used without
any purification. Kerosene was used as a diluent. Succinimide ILs were synthesized
according to the method reported in the literature [19]. Some amount of the prepared succinimide ILs were weighted and diluted in kerosene.
The Bif-ILs solutions were prepared by diluting 1 M Bif-ILs, which were prepared by
mixing 1 M Aliquat336 and 1 M organophosphorus acids in kerosene according to the
method reported in the paper [20]. The structures of succinimide ILs and Bif-ILs are presented in Table 1.
The synthetic solutions of Fe(III) were prepared by dissolving appropriate amounts
of FeCl3 (Duksan Pure Chemical Co., LTD, ≥ 97%) and Fe2(SO4)3×nH2O (Kanto Chemical Co., INC, 60-80%) in HCl and H2SO4 solutions, respectively. The pH value of the solution was adjusted by adding doubly
distilled water to concentrated HCl (Daejung Co., > 35%) and H2SO4 (Daejung Co., > 95%) solutions.
2.2 Experimental procedure and analytical methods
The extraction and stripping experiments were carried out by mixing equal volumes
of aqueous and organic phase (each 20 mL) in a screwed cap bottle for 30 minutes using
a Burrell wrist action shaker (model 75, USA) at ambient temperature (22 ± 1 oC). The shaken solutions were allowed to stand in a glass separatory funnel for phase
separation. The pH of the solution was measured by Orion Star thermal scientific pH
meter (model A221, USA). The metal concentration in aqueous phase before and after
extraction was determined by ICP-OES (Inductively coupled plasma-optical emission
spectrometry, Spectro Arcos). A Fourier transform infrared (FTIR-Vertex 80 V, Bruker,
Germany) spectrometer was employed to analyze the spectra of the reagents.
Extraction percentage (%E) was calculated from the concentration of metal ions in
the aqueous phases before [M]i and after [M]aq extraction:
%
E
=
M
i
-
M
a
q
×
100
M
i
, assuming that there was no change in the volume of the two phases after extraction.
The stripping percentage of metal was calculated as:
%
s
t
r
i
p
p
i
n
g
=
M
a
q
×
100
M
o
r
g
, where [M]org. and [M]aq. are the concentration of metal in the loaded organic solution before and in aqueous
phase after stripping, respectively.
3. RESULTS AND DISCUSSION
3.1 Extraction of Fe(III) by succinimide ILs
In order to investigate the extraction of Fe(III) by succinimide ILs, the initial
concentration of Fe(III) was fixed at 100 ppm and the concentration of ILs in organic
phase was controlled to 0.03 M by diluting with kerosene. In these experiments, the
initial pH of the aqueous chloride and sulfate solution was adjusted to pH 2. In an
extraction using ionic liquids, hydrogen ions can be extracted by the ionic liquids.
Therefore, the pH of both the chloride and sulfate solutions was maintained at 2 to
depress the extraction of hydrogen ions into the ionic liquids.
Figure 1 indicates that the extraction of Fe(III) from chloride solution by ILs was more efficient
than that from sulfate solution, with 70.6 and 14.8% for [C4min][N88SA] and 80.4 and
23.5% for [C4Py][N88SA]. The ion exchange mechanism could be responsible for the extraction
of Fe(III) in our conditions [21-23]. Differences in the structures of the cations in the ILs could lead to the difference
in the extraction percentage of Fe(III). Moreover, the formation of FeCl2+ complexes in chloride solution might also affect the extraction [24]. In the case of extraction with [C4Py][N88SA] from chloride solution, an increase
in equilibrium pH was observed, resulting in the formation of a Fe(III) precipitate.
In terms of extraction percentage, a slightly higher extraction of Fe(III) from both
the chloride and sulfate solutions was obtained with [C4Py][N88SA] than with [C4min][N88SA].
The solvent extraction reaction of Fe(III) can be proposed as
where B- is the [N88SA]- ion, R+ are the [C4min]+ and [C4Py]+ ions
3.2 Analyzing the interaction between Fe(III) and succinimide ILs using FT-IR spectra
To analyze the interaction between the Fe(III) and ILs, the FT-IR spectra of the ILs
and loaded phases were compared after the extraction of Fe(III) from the chloride
and sulfate solutions. The analysis was mainly based on changes in the characteristic
bands in the range of 1200-1900 cm-1, such as the C=O groups of amide and carboxylate, and the C=C of imidazolium and
pyridinium cations. The frequencies of the characteristic vibrational bands in the
analyses are presented in Table 2.
The peak at 1608 cm-1 is attributed to the stretching vibration of C=O, while the broad peaks at approximately
1577 cm-1 and 1658 cm-1 are the C=C of the aromatic ILs cations, and the C=O of the amide groups, respectively.
The disappearance of the peak corresponding to C=C after the extraction of iron (III)
(see Figs 2 and 3) indicates that an ion exchange occurs between Fe(III) and the cations in the ILs
([C4min]+ and [C4Py]+). Moreover, the change in the shape of peaks at 1658 cm-1 and the appearance of new peaks at 1715 cm-1 can be ascribed to the interaction between the Fe(III) and carboxylate groups. These
results of the FT-IR spectra are in good agreement with Eqs. (1) and (2).
3.3 Extraction of Fe(III) by Bif-ILs
The extraction of Fe(III) by Bif-ILs such as ALi-Cy, ALi-D2, and ALi-PC was compared
with the performance of individual extractants such Aliquat336, Cyanex272, D2EHPA,
and PC88A. The concentration of extractants was fixed at 0.01M and that of Fe(III)
was 100 ppm. However, the formation of an emulsion during shaking was observed, and
thus 0.1 M NaCl was added to the aqueous phase to prevent this phenomenon.
