The Journal of
the Korean Journal of Metals and Materials

The Journal of
the Korean Journal of Metals and Materials

Monthly
  • pISSN : 1738-8228
  • eISSN : 2288-8241

Editorial Office


  1. 서울시립대학교 신소재공학과 (Department of Materials Science and Engineering, University of Seoul, Seoul 02504, Republic of Korea)



electron transport layer, graphene oxide, perovskite grain, AFM, perovskite solar cells

1. 서 론

페로브스카이트는 양이온과 음이온이 결합한 3차원의 결정구조를 갖는 물질을 말하며, ABX3 구조의 A와 B는 서로 다른 양이온(A = MA(CH3NH3), FA(CH(NH2)2), B = Pb)이며, X는 음이온(X = Br, I, Cl)으로 이루어져 있다[1]. 이를 채용한 태양전지는 페로브스카이트 태양전지(perovskite solar cells; PSCs)로 2009년 약 4%의 효율을 처음 보고한 뒤, 5년 만에 약 16%의 효율이 보고되었다. 또한 2019년 현재 약 23%의 최고 효율이 보고되어 차세대 태양전지로써의 연구가 활발하다 [2].

이러한 PSC는 전자의 이동방향에 따라 역방향 구조와 정방향 구조로 구분이 가능하며, 역방향 구조는 glass/transparent conducting oxide(TCO)/hole transport layer(HTL)/perovskite/electron transport layer(ETL)/metal electrode로 구성되어 있고, 정방향 구조는 glass/TCO/ETL/perovskite/HTL/metal electrode로 구성되어 있다 [3].

역방향 구조 PSC의 TCO는 전기적 특성이 우수한 indium tin oxide(ITO)를 채용하고 있으며, 전자전달층(ETL)으로 phenyl C61 butyric acid methyl ester(PCBM)을 주로 이용하고 있다 [4]. 그러나 ITO와 PCBM은 400℃이상 온도에서 전기적 특성이 변화하기 때문에 열처리 공정의 온도를 한정해야 한다. 또한 평평한 기판 위에 페로브스카이트를 형성하기 때문에 페로브스카이트의 두께가 얇게 형성되어 기존의 PSC보다 상대적으로 낮은 단락전류밀도(short circuit current density, Jsc)로 인하여 낮은 에너지변환효율(energy conversion efficiency, ECE)을 나타낸다. 따라서 역방향 구조 PSC의 구조적인 문제로 인한 에너지변환효율(ECE) 한계로 정방향 구조 PSC 연구가 활발히 이루어지고 있다.

이러한 정방향 구조 PSC의 TCO는 고온 열처리 공정이 가능한 fluorine doped tin oxide(FTO)를 채용하고 있으며, 전자전달층(ETL)은 mesoporous TiO2를 500 ℃에서 소결하여 사용하고 있다 [5]. 이때 mesoporous TiO2는 페로브스카이트가 형성되는 뼈대로 작용하여 두꺼운 페로브스카이트 형성이 가능하다 [6]. 두꺼운 페로브스카이트 층으로 인하여 정방향 구조 PSC에서 상대적으로 높은 단락전류밀도(Jsc)로 인한 우수한 에너지변환효율(ECE)이 보고되고 있다.

그러나 TiO2의 경우, oxide 물질로 전기저항이 높은 문제를 가지고 있으며 [7], 이를 개선하기 위해 TiO2 대체물질을 사용하거나 TiO2에 탄소계 물질을 혼합한 연구가 활발하다. Liu 등[8]은 TiO2 대신 SnO2를 재결합방지층 및 전자전달층(ETL)으로 채용하였으며, 이는 기계적 안정성과 화학적 안정성이 향상되어 공기 중의 습도에 의한 페로브스카이트의 열화를 방지하고, 소자 수명을 3000시간 이상 향상시킨 결과를 보고한 바 있다. 그러나 SnO2를 전자전달층(ETL)으로 채용한 소자의 경우, 기존 TiO2 층은 30분만에 제작이 가능한 반면, SnO2 층을 형성하는데 4시간이 소요되어 장시간 공정이 필요한 문제가 있었다.

