황의경
(Ui Gyeong Hwang)
1
임영수
(Young Soo Lim)
1*
-
부경대학교 신소재시스템공학과
(Department of Materials System Engineering, Pukyong National University, Busan 48547,
Republic of Korea)
Copyright © 2019 The Korean Institute of Metals and Materials
Key words
thermoelectric, Bi2Te3, interface control, reduced graphene oxide
1. 서 론
열전 에너지 변환기술은 폐열을 활용한 열전발전에서 전자 냉각에 이르기까지 다양한 응용분야로 인하여 많은 관심을 받아왔다 [1,2]. 열전소자의 에너지 변환효울은 소자를 구성하고 있는 열전소재의 성능, 즉 ZT (=S2σT/κ, S는 제벡 계수, σ는 전기전도도, T는 절대 온도, κ는 열전도도)에 의해 결정된다. 여러 소재들 중에서, Bi2Te3계 화합물은 1954년 Goldsmid에 의해 최초의 현대적 열전기술이 선보인 이래 상온 근처의 온도에서 유일하게 상용화된 열전소재이다 [3,4]. 이러한 Bi2Te3계 열전소재의 ZT를 향상시키기 위하여 다양한 시도들이 이뤄져 왔는데, 이는 크게 두 가지로 구분할 수 있다. 한 가지는 이종 원소를 합금 또는 도핑함으로써 출력인자(=S2σ)를 향상시키는 것이고 [5-9], 다른 하나는 결정에 점결함, 나노 분산체, 결정립계 등 다양한 결함을 도입함으로써 포논의 산란을 증진시켜 격자 열전도도를 낮추는 것이다 [10-15]. 이러한 시도들을 통하여 Bi2Te3계 열전소재에서 ZT의 향상이 이뤄져왔으며, 용매열합성법을 통해 제작된 나노입자를 이용한 n형 bismuth telluride selenide (BTS)에서 1.23의 높은 ZT가 보고된 바 있다 [15].
한편, 최근에는 graphene과의 복합화를 통한 열전소재의 ZT 향상이 시도되고 있다 [16-20]. Graphene 복합소재는 수퍼 커패시터, 리튬 이온 배터리, 광촉매 등과 같은 다양한 에너지 분야에 적용되어 왔지만 [21-23], 열전소재로의 적용은 높은 잠재력에도 불구하고 아직 초기단계에 머물러 있다. 우선, 그래핀 복합소재는 percolated graphene network를
통해 전기전도도의 향상이 가능하며, 이와 관련되어 많은 결과들이 문헌이 보고된 바 있다 [24-26]. 이러한 percolation에 의한 전기전도도 향상 이외에도, 우리 연구그룹은 graphene이 기지(matrix)와 적절한 에너지 밴드 정렬을
이룰 경우 입계산란 (grain boundary scattering)을 완화시켜 나노결정립으로 구성된 graphene-산화물 복합체에서도 단결정 수준의
전기전도특성을 나타낼 수 있음을 보고하였다 [27]. 뿐만 아니라, graphene 복합화 전략은 열전도도의 측면에서도 ZT 향상에 유리하다. Graphene은 열전도도가 매우 높은 물질이지만, graphene 복합체의 결정립계에서 포논을 산란시켜 격자열전도도를 낮출 수