Figure 4 shows that D2EHPA was the most efficient extractant among organophosphorus acids,
with extraction percentages of 80.9 and 75.5% from the chloride and sulfate solutions.
The extraction percentage of Fe(III) by the organophosphorus acids was in the following
order: D2EHPA (pKa =3.24) > PC88A (pKa =4.51) > Cyanex272(pKa = 6.37) This observed order is in good agreement with the acid dissociation constant
of the organophosphorus acids. Besides, at this weak acidic condition, there was not
much difference in the extraction of Fe(III) from the chloride and sulfate solutions.
Therefore, the solvent extraction reaction can be represented as [9,25-27]
where HA represents organophosphorus acids.
Considering the structure of the Bif-ILs, they can act as either cationic or anionic
extractants depending on the existence of metal ions in the aqueous phase, as well
as interactions between the Aliquate336 cations and organophosphate anions in the
organic phase, which are responsible for their extractability [28,29].
Figure 5 indicates that the extraction of Fe(III) by Bif-ILs and Aliquat336 was more effective
from chloride media than from sulfate solution. The addition of NaCl into the aqueous
phase can enhance the formation of Fe(III) complexes such as FeCl2+, FeCl3 and FeCl4-, which improves the extraction of Fe(III) [24,30]. On the other hand, the extractability of Fe(III) by Bif-ILs was similar to that
of the corresponding organic acids. The extraction percentage of Fe(III) by Ali-D2
was lower than that obtained with D2EHPA. The extraction mechanism could be proposed
as:
where ALi is the Aliquat336 ion, A- are anions of the organophosphates.
3.4 Stripping of Fe(III)
To investigate the stripping behavior of Fe(III) from the various types of organic
phases, 3 M H2SO4 and 3 M HCl were employed as the stripping solutions. When stripping Fe(III) using
3 M H2SO4, there was little difference in the percentage of Fe(III) stripped from loaded organophosphorus
acids and Bif-ILs (see Figs 6. and 7.). This result is in a good agreement with the proposed solvent extraction reactions.
For the succinimide ILs, Fe(III) was more easily stripped from loaded [C4min][N88SA]
than from [C4Py][N88SA]. It is notable that only a small amount of Fe(III) was stripped
from loaded Aliquat336, which might be due to the occurrence of strong interactions
between the Aliquat336 and iron complexes. On the other hand, the percentage of Fe(III)
stripped from the loaded phases extracted from chloride media was higher than that
from sulfate media. These features might be due to the formation of stable iron complexes
in the chloride solution. The stripping reaction can be presented as
where A- and B- are anions of organophosphorus acids and succinimide ILs
Figures 8 and 9 show that stripping Fe (III) from loaded phases using 3 M HCl was better than using
3 M H2SO4, except for Bif-ILs and Aliquate336. Besides, the stripping from loaded phases extracted
from sulfate solutions was higher than that from chloride solutions. This might be
due to the formation of iron complexes in the concentrated HCl solution, which can
enhance the stripping of Fe(III). It is notable that the stripping of Fe(III) from
the loaded succinimide ILs exceeded 90%, whereas Fe(III) was not easily stripped from
loaded Bif –ILs. This might be attributed to the back extraction of Fe(III) during
stripping by the formation of FeCl3 or FeCl4- complexes in the concentrated HCl. The stripping reaction could be written as
Thus, [C4min][N88SA] can be considered an efficent extractant for the recovery of
Fe(III), with good extractability and easy stripping using HCl and H2SO4 solutions.
4. CONCLUSIONS
Two new succinimide ILs, [C4mine][N88SA] and [C4Py]][N88SA] and several Bif-ILs were
employed to recover Fe(III) from chloride and sulfate media in weak acidic solutions.
The results showed the presence of chloride ions in the aqueous solution enhanced
the extraction of Fe(III) by ILs. However, chloride ions did not affect the extraction
of Fe(III) by organophosphorus acids. The extractability of Fe(III) by extractants
was in the order: organophosphorus acids > Bif-IL > succinimide ILs. The ion exchange
mechanism for the extraction of Fe(III) by the succinimide ILs was confirmed by analyzing
FT-IR spectra of the organic phase before and after extraction. The loss of succinimide
ILs components was observed, which should be circumvented.
The stripping of Fe(III) from loaded organophosphorus acids, Bif-ILs, and succinimide
ILs by H2SO4 showed good effectiveness. Fe(III) was easily stripped from loaded organophosphorus
acids and succinimide ILs by HCl, whereas the stripping of Fe(III) from the loaded
Bif-ILs was very difficult. Our results show that [C4mine][N88SA] can be employed
for the recovery of Fe(III) from chloride and sulfate media, based on extraction and
stripping performance. Based on the experimental results, Bif-ILs can be considered
an efficient extractant for the recovery of iron(III). Succimide ILs are promising
extractants for the recovery of iron, based on their excellent stripping performance.
However, before the application of succimide ILs, further work will be needed to commercialize
their synthesis at a reasonable price.
Acknowledgements
The authors express thanks to the help by Ms Nizakat Azra in synthesizing the TSILs.
This work was supported by a grant from the Korean Research Foundation (2018R1D1A1BO7044951).
REFERENCES
Lee M. S., Lee K. J., Hydrometallurgy,80, 163 (2005)