Bati 등[9]은 TiO2에 탄소계 물질인 s-SWCNT와 m-SWCNT를 혼합하여 전자전달층(ETL)으로 채용하였으며, 이때 s-SWCNT는 반도체 성질을 나타내고, m-SWCNT는 금속 성질을 나타낸다. 이러한 성질을 이용하여 s-SWCNT와 m-SWCNT를 2:1 비율로 TiO2와 혼합하여 향상된 단락전류밀도(Jsc)와 개방전압(voltage open circuit; Voc)을 통해 19.35%의 에너지변환효율(ECE)을 갖는 PSC를 보고한 바 있다. 그러나 성질이 다른 두 종류의 SWCNT는 재료의 적정비를 도출하는 과정에서 시간과 비용이 많이 소요되는 문제가 있었다.

Han 등[10]은 0.4 vol%의 reduced graphene oxide(rGO)를 mesoporous TiO2에 혼합하여 소자의 계면 저항을 줄이고 전기전도도를 향상시켜 기존 소자보다 효율이 17.39% 증가된 13.50%의 에너지변환효율(ECE)을 갖는 PSC를 보고한 바 있다. 그러나 rGO를 채용할 경우, rGO 제작 기간만 5일 이상의 시간이 소요되기 때문에 PSC 제작 공정시간이 증가하는 문제가 있었다.

이와 같이 정방향 구조 PSC의 효율을 높이기 위한 연구로는 전자전달층(ETL)의 TiO2를 대체하거나 탄소계 재료를 혼합한 연구가 보고되고 있으나, 아직까지 graphene oxide(GO)를 혼합하여 이들의 광전기적 특성 및 혼합된 전자전달층(ETL)과 상부 페로브스카이트 층의 미세구조 변화를 비교한 연구는 보고된 바 없다.

따라서, 본 연구에서는 정방향 구조 PSC의 mesoporous TiO2에 수용액 상태인 GO를 각각 0.0, 0.3, 0.5, 0.7 wt% 혼합하여 전자전달층(ETL)을 제작하고, 혼합된 GO 양에 따른 PSC의 광전기적 특성과 미세구조의 영향을 확인하고자 하였다.

2. 실험방법

본 연구에서는 GO 수용액 혼합 양에 따른 PSC의 물성을 확인하기 위해 그림 1 (a)에 나타낸 바와 같이 glass/FTO/BL-TiO2/meso-TiO2 + GO/perovskite/HTL/Au electrode 구조의 PSC를 제작하였으며, (b)에는 최종적으로 제작한 소자의 실제 모습을 나타내었다.

이러한 소자를 구현하기 위해 세척된 glass/FTO 기판 위에 compact TiO2(SC-BT060, Sharechem) 용액을 이용하여 재결합방지층(BL-TiO2)을 제작하였다. Mesoporous TiO2는 3.5 g 프로판올, 1 g 테르피네올을 혼합한 용액 4 g과 1 g TiO2 페이스트(Sharechem)를 혼합하여 제작하였으며, TiO2 페이스트 1 g을 기준으로 각각 0.3, 0.5, 0.7 wt% GO 수용액을 혼합하였다. 이때 GO 수용액(GRAPHENE SUPERMARKET Co)은 0.5 ~ 5 μm 크기의 그래핀 플레이크(graphene flake)가 5 g/L 농도로 혼합된 용액을 사용하였다. 준비한 용액들을 기판에 스핀코팅하고 소결하여 meso-TiO2층을 형성하였다.

페로브스카이트 용액은 MAI(CH3NH3I, 99%, Dyesol), PbI2(99.99%, Alfa Aesar), DMSO (Dimethyl sulfoxide, sigma aldrich)를 DMF (dimethyl formamide, Alfa Aesar)에 혼합하여 제작하였다. 준비된 용액을 스핀코팅 후 핫플레이트에 연속적으로 70℃- 1min, 100℃- 10min 열처리하여 페로브스카이트 박막을 형성하였다. 정공전달층(HTL)은 spiro-MeOTAD(Sigma aldrich), Li-TFSI solution(520 mg Li-TSFI(Sigma aldrich) in 1 ml acetonitrile(Sigma aldrich)), 4-tert-buthyl pyridine(Sigma aldrich)를 클로로벤젠에 혼합하여 제작하였다. 이후 진공증착기를 이용하여 0.8Å/s 속도로 80 nm Au 전극을 증착하여, 최종적으로 glass/FTO/BL-TiO2/meso-TiO2 + GO/perovskite/HTL/Au electrode 구조의 PSC를 제작하였다 [11].