있으며, 산화물계, 칼코게나이드계, 스커테루다이트계 등 다양한 소재 시스템에서 graphene 복합화를 통해 격자 열전도도의 저감을 통한 ZT 향상이 보고된 바 있다 [16-20].
본 연구에서는 graphene 복합화가 n-형 BTS의 열전수송특성에 미치는 효과에 대해 보고한다. 본 실험에서 BTS와 graphene 복합화는 그래핀 산화물(graphene oxide,
GO)을 환원시켜 시도하였다. 우선 BTS 분말을 제작한 후 이를 GO로 코팅하여 BTS-GO 복합분말을 제작하였다. 복합분말을 우선 수소 분위기에서
열처리함으로써 GO를 환원 그래핀 산화물 (reduced graphene oxide, RGO)로 환원하였다. 환원된 분말을 다시 방전 플라즈마 소결법
(spark plasma sintering, SPS)로 소결함으로써, 소결 시의 높은 전류밀도에 의해 RGO에 잔류하고 있는 산소가 추가로 환원된
BTS-RGO 복합체를 제작하였다 [20]. 이러한 공정의 개략도를 그림 1에 간략하게 나타내었다. 이상과 같은 방법으로 제작된 BTS-RGO 복합체에서 RGO 함량 증가에 따른 이동도의 감소가 관찰되었으며, 이는 출력인자의
감소를 가져왔다. 한편, RGO 복합화는 열전도도의 저감을 이끌어 내었으며, 결국 낮은 출력인자에도 불구하고 ZT의 상승을 가능하게 하였다. 이러한
연구를 통하여 RGO가 BTS의 열전수송특성에 미치는 다양한 효과를 규명할 수 있었으며, 이러한 RGO 계면제어가 열전수송특성에 미치는 영향에 대한
이해는 앞으로 다양한 열전소재에서 graphene 복합화를 통한 ZT 향상을 추구하는데 도움이 될 것으로 기대한다.
2. 실험 방법
본 연구를 위해 조성이 Bi2Te2.7Se0.3인 BTS 잉곳을 진공용융법으로 합성하였다. Bi (99.999%, 5N Plus), Te (99.999%, 5N Plus) 및 Se (99.999%,
5N Plus) 원료물질을 칭량 후 석영관에 진공 밀봉하고, 1273 K에서 6시간 동안 용융시킨 다음, 973 K에서 3시간 동안 어닐링한 뒤 수냉시켜
잉곳을 제작하였다. 이와 같이 제작된 잉곳을 고 에너지 볼밀(Planetary mill, Pulverisette 6, Fritsch)을 활용하여 BTS
분말로 분쇄하였다. 분쇄된 분말을 N, N-Dimethylformamaide (DMF, C3H7NO, Sigma-Aldrich) 200 ml가 담긴 플라스크 내에서 0, 0.1 및 0.2 wt%의 그래핀 산화물 (Graphene Supermarket)과
함께 혼합하고, 353 K에서 1 시간 동안 자기 교반기로 교반하였다. 이후 실온에서 24 시간 동안 시효 처리한 후, 원심분리기를 사용하여 10,000
rpm으로 10분간 원심분리 한 다음, 진공오븐에서 60 oC의 온도로 24시간 건조시켜 BTSGO 복합 분말을 제작하였다. 제작된 복합 분말은 환원로에서
Ar-4% H2 혼합가스를 이용하여 400 oC의 온도에서 4 시간 동안 환원을 수행한 후, SPS (WT 4000A, Well Tech)로 753 K의 온도에서
5분 동안 50 MPa의 압력으로 소결하여 최종적으로 BTS-RGO 복합체를 제작하였다.
소결체의 밀도는 아르키메데스 (Archimedes)법으로 측정하였으며 모든 시료에서 상대밀도가 95% 이상의 값을 나타내었다. 소결체의 결정구조는