A A., Lateef I., Adekola F. A., Bale R. B., Ghosh M. K., Sheik A. R., Pradhan S. R.,
Ayanda O. S., Folorunsho I. O., J. Minerals Mat. Charac. Eng,2, 230 (2014)

Oh S. J., Jun J. H., Lee M. H., Shon I. J., Lee S. J., Met. Mater. Int,24, 597 (2018)

Sagaradze V., Shabashov V., Kataeva N., Kozlov K., Arbuzov V., Danilov S., Ustyugov
Y., Met. Mater. Int,24, 249 (2018)

Quijada-Maldonado E., Romero J., Osorio I., Hydrometallurgy,159, 54 (2016)

Saji J., Reddy M. L., Hydrometallurgy,61, 81 (2001)

Ali M., Biswas R., Salam S., Akhter A., Karmakar A., Ullah M., BJSIR,46, 407 (1970)

Ma H. R., Li H., Wu W., Qiao X. R., Res. Chem. Intermediat,43, 2333 (2016)

Liu Y., Nam S. H., Lee M. S., Bull. Korean Chem. Soc,25, 2109 (2014)

Demopoulos G. P., Gefvert D. L., Hydrometallurgy,12, 299 (1984)

Mishra R. K., Rout P. C., Sarangi K., Nathsarma K. C., Hydrometallurgy,108, 93 (2011)

Kogelnig D., Stojanovic A., Jirsa F., Körner W., Krachler R., Keppler B. K., Sep.
Purif. Technol,72, 56 (2010)

Matsumiya M., Yamada T., Kikuchi Y., Kawakami S., Solvent Extr. Ion Exc,34, 522 (2016)