제작한 PSC의 광전기적 특성을 확인하기 위해 solar simulator(PEC-L11, Peccell)와 potentiostat(CompactStat, Ivium)을 이용하여 I-V(current-voltage)를 측정하였다. 이때 광원은 100W Xenon lamp를 이용하고, 1 sun(100 mW/cm2) 조건으로 분석하였다. I-V 분석을 통해 단락전류밀도(Jsc), 개방전압(Voc), 필팩터(fill factor; FF), 에너지변환효율(ECE)을 확인하였다. 또한 I-V 그래프의 y축에 인접한 부분의 기울기를 통해 션트저항(shunt resistance; Rsh)을 확인하였다 [12].

전자전달층(ETL)의 투과도를 확인하기 위해 UV-VISNIR(UV-3101PC, Shimadzu)를 이용하였으며, 400 ~ 800 nm의 가시광선 영역에서 확인하였다.

GO 혼합 양에 따른 PSC의 전자전달층(ETL)과 페로브스카이트의 표면 미세구조를 분석하기 위해 FE-SEM(S-4300, Hitachi)을 이용하였으며, 이때 가속전압은 5kV로 분석하였다.

전자전달층(ETL)의 표면 조도를 분석하기 위해 AFM(XE-100, PSIA Co)을 이용하였으며, non-contact mode로 시편의 root mean square(rms)를 분석하였다.

3. 실험결과

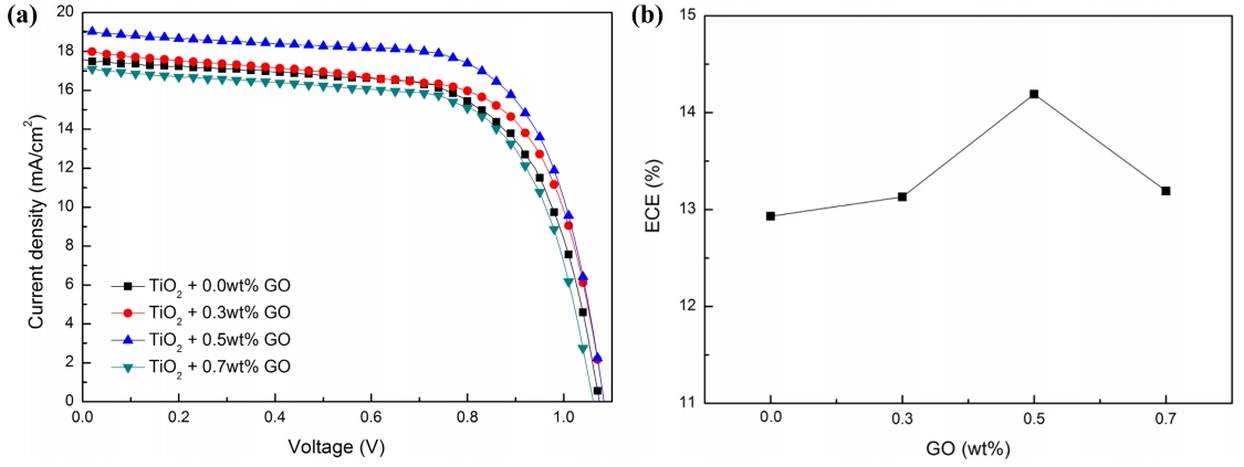
그림 2에는 GO 혼합 양을 달리하여 제작한 PSC 소자의 I-V 그래프와 에너지변환효율(ECE) 변화 그래프를 나타내었다. (a)에는 인가전압에 따른 전류밀도를 나타내었다. 각 측정 그래프를 통해 주어진 조건에서의 단락전류밀도(Jsc), 개방전압(Voc), 필팩터(FF), 에너지변환효율(ECE)까지 확인할 수 있었으며, 0.5 wt% GO일 때 에너지변환효율(ECE)이 가장 우수한 것을 확인하였다.

