๊น์ง์ฐ
(Jin Woo Kim)
12
์๋ณด๋ผ
(Bora Ye)
1
์ด๋ฏผ์ฐ
(Minwoo Lee)
12
์ ๋ณด๋ผ
(Bora Jung)
1
์ด๋ํ
(Duck Hyun Lee)
1
์ดํฌ์
(Heesoo Lee)
2*
๊นํ๋
(Hong-Dae Kim)
1*
-
ํ๊ตญ์์ฐ๊ธฐ์ ์ฐ๊ตฌ์ ์นํ๊ฒฝ์ฌ๋ฃ๊ณต์ ๊ทธ๋ฃน
(Green Materials and Processes Group, Korea Institute of Industrial Technology, Ulsan
44413, Republic of Korea)
-
๋ถ์ฐ๋ํ๊ต ์ฌ๋ฃ๊ณตํ๋ถ
(School of Material Science & Engineering, Pusan National University, Busan 46241,
Republic of Korea)
Copyright ยฉ 2019 The Korean Institute of Metals and Materials
Key words
selective catalytic reduction, NOx Trap, NOx removal efficiency, NOx adsorption, NOx desorption
1. ์ ๋ก
์ง์์ฐํ๋ฌผ (NOx : NO, NO2, N2O ๋ฑ)์ ํฉ์ฐํ๋ฌผ (SOx), ์ผ์ฐํํ์ (CO), ํ๋ฐ์ฑ์ ๊ธฐํํฉ๋ฌผ (VOCs)๊ณผ ํจ๊ป ๋ํ์ ์ธ ๋๊ธฐ์ค์ผ ๋ฌผ์ง๋ก์จ, ๊ณ ์ ์ (๋ฐ์ ์, ์๊ฐ์ฅ, ์ฐ์
์ฉ
๋ณด์ผ๋ฌ ๋ฑ) ๋ฐ ์ด๋์ (์ ๋ฐ, ์๋์ฐจ, ํญ๊ณต๊ธฐ ๋ฑ)์์ ์ฌ์ฉ๋๋ ํ์์ฐ๋ฃ์ ์ํด ๋ฐ์๋๋ค. NOx๋ ์ผ๋ฐ์ ์ผ๋ก ํ์์ฐ๋ฃ๊ฐ ์ฐ์๋ ๋ Thermal
NOx, Fuel NOx, Prompt NOx์ ์ธ ๊ฐ์ง ์์ธ์ ์ํ์ฌ ๋ฐ์ํ๊ณ , ๋๋ถ๋ถ์ NOx๋ ์ฐ์ ๊ณต๊ธฐ์ค์ ํฌํจ๋ ์ง์ ์ฑ๋ถ๊ณผ ์ ๋ฆฌ๋ ์ฐ์์์
๋ฐ์์ผ๋ก ์์ฑ๋๋ Thermal NOx์ ๊ธฐ์ธํ๋ค. ์ผ๋ฐ์ ์ผ๋ก Zeldovich์ ์ด๋ก ์ ๋ฐ๋ฅด๋ฉด, ๊ณ ์จ์ฐ์์์ญ์์ ์ฐ์๊ฐ์ค์ ์ฒด๋ฅ์๊ฐ์ด ๊ธธ๊ณ ์ฐ์๋๋๊ฐ