X-선 회절법 (XRD, Ultima 4, Rigaku)을 사용하여 분석하였다. 미세구조 특성은 주사전자현미경 (SEM, Verios 460L, FEI)과
투과전자현미경 (TEM, JEM-2100F, JEOL)을 이용하여 분석하였다. 전기전도도와 제벡 계수는 4단자법에 기반한 열전특성 측정장치 (ZEM-3,
Ulvac-Riko)로 측정하였으며, 열전도도는 레이저 섬광법 (LFA-457. Netzsch)을 활용하여 측정하였다. 본 연구에서 전기전도도, 열전도도,
Seebeck 계수는 모두 SPS 공정 중 가압 축에 수직인 방향으로 측정하였다.
3. 결과 및 고찰
그림 2(a)는 앞서 기술한 방법으로 제작된 BTS-GO 복합분말의 TEM 상이며, (b)는 표면영역의 HRTEM 상을 보여준다. BTS 입자의 표면은 그림에서
보이듯 GO로 균일하게 코팅이 되어있으며, 따라서 본 공정을 통한 BTSGO 복합분말이 성공적으로 제작되었음을 알 수 있다. 이렇게 제작된 분말을
수소 분위기에서 열처리하여 GO를 RGO로 환원하였으며, SPS 방식으로 소결함으로서 추가의 환원을 유도하여 BTS-RGO 복합체를 제조하였다 [20].
이상과 같이 제작된 복합체의 파단면을 SEM으로 관찰하였다. 그림 2(c)-(e)에서 보이듯 입계는 무질서한 방위로 존재하며, 따라서 소결에 따른 BTS의 우선배향은 무시할만한 수준임을 알 수 있다, 특히, RGO의 함량이 증가함에
따라 결정립 크기의 감소가 명확하게 관찰되는데, 이것은 입계에 존재하는 RGO가 소결 시 결정립의 성장을 방해함으로써 발생한 것으로 이를 통해 RGO
네트워크가 복합체 내에 고르게 분포하는 것을 알 수 있다 [17,27].
그림 3은 BTS-GO 복합분말을 소결하여 제작한 BTSRGO 복합체의 XRD pattern을 보여준다. 모든 복합체에서 회절 pattern은 Bi2Te3의 표준 분말회절 pattern (JCPDS #15-0863)과 잘 일치하였으며, 상대강도 역시 유사한 것으로 보아 복합체 내에서 각각의 결정립은
무작위한 방위를 지닌 것을 확인할 수 있다. 이는 그림 2(c)-(e)에서 관찰한 SEM 결과와 잘 일치한다. 또한, RGO 복합체의 XRD pattern에서 RGO가 BTS와의 반응을 통한 이차상 형성은 전혀 관찰되지
않았다.
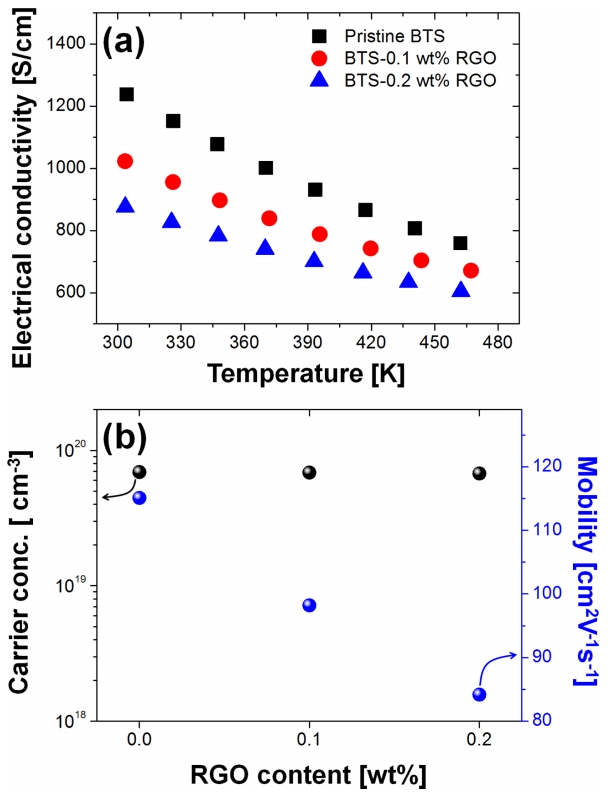
그림 4(a)는 BTS-RGO 복합체의 온도에 따른 전기전도도를 나타낸다. 모든 시료에서 전기전도도가 온도 증가에 따라 감소하였으며, 이를 통해 격자산란(lattice
scattering)이 전하수송을 지배하는 금속성 전기전도 특성(metallic conduction behavior)을 나타냄을 알 수 있다 [28]. 한편, RGO의 함량 증가에 따라 전기전도도가 감소하는 특징이 관찰되었으며, 그 원인을 확인하기 위하여 상온에서 Hall 측정을 수행하였다.
그림 4(b)와 표 1에 보이듯, 전자의 농도는 RGO 함량에 따른 영향이 거의 없는 반면 이동도는 비교적 빠르게 감소하였다. 따라서 RGO 함량 증가에 따른 이동도의