(b)에는 (a)의 에너지변환효율(ECE) 변화를 나타내었다. 0.5 wt% GO에서 GO가 혼합되지 않은 소자에 비해 11.73% 증가된 에너지변환효율(ECE)을 확인할 수 있었으며, 0.7 wt% GO가 혼합된 소자에서 GO를 혼합하지 않은 소자와 유사한 에너지변환효율(ECE)을 확인할 수 있었다. 따라서 기존 연구의 TiO2 혼합과 같이 적정한 0.5 wt% GO를 혼합한 소자에서 에너지변환효율(ECE)이 가장 우수한 것을 확인하였으며, 이후 0.7 wt% GO를 혼합 시 에너지변환효율(ECE)이 감소하는 현상을 확인하였다.

표 1에는 그림 2에 나타낸 각 물성 분석 결과를 자세히 나타내었다. 단락전류밀도(Jsc)의 경우, GO 혼합 양 0.0, 0.3, 0.5, 0.7 wt%에 따라 각각 17.45, 18.02, 19.05, 17.54 mA/cm2로 확인되었다. 0.5 wt% GO의 경우, GO가 혼합되지 않은 소자에 비해 9.16% 증가된 단락전류밀도(Jsc)를 확인할 수 있었으며, 0.7 wt% GO의 경우, GO를 혼합하지 않은 소자와 유사한 단락전류밀도(Jsc)를 확인할 수 있었다.

개방전압(Voc)과 필팩터(FF)의 경우, 모두 오차 범위 내에서 유사한 값이 확인되어, GO에 따른 큰 변화는 없는 것으로 판단하였다.

션트저항(Rsh)의 경우, 0.5 wt% GO가 혼합된 소자에서 가장 우수한 션트저항(Rsh)값을 확인할 수 있었다. 이는 전기전도도가 우수한 GO가 혼합됨에 따라 전자전달층(ETL)의 저항이 감소하여 나타난 현상으로 판단하였으며, 0.7 wt% GO가 혼합된 소자에서 감소한 션트저항(Rsh) 값은 과량의 GO 혼합으로 나타난 현상으로 판단하였다.

에너지변환효율(ECE)의 경우, GO 혼합 양 0.0, 0.3, 0.5, 0.7 wt%에 따라 각각 12.70, 13.13, 14.19, 12.63%로 단락전류밀도(Jsc), 션트저항(Rsh)과 비슷한 경향성을 가지고 증가하다 감소하는 특성을 보였다. 특히 0.5 wt% GO의 경우, GO가 혼합되지 않은 소자에 비해 11.73% 증가된 가장 큰 에너지변환효율(ECE)을 확인할 수 있었다. 이는 TiO2보다 상대적으로 전기전도도가 우수한 GO가 혼합됨으로써 전자전달층(ETL)의 자체 저항이 감소하였으며, 이로 인한 션트저항(Rsh)의 증가로 단락전류밀도(Jsc)가 변화하여 나타난 현상으로 판단하였다. 이러한 단락전류밀도(Jsc)와 션트저항(Rsh)의 개선을 통한 에너지변환효율(ECE)의 증가는 Yao 등[13]이 VOx에 Ce을 도핑 시켜 전도성이 향상될 경우, 기존 소자 보다 전자이동도가 향상되어 단락전류밀도(Jsc)와 션트저항(Rsh)의 증가로 인한 에너지변환효율(ECE)이 증가한다는 보고와 일치하였다. 따라서, GO가 혼합됨에 따라 단락전류밀도(Jsc)의 변화를 확인할 수 있었고, 이는 에너지변환효율(ECE)의 변화에 직접적인 영향을 미치는 것으로 판단하였다.

한편, 0.7 wt% GO의 경우, 에너지변환효율(ECE)이 감소하여 GO를 혼합하지 않은 소자와 유사한 에너지변환효율(ECE)을 보였다. 이러한 과량의 물질 첨가에 따른 에너지변환효율(ECE)의 감소는 Han 등[10]이 TiO2 층에 rGO를 과량 첨가하게 되면 투과도가 감소하여 결국 전류생성량이 감소하여 단락전류밀도(Jsc)가 감소하게 되고, 단락전류밀도(Jsc)의 감소는 에너지변환효율(ECE)의 감소로 나타나는 현상과 잘 일치하였다.