๋์ ๋ N2์ O2์ ์ํด ๋ง์ ์์ NOx๊ฐ ์์ฑ๋๋ค [1]. ์ด๋ฌํ NOx๋ ์ฐ์ฑ๋น, ์ค์กด์ธต ํ๊ดด, ๊ดํํ ์ค๋ชจ๊ทธ๋ฅผ ์ผ์ผํฌ ์ ์์ผ๋ฉฐ 2์ฐจ ์์ฑ ๋ฏธ์ธ๋จผ์ง์ ์ ๊ตฌ์ฒด ์ญํ ์ ํ๋ ๋ฑ ๋ค์ํ ํ๊ฒฝ๋ฌธ์ ๋ฅผ ์ผ์ผํฌ
๋ฟ๋ง ์๋๋ผ ํ์งํ, ๋ํ๊ด์งํ, ์ ๋ฑ์ ์ ๋ฐํ๋ฉฐ ์ธ์ฒด์ ์น๋ช
์ ์ธ ์ํฅ์ ๋ผ์น๋ค [2]. ๋ฐ๋ผ์ ์ ๋ฝ์์๋ ๋๊ธฐ์ง ๊ฐ์ ๊ณผ ๋๊ธฐํ๊ฒฝ ๊ด๋ฆฌ๋ฅผ ์ํด ๊ตญ๊ฐ๋ณ ๋ฐฐ์ถ๋ ์ํ (National Emission Ceilings, NEC) ์ง์นจ์
์ฑํํ์ฌ ์ง์์ฐํ๋ฌผ (NOx) ๋ฐฐ์ถ์ ๊ท์ ํ๊ณ ์์ผ๋ฉฐ, ๊ตญ๋ด์์๋ ๊ณ ์ ์์ ๋ํ์ฌ ํ๊ฒฝ๋ถ์์ ๊ฐ์ ํ ๋๊ธฐํ๊ฒฝ๋ณด์ ๋ฒ์ ๋ฐ๋ผ ์ง์์ฐํ๋ฌผ ๋ฐฐ์ถ ๋ถ๊ณผ๊ธ ๋ฑ์
์ํ๊ท์น์ด ์ ์ ๋์ด ์ํ๋๊ณ ์๋ค [3,4]. ์ด์ ๊ฐ์ด ๊ตญ๋ด์ธ NOx ๋ฐฐ์ถ๊ท์ ๋ ๊ฐํ๋๊ณ ์์ผ๋ฉฐ, NOx ์ ๊ฐ ๊ธฐ์ ์ฐ๊ตฌ์ ํ์์ฑ์ด ๋๋๋๊ณ ์๋ค.
์ ํ์ ์ด๋งค ํ์ (Selective Catalytic Reduction, SCR) ๊ธฐ์ ์ NH3, Urea์ ๊ฐ์ ํ์์ ๋ฅผ ์ฌ์ฉํ์ฌ ์ธ์ฒด์ ์ ํดํ NOx๋ฅผ ์ธ์ฒด์ ๋ฌดํดํ N2 ๋ฐ H2O๋ก ํ์ํ๋ ๊ธฐ์ ๋ก์จ, ๋์ ํจ์จ๋ก ์ธํด ๋ํ์ ์ผ๋ก ์ฌ์ฉ๋๊ณ ์๋ ๊ธฐ์ ์ด๋ค [5]. SCR์ ๊ณ ์ ์ ๋ฐ ์ด๋์์์ ์ฌ์ฉ๋๋ Vanadium๊ณ ์ด๋งค, Platinum๊ณ ์ด๋งค ๊ทธ๋ฆฌ๊ณ Fe-Zeolite๊ณ ์ด๋งค ๋ฑ์ด ์์ผ๋ฉฐ, ๊ทธ ์ค
๊ณ ์ ์์์ ์ฌ์ฉ๋๋ V2O5-WO3/TiO2 ์ด๋งค์ ๊ฒฝ์ฐ ๋์ ์ด๋งค ํ์ฑ๊ณผ ์ด์ ์์ ์ฑ, SO2 ์ ํญ์ฑ์ผ๋ก ์ธํด ๋๋ฆฌ ์ฌ์ฉ๋๊ณ ์๋ค [5-7]. ํ์ง๋ง, SCR ์ด๋งค๋ ์ ์จ์์ญ (180~250 โ)์์ ํจ์จ์ ๊ฐ์๋๊ธฐ ๋๋ฌธ์ ๋ฐ์ ์์ ๊ฐ์ ๊ณ ์ ์ ๊ธฐ๊ธฐ๊ฐ ์ ๋น ํน์ ๊ฒฐํจ์ผ๋ก ์ธํด ์ฌ์๋ํ