감소가 전기전도도 감소의 주된 원인임을 확인하였다. 이러한 이동도의 감소는 그림 1에서 관찰한 결정립의 크기 감소에 따른 입계산란 (grain boundary scattering)에 의한 것일 수 있으며, 또한 결정립계에 존재하는
RGO가 전자의 이동을 방해하는 것에 기인할 수 있다.
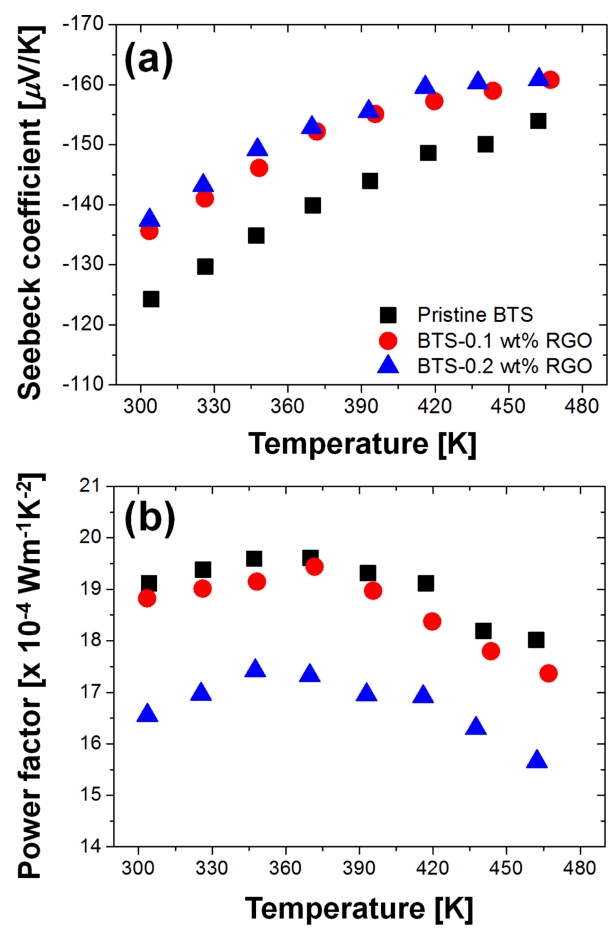
그림 5(a)는 BTS-RGO 복합체의 온도에 따른 Seebeck계수를 나타낸다. 모든 시료에서 음의 Seebeck 계수가 온도에 따라 절대값이 증가하는 것으로부터
n-형 외인성 반도체의 특성이 잘 관찰되었다. 400 K 이하의 상대적으로 저온 구간에서는 Seebeck 계수가 온도에 선형적으로 비례하는데, 그 이상의
온도에서는 선형성에서 벗어나는 것으로 보아 약 400 K의 온도 근처에서 외인성-내인성 천이 (extrinsic-intrinsic transition)가
발생하는 것을 알 수 있다 [29].
한편, BST-RGO 복합체에서 RGO의 함량이 증가함에 따라 Seebeck 계수가 지속적으로 증가하는 현상이 관찰되었다. Seebeck 계수는 아래의
식(1)과 같은 Pisarenko relation으로 나타낼 수 있다 [30].
여기서 kB는 볼츠만 상수, q는 전하량, h는 플랑크 상수, md*는 상태밀도 유효질량, 그리고 n은 전자 농도를 나타낸다. 앞서 그림 4(b)에서 살펴본 바와 같이 복합체의 전하 농도는 RGO 함량에 따라 거의 변화가 없었으나, Seebeck계수는 상대적으로 크게 변화하였으므로 계면에 존재하는
RGO가 복합체의 유효질량 (effective mass)을 증가시켰음을 알 수 있다. 식(1)을 활용하여 복합체의 상태밀도 유효질량을 계산하였으며 [31], 그 값은 RGO 함량이 0, 0.1, 0.2wt%일 때 각각 1.04, 1.13, 1.13 me였다. 이를 통하여 RGO 복합화에 따른 유효질량의 증가가 그림 4(b)에서 관찰된 이동도 감소의 한 원인이 됨을 알 수 있다. 이상과 같은 RGO 복합화에 따른 전기전도도와 Seebeck 계수의 영향이 복합적으로 작용한
출력인자를 그림 5(b)가 보여준다. RGO 복합화에 따라 출력인자가 감소하는 경향이 모든 온도에서 관찰되었다. 이는 RGO 복합화에 따른 유효질량의 증가로 Seebeck
계수가 상승하였지만, 한편 이동도의 감소에 따른 전기전도도의 감소로 인하여 출력인자가 감소하였기 때문이다.
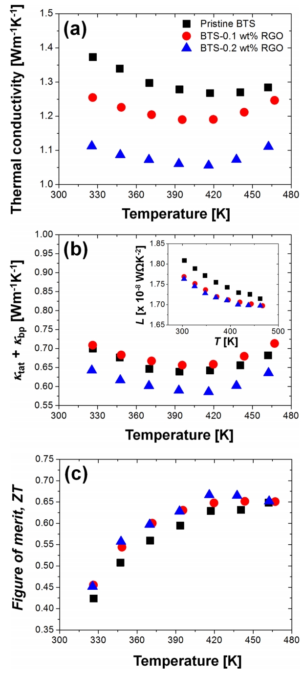
그림 6(a)는 BTS-RGO 복합체의 온도에 따른 열전도도(κtotal)를 나타낸다. RGO 복합화에 따라 열전도도의 저감이 명확하게 관찰되는데, 열전도도는 격자 열전도도 (lattice thermal conductivity,
κlat), 전자 열전도도 (electronic thermal conductivity, κel) 및 양극성 열전도도 (bipolar thermal conductivity, κbp)의 합으로 구성된다. 먼저, 그림 4(a)에서 관찰된 바와 같이 전기전도도의 감소에 따른 전자 열전도도 (κel = LσT, 여기서 L은 Lorenz number)의 감소 효과를 확인하기 위하여 acoustic phonon scattering 조건으로 Fermi integral을