그림 3에는 GO 혼합에 따른 전자전달층(ETL)의 투과도 분석 결과를 나타내었다. 투과도 분석 결과에 화살표로 표시한 방향과 같이 GO의 혼합 양이 증가됨에 따라 시편의 투과도는 전반적으로 감소하는 것을 확인할 수 있었다. 특히 0.7 wt% GO를 혼합한 경우의 투과도는 가시광선 영역에서 GO가 혼합되지 않은 시편 대비 약 4%가 감소되는 것을 확인할 수 있었으며, 이는 앞서 표 1에서 보인 단락전류밀도(Jsc), 에너지변환효율(ECE) 감소의 직접적인 원인으로 판단하였다.

이러한 투과도 감소는 페로브스카이트에 도달하는 빛 에너지의 감소를 의미하고, 이에 따라 단락전류밀도(Jsc)가 감소한 것으로 판단하였다. 이는 Kim 등[14]이 기존의 채용되던 TCO를 대신하여 Ag nanowire와 그래핀을 이용한 전극을 제안하고, Ag nanowire의 첨가량이 증가함에 따라 전기적 특성은 증가하였지만 투과도가 감소하는 것을 확인하였으며, 이는 전류밀도가 감소한다고 보고한 바와 일치하는 결과였다.

따라서, GO 혼합 양이 증가함에 따라 투과도가 점차 감소하고, 이에 따라 단락전류밀도(Jsc)가 감소하는 것을 확인하였다.

그림 4에는 GO 혼합에 따른 페로브스카이트의 표면 미세구조를 나타내었다. 우상단에 나타낸 meso-TiO2 층의 표면 이미지는 모두 비슷함에도 불구하고 페로브스카이트 결정립 크기 변화가 있음을 확인하였다.

(a)는 GO가 혼합되지 않은 전자전달층(ETL) 위에 형성된 페로브스카이트 표면으로 결정립 크기가 약 184 nm로 형성된 것을 확인하였다. (b)는 0.3 wt% GO가 혼합된 경우의 페로브스카이트 표면으로, 결정립 크기가 약 210 nm로 형성되어 (a)보다 14.13% 증가된 결정립 크기를 보였다. (c)는 0.5 wt% GO가 혼합된 경우로, 결정립은 약 245 nm로 형성되어 (a)보다 33.15% 증가된 것을 확인하였다. (d)는 0.7 wt% GO가 혼합된 경우로, 결정립 크기가 약 191 nm로 감소하였다.

이러한 하부의 meso-TiO2 층의 표면구조가 비교적 비슷하더라도 GO와 같은 첨가제에 의해 상부의 페로브스카이트 층의 결정립 크기가 변화할 수 있는 사실은 Cai 등[15]이 TiO2에 적정량의 Sn을 도핑시킨 전자전달층(ETL)을 채용하여 기존 TiO2를 채용한 소자보다 페로브스카이트 결정립 크기가 1.8배 증가한 것을 보고한 바와 일치함을 보였다. Hsieh 등[16]은 페로브스카이트 결정립 크기가 증가하면 광전효과로 발생된 전자와 정공의 이동 저항으로 작용하는 결정립계가 상대적으로 감소하여 결국 전자와 정공의 이동성이 향상되어 에너지변환효율(ECE)이 증가하는 메커니즘을 보고한 바 있다.

따라서 0.5 wt% GO 시편의 에너지변환효율(ECE) 증가와 다시 0.7 wt% GO 시편의 감소는 이러한 GO 혼합에 따른 페로브스카이트 층의 미세구조 변화도 한 원인일 수 있었다.

그림 5에는 GO 혼합 양에 따른 전자전달층(ETL)의 rms 변화를 AFM으로 분석하여 나타내었다. GO 혼합 양 0.0, 0.3, 0.5, 0.7 wt%에 따른 rms는 각각 20.7 nm, 23.1 nm, 28.0 nm, 20.5 nm로 확인되었으며, 0.5 wt% GO를 혼합한 소자에서 가장 거친 rms 값을 확인하였다. 이러한 rms의 변화는 구형으로 구성된 meso-TiO2에 플레이크 형태의 GO가 혼합됨에 따라 나타난 현상으로 판단하였으며, 이는 Morlta 등[17]이 서로 다른 형상을 가진 두 물질을 혼합할 때 특정 비율에서 가장 거친 rms를 보고한 바와 일치하는 결과였다.