๊ฒฝ์ฐ ํ์ง ์ด๋งค์ ํ์ฑํ ์จ๋ (300~400 โ) ์ดํ์์ ๋ฐ์๋ NOx๋ ์ ๊ฑฐ๋์ง ๋ชปํ๊ณ ๋๊ธฐ ์ค์ ๊ทธ๋๋ก ๋ฐฐ์ถ๋๋ค [5,8]. ๋ฐ๋ผ์ ๊ฐํ๋๋ ๋ฐฐ์ถ๊ท์ ์ค์๋ฅผ ์ํด์๋ ์ด๋งค ํ์ฑ์จ๋ ์ดํ์์ ๋ฐ์ํ๋ NOx๋ฅผ ์ ์ฅํ๋ ๊ธฐ์ ์ฐ๊ตฌ์ ํ์์ฑ์ด ๋๋๋๊ณ ์๋ค [8]. ๊ณ ์ ์์ด ์๋ ์ด๋์์ ๊ฒฝ์ฐ, ์์ง์ด ์ ์งํ์๋ค๊ฐ ์ฌ์๋๋์ด ์ด๋งค ํ์ฑ์จ๋๊น์ง์ ์จ๋ ๊ฐ๊ฒฉ์ด ๋ฐ์ํ๊ฒ ๋๋๋ฐ, ์ด๋ฅผ ์ ์จ์๋ (Cold start)์ด๋ผ
ํ๋ฉฐ, ์์นผ๋ฆฌ (ํ )๊ธ์ (Ba, Ca, Na, K, Cs, etc.)์ NOx ํก์ฐฉ์ ๋ก์จ ์ฌ์ฉ, ์ ์จ์์ NOx๋ฅผ ํก์ฐฉํ์๋ค๊ฐ ๋ฐฑ๊ธ์กฑ ์์ (Pt,
Pd, etc.)๋ฅผ ํ์ฑ ์ฑ๋ถ์ผ๋ก ์ฌ์ฉํ์ฌ NOx๋ฅผ ์ ๊ฑฐํ๋ ์ฐ๊ตฌ๊ฐ ์งํ๋๊ณ ์๋ค [9]. ๊ทธ ์ค NOx๋ฅผ ํก์ฐฉํ๊ธฐ ์ํ ๋ํ์ ์ธ ์ด๋งค๋ Barium๊ณผ ๊ฐ์ ์์นผ๋ฆฌ (ํ )๊ธ์์ NOx ํก์ฐฉ์ ๋ก ์ ์ฉํ Lean NOx Trap (LNT)๊ฐ
์์ผ๋ฉฐ ๊ทธ ์ค ๋ํ์ ์ธ Pt-Ba/Al2O3 ์ด๋งค๋ NOx๋ฅผ ๋ด๋ถ์์ ์ง์ฐ์ผ (Ba(NO3)2)์ ํํ๋ก ํก์ฐฉํ๊ณ , ๊ฐ์ค ๋ถ์๊ธฐ๊ฐ ํ์์กฐ๊ฑด์ผ๋ก ์ ํ๋๋ฉด NOx๋ฅผ ํ์ฐฉํ๋ค. ํ์ฐฉ๋ NOx๋ Pt ํน์ Pd์ ๊ฐ์ ๋ฐฑ๊ธ์กฑ ์์์ ์ํด ์ ๊ฑฐ๋๋ฉฐ
์ด๋ ์๋์ฐจ์ ๊ฐ์ ์ด๋์์์ ์ง์์ฐํ๋ฌผ ์ ๊ฐ์ฅ์น๋ก ์ด๋ฏธ ์์ฉํ ๋์ด ์๋ ๊ธฐ์ ์ด๋ค [10]. ๋ณธ ์ฐ๊ตฌ์์ ๋ชฉํ๋ก ํ๋ ๊ณ ์ ์์์๋ ์ ์จ ๊ธฐ๋ ์กฐ๊ฑด์ NOx ์ ๊ฐ์ฅ์น์ ์ํด ์ ๊ฑฐ๋์ง ๋ชปํ์ฌ ๋ฐฐ์ถ๋๋ ์ง์์ฐํ๋ฌผ์ด ์ง์์ ์ผ๋ก ๋ฌธ์ ๊ฐ ๋์ด ์์ผ๋,
๊ณ ๊ฐ์ ๋ฐฑ๊ธ์กฑ ์์๋ฅผ ์ฌ์ฉํ