Regel-Rosocka M., Nowak L., Wiśniewski M., Sep. Purif. Technol,97, 158 (2012)

Pius D. O., Yusuke K., Michiaki M., Chem. Eng. Trans,57, 1135 (2017)

De los Ríos A. P., Hernández-Fernández F. J., Alguacil F. J., Lozano L. J., Ginestá
A., García-Díaz I., Godínez C., Sep. Purif. Technol,97, 150 (2012)

Kim B. K., Lee E. J., Kang Y., Lee J. J., J. Ind. Eng. Chem,61, 388 (2018)

Vander Hoogerstraete T., Wellens S., Verachtert K., Binnemans K., Green Chem,15, 919
(2013)

Tran T. T., Azra N., Iqbal M., Lee M. S., (submitted), Sep. Purif. Technol,

Fortuny A., Coll M. T., Sastre A. M., Sep. Purif. Technol,97, 137 (2012)

Shimojo K., Goto M., Anal. Chem,76, 5039 (2004)

Jensen M. P., Dzielawa J. A., Rickert P., Dietz M. L., JACS,124, 10664 (2002)

Regle-Rosocka M., Wisniewki M., Ionic Liquids in Separation of Metal Ions from Aqueous
Solution,Applications of Ionic Liquids in Science and Technology,375-398, InTech (2011)


Liu W., Etschmann B., Brugger J., Spiccia L., Foran G., McInnes B., Chem. Geol,231,
326 (2006)

Matsuyama H., Miyake Y., Izumo Y., Teramoto M., Hydrometallurgy,24, 37 (1990)

Naik M. T., Dhadke P. M., J. Chem. Eng. Data,44, 1037 (1999)

Suárez C., Ahumada E., Orellana F., Hein H., Cote G., Lizama H., J. Chem. Tech. Biotech,77,
183 (2002)

Oh C. G., Lee M. S., Korean J. Met. Mater,56, 870 (2018)

Le M. N., Son S. H., Lee M. S., Korean J. Met. Mater,57, 162 (2019)

Gamlen G. A., Jordan D. O., J. Chem. Soc,295, 1435 (1953)

Figures and Tables
Fig. 1.
Extraction percentage of Fe(III) in chloride and sulfate solution at pH = 2 by 0.03
M succinimide ILs.
Fig. 2.
The peaks of functional groups of spectra were modified.
Fig. 3.
The peaks of functional groups of spectra were modified.
Fig. 4.
Extraction percentage of Fe(III) in chloride and sulfate solution at pH = 2 by 0.01
M organophosphorus acids.
Fig. 5.
Extraction percentage of Fe(III) in chloride and sulfate solutions at pH = 2 by 0.01
M Bif-ILs and Aliquat336.
Fig. 6.
Stripping of iron from the loaded organophosphorus acids by 3 M H2SO4.
Fig. 7.
Stripping of Fe(III) from the loaded ILs by 3 M H2SO4.
Fig. 8.
Stripping of Fe(III) from the loaded organophosphorus acids by 3 M HCl.
Fig. 9.
Stripping of Fe(III) from the loaded ILs by 3 M HCl.
Table 1.
The structure of ionic liquids
Table 2.
Frequencies of characteristic vibrational bands of succinimide ILs and loaded phases
after extraction of Fe(III) in kerosene
|
ILs and loaded phases
|
C=O (amide groups) (cm-1)
|
C=C (cm-1)
|
C=O (carboxylate group) (cm-1)
|
C=O (carboxylate group) (cm-1)
|
|
[C4min][N88SA]
|
1608.4
|
1576.2
|
1658.2
|
-
|
|
FeCl3-[C4min][N88SA]
|
1608.4
|
-
|
1658.2
|
1715.9
|
|
Fe2(SO4)3-[C4min][N88SA]
|
1608.4
|
-
|
1658.2
|
1715.9
|
|
[C4Py][N88SA]
|
1608.4
|
1577.7
|
1648.9
|
-
|
|
FeCl3-[C4Py][N88SA]
|
1608.4
|
-
|
1658.7
|
1714.8
|
|
Fe2(SO4)3-[C4Py][N88SA]
|
1608.4
|
-
|
1658.7
|
1714.8
|