또한 rms 변화는 앞서 확인한 미세구조 결과에서 페로브스카이트 결정립 크기에 영향을 미치는 것을 확인할 수 있었으며, 하부 rms 변화에 따른 상부 페로브스카이트 결정립 크기는 Shi 등[18]이 동일한 구조에서 하부 기판이 거친 시편, 즉 rms 값이 큰 시편이 rms 값이 작은 시편보다 페로브스카이트 결정립 크기가 약 2배 증가한 것을 보고한 바와 일치하는 결과였다. 이러한 하부 기판의 rms가 페로브스카이트 결정립 크기에 영향을 미치는 메커니즘은 Li 등[19]이 요철 모양의 골 부분에서 핵 생성 사이트가 형성되기 쉬우며, rms는 핵 생성 사이트의 간격을 결정하여 페로브스카이트 결정립 크기를 결정하는 중요한 역할을 한다고 보고한 바 있다. 페로브스카이트 결정립 크기의 증가는 결정립계의 감소를 의미하며, 결정립계는 전자이동과 정공이동을 방해하는 저항으로 작용하기 때문에 결정립 크기의 증가는 내부 저항을 감소시켜 최종적으로 에너지변환효율(ECE)을 향상시킬 수 있었다.

따라서 전자전달층(ETL)에 적정한 GO 혼합 시 전자전달층(ETL)의 rms가 증가하고, 이는 페로브스카이트 결정립 크기에 영향을 미쳐 결정립계가 감소하여, 최종적으로 에너지변환효율(ECE)이 증가함을 확인할 수 있었다.

4. 결 론

전자전달층(ETL)에 GO 수용액을 혼합하여 에너지변환효율(ECE)이 향상된 PSC를 성공적으로 제작하였다. GO 혼합 양이 증가함에 따라 0.5 wt% GO에서 최대 에너지변환효율(ECE)을 확인하였으며, 과량의 GO 혼합 시 에너지변환효율(ECE)이 감소되는 것을 확인하였다. 이러한 에너지변환효율(ECE)의 변화는 0.5 wt% GO 혼합까지는 전도성이 우수한 GO가 전자이동을 도와 단락전류밀도(Jsc)와 션트저항(Rsh)을 증가시켰기 때문이고, 0.7 wt% GO에서 에너지변환효율(ECE)의 감소는 전자전달층(ETL)의 투과도 감소로 인한 빛 총량이 감소하여 광전기적 특성이 감소하는 것을 확인하였다. 또한 미세구조 분석을 통해 GO 혼합에 따른 전자전달층(ETL)의 rms 변화는 상부 페로브스카이트 층에 영향을 미쳐 페로브스카이트 결정립 크기를 증가시켰으며, 이는 결정립계를 감소시켜 에너지변환효율(ECE) 증가의 한 원인일 수 있었다. 따라서 PSC의 전자전달층(ETL)에 GO를 혼합할 시 단락전류밀도(Jsc), 투과도, 그리고 페로브스카이트 결정립 크기를 고려한 적절한 양의 GO 채용이 필요하였다.

Acknowledgements

This research was supported by Basic Science Research Program through the National Research Foundation of Korea(NRF) funded by the Ministry of Education (2017R1D1A1B03029347).