활용하여 Lorenz number를 계산하였으며 [32], 이를 그림 6(b)의 inset에 나타내었다. 이로부터 계산된 전자 열전도도를 전체 열전도도에서 빼주면 격자 열전도도와 양극성 열전도도의 합(κtotal − κel= κlat + κbp)을 구할 수 있으며, 이를 그림 6(b)가 보여준다. 400 K 이상의 온도에서는 모든 시료에서 온도 증가에 따라 이 값이 증가하는데 이는 외인성-내인성 천이에 의해 양극성 열전도도가 증가하기
때문으로, 이 결과는 그림 5(a)에서 관찰된 Seebeck 계수의 온도의존성과 잘 일치한다. 한편, 천이온도 이하에서는 양극성 열전도도를 무시할 수 있으므로, 그림 6(b)에서 400 K 이하의 온도구간에서의 값은 실질적으로 격자 열전도도를 의미한다. BTS 복합체에서 RGO 함량이 0.1 wt%일 때에는 계면제어가
되지 않은 BTS와 유사한 수준의 격자 열전도도를 나타내었으나, 0.2 wt%인 경우에는 격자 열전도도의 명확한 감소가 나타났다. 이는 결정립 크기의
감소와 함께 입계에 존재하는 RGO에 의해 여분의 phonon 산란에 의한 것으로 여겨진다 [17,20]. 이러한 결과로 부터 RGO 복합화를 통한 계면제어에 의해 BTS-RGO 복합체의 격자 열전도도 저감이 가능함을 규명하였다.
RGO 복합화가 BTS의 열전수송특성에 미치는 종합적 영향을 ZT가 보여주며, 이를 그림 6(c)에 나타내었다. RGO 복합화에 의한 출력인자의 감소에도 불구하고, 모든 BTSRGO 복합체에서 BTS 대비 높은 ZT를 나타냈으며 이는 복합화에 따른 열전도도의 저감에 기인하였다. 특히, 가장 낮은 출력인자를 나타내었던 BTS-0.2 wt% RGO 복합체에서 가장
높은 ZT가 관찰되었는데, 이는 그림 6(b)에서 확인된 것과 같이 격자 열전도도의 저감에 기인하였다. 본 연구에서는 비록 소폭의 ZT 향상이 구현되었으나, RGO를 활용한 계면제어를 통해 기존 소재의 열전성능의 향상이 가능함을 제시하였다.
4. 결 론
본 연구에서는 RGO를 이용한 계면제어가 BTS-RGO 복합체의 열전수송특성에 미치는 영향에 대해 보고하였다. 미세구조 분석을 통하여 RGO 복합화가
BTS의 결정립 성장을 억제하는 것을 관찰함으로써 RGO network가 결정립계에 균일하게 분포함을 간접적으로 확인하였다. RGO 복합화는 전하농도에는
큰 영향을 미치지 않았으나, 이동도의 감소를 가져왔다. 이러한 이동도의 감소는 결정립의 크기 감소에 따른 입계산란의 영향과 함께 유효질량의 증가에
의한 것으로 여겨진다. 이러한 유효질량의 증가는 Seebeck 계수의 상승을 가져왔으나, 전기전도도의 감소효과가 더욱 커서 결과적으로 출력인자의 상승을
유도하지는 못하였다. 한편, RGO 복합화를 통하여 전기전도도의 감소에 따른 전자 열전도도의 저감 뿐만 아니라 격자 열전도도의 저감이 가능하였으며,
BTS-RGO 복합체의 낮은 출력인자에도 불구하고 ZT의 상승을 구현하였다.
Acknowledgements
본 연구는 한국연구재단 중견연구자지원사업 후속연구지원(2018R1A2A2A05020902)을 통해 수행되었습니다.
REFERENCES
Bell L. E., Science,321, 1457 (2008)