REFERENCES

1 
Green M. A., Baillie A. H., Snaith H. J., Nat. Photonics,8, 506 (2014)Google Search
2 
Xiea F., Zhua J., Lia Y., Shena D., Abateb A., Wei M., J. Power Sources,415, 8 (2019)Google Search
3 
Mali S. S., Hong C. K., Nanoscale,8, 10528 (2016)Google Search
4 
Chang J., Zhu H., Xiao J., Isikgor F. H., Lin Z., Ha Y., Zeng K., Xu Q. H., Ouyang J., J. Mater. Chem. A,4, 7943 (2016)Google Search
5 
Jalebi M. A., Dar M. I., Sadhanala A., Senanayak S. P., Gratzel M., Friend R. H., J. Vis. Exp,121, e55307 (2017)Google Search
6 
Adams A. M., Beloqui J. M. M., Stoica G., Palomares E., J. Mater. Chem. A,3, 22154 (2015)Google Search
7 
Fernandes S. L., Albano L. G. S., Affonco L. J., Silva J. H. D., Longo E., Graeff C. F. O., Front Chem,7, 50 (2019)Google Search
8 
Liu Q., Qin M. C., Ke W. J., Zheng X. L., Chen Z., Qin P. L., Xiong L. B., Lei H. W., Wan J. W., Wen J., Yang G., Ma J. J., Zhang Z. Y., Fang G. J., Adv. Funct. Mater,26, 6069 (2016)Google Search
9 
Bati A. S. R., Yu L. P., Tawfik S. A., Spencer M. J. S., Shaw P. E., Batmunkh M., Shapter J. G., (In press), iScience,Google Search
10 
Han G. S., Song Y. H., Jin Y. U., Lee J. W., Park N. G., Kang B. K., Lee J. K., Cho I. S., Yoon D. H., Jung H. S., ACS Appl. Mater. Inter,7, 23521 (2015)Google Search
11 
Kim K., Park T., Song O., Korean J. Met. Mater,56, 321 (2018)Google Search
12 
Bowden C., Bowden S., http://www.pveducation.org/pvcdrom, PV CDROM, (2019)Google Search
13 
Yao X., Qi J., Xu W., Jiang X., Gong X., Cao Y., ACS Omega,3, 1117 (2018)Google Search
14 
Kim S., Shin S. H., Choi S. H., J. Alloy. Compd,786, 614 (2019)Google Search
15 
Cai Q., Zhang Y., Liang C., Li P., Gu H., Liu X., Wang J., Shentu Z., Fan J., Shao G., Electrochim. Acta,261, 227 (2018)Google Search
16 
Hsieh C. M., Liao Y. S., Lin Y. R., Chen C. P., Tsai C. M., Diaua E. W. G., Chuang S. C., RSC Adv,8, 19610 (2018)Google Search
17 
Morlta H., Doi M., J. Micro-Nanolith. Mem,9, 041213 (2010)Google Search
18 
Shi B., Liu B., Luo J., Li Y., Zheng C., Yao X., Fan L., Liang J., Ding Y., Wei C., Zhang D., Zhao Y., Zhang X., Sol. Energ. Mat. Sol. C,168, 214 (2017)Google Search
19 
Li Y., Ding B., Chu Q. Q., Yang G. J., Wang M., Li C. X., Li C. J., Sci. Rep,7, 46141 (2017)Google Search

Figures and Table

Fig. 1.

(a) Illustration of the cross sectional structure of the proposed perovskite solar cell, and (b) an optical-image of a perovskite solar cell.

../../Resources/kim/KJMM.2019.57/kjmm-2019-57-7-456f1.jpg
Fig. 2.

(a) Current density-voltage graph, and (b) ECE change with GO addition.

../../Resources/kim/KJMM.2019.57/kjmm-2019-57-7-456f2.jpg
Fig. 3.

Transmittance data of ETL with GO addition.

../../Resources/kim/KJMM.2019.57/kjmm-2019-57-7-456f3.jpg
Fig. 4.

FE-SEM images of perovskite layer with GO content of (a) 0.0 wt%, (b) 0.3 wt%, (c) 0.5 wt%, and (d) 0.7 wt%. Insets show meso-TiO2 underlayers.

../../Resources/kim/KJMM.2019.57/kjmm-2019-57-7-456f4.jpg
Fig. 5.

Surface roughness data of meso-TiO2 layer with GO addition.

../../Resources/kim/KJMM.2019.57/kjmm-2019-57-7-456f5.jpg
Table 1.

Photovoltaic properties of PSCs with GO addition.

GO content (wt %) Jsc (mA/cm2) Voc (V) FF Rsh (Ω cm2) ECE (%)
0.0 17.45 1.07 0.68 5797.77 12.70
0.3 18.02 1.08 0.68 5789.38 13.13
0.5 19.05 1.08 0.69 6921.17 14.19
0.7 17.54 1.06 0.68 5583.29 12.63