Disalro F. J., Science,285, 703 (1999)

Goldsmid H. J., Douglas R. W., Brit. J. Appl. Phys,5, 386 (1954)

Goldsmid H. J., Materials,7, 2577 (2014)

Scherrer H., Scherrer S., Chap. 27, Thermoelectrics Handbook Macro to Nano,CRC (2006)

Yim W. M., Rosi F. D., Solid-State Electron,15, 1121 (1972)

Hao F., Qiu P., Tang Y., Bai S., Xing T., Chu H.-S., Zhang Q., Lu P., Zhang T., Ren
D., Chen J., Shi X., Chen L., Energy Environ. Sci,9, 3120 (2016)

Hu L.-P., Zhu T.-J., Wang Y.-G., Xie H.-H., Xu Z.-J., Zhao X.-B., Z.-J. Xu, NPG Asia
Mater,6, e88 (2014)

Lim Y. S., Song M., Lee S., Ahn T.-H., Park C., Seo W.-S., J. Alloy. Compd,687, 320
(2016)

Wu F., Wang W., Hu X., Tang M., Prog. Nat. Sci,27, 203 (2017)

Poudel B., Hao Q., Ma Y., Lan Y., Minnich A., Yu B., Yan X., Wang D., Muto A., Vashaee
D., Chen X., Liu J., Dresselhaus M. S., Chen G., Ren Z., Science,320, 634 (2008)

Ko J., Kim J. Y., Choi S. M., Lim Y. S., Seo W.-S., Lee K. H., J. Mater. Chem. A,1,
12791 (2013)

Kim S. I., Lee K. H., Mun H. A., Kim H. S., Hwang S. W., Roh J. K., Yang D. J., Shin
W. H., Li X. S., Lee Y. H., Snyder G. J., Kim S. W., Science,348, 109 (2015)

Son J. S., Choi M. K., Han M.-K., Park K., Kim J.-Y., Lim S. J., Oh M., Kuk Y., Park
C., Kim S.-J., Hyeon T., Nano. Lett,12, 640 (2012)

Hong M., Chasapis T. C., Chen Z.-G., Yang L., Kanatzidis M. G., Snyder G. J., Zou
J., ACS Nano,10, 4719 (2016)

Shin W. H., Ahn K., Jeong M., Yoon J. S., Song J. M., Lee S., Seo W.-S., Lim Y. S.,
J. Alloy. Compd,718, 342 (2017)

Nam W. H., Lim Y. S., Kim W., Seo H. K., Dae K. S., Lee S., Seo W.-S., Lee J. Y.,
Nanoscale,9, 7830 (2017)

Lee S. T., Lim Y. S., Korean J. Met. Mater,56, 163 (2018)

Chen D., Zhao Y., Chen Y., Wang B., Chen H., Zhou J., Liang Z., ACS Appl. Mater. Interfaces,7,
3244 (2015)

Zong P., Hanus R., Dylla M., Tang Y., Liao J., Zhang Q., Snyder G. J., Chen L., Energy
Environ. Sci,10, 183 (2017)

Gonzalez A., Goikolea E., Barrena J. A., Mysyk R., Renew. Sustain. Energy Rev,58,
1189 (2016)

Kucinskis A., Bajars G., Kleperis J., J. Power Sources,240, 66 (2013)

Li X., Yu J., Wageh S., Al-Ghamdi A. A., Xie J., Small,12, 6640 (2016)

Stankovich S., Dikin D. A., Dommett G. H. B., Kohlhaas K. M., Zimney E. J., Stach
E. A., Piner R. D., Nguyen S. T., Ruoff R. S., Nature,442, 282 (2006)

Watcharotone S., Dikin D. A., Stankovich S., Piner R., Jung I., Dommett G. H. B.,
Evmenenko G., Wu -E., Chen S.-F., Liu C.-P., Nguyen S. T., Ruoff R. S., Nano Lett,7,
1888 (2007)

Fan Y., Jiang W., Kawasaki A., Nano Lett,22, 3882 (2012)

Nam W. H., Kim B. B., G S., Lim Y. S., Kim J.-Y., Seo W.-S., Choi W. K., Park H. J.,
Lee J. Y., Nano Lett,14, 5104 (2014)

Mahn J., Tak J.-Y., Lee S., Seo W.-S., Cho H. K., Lim Y. S., J. Alloy. Compd,696,
213 (2017)

Lim Y. S., Park K.-H., Tak J.-Y., Lee S., Seo W.-S., Park C.-H., Kim T. H., Park P.,
Kim I.-H., Yang J., J. Appl. Phys,119, 115104 (2016)

Snyder G. J., Toberer E. S., Nature Mater,7, 105 (2008)

Lim Y. S., Lee S., Korean J. Met. Mater,55, 651 (2017)

Liu W.-S., Zhang Q., Lan Y., Chen S., Yan X., Zhang Q., Wang H., Wang D., Chen G.,
Ren Z., Adv. Energy Mater,1, 577 (2011)

Figures and Table
Fig. 1.
A schematic of the fabrication of interface-controlled BTS-RGO composites.
Fig. 2.
(a) A TEM micrograph of BTS-GO hybrid powder and (b) a HRTEM micrograph showing the
surface of the hybrid powder. (c)- (e) are SEM micrographs of the fractured surfaces
of BTS-RGO composites with 0, 0.1 and 0.2 wt% GO, respectively.
Fig. 3.
XRD patterns of the BTS-RGO composites.
Fig. 4.
(a) Temperature-dependent electrical conductivities of the BTS-RGO composites on a
semi-logarithmic scale and (b) Hall measurement results at room temperature.
Fig. 5.
(a) Temperature-dependent Seebeck coefficients and (b) power factors of the BTS-RGO
composites.
Fig. 6.
(a) Temperature-dependent total thermal conductivity, (b) κlat + κbp, and (c) ZT of the BTS-RGO composites. Calculated Lorenz nubmers are shown in the
inset of (b).
Table 1.
Hall measurements of BTS-RGO composites at roomtemperature.
|
Sample
|
σ [Scm-1]
|
n [cm-3]
|
μ [cm2V-1s-1]
|
|
Pristine BTS
|
1271
|
6.90 × 1019 |
115.1
|
|
BTS-0.1 wt% RGO
|
1074
|
6.84 × 1019 |
98.2
|
|
BTS-0.2 wt% RGO
|
897
|
6.73 × 1019 |
84.2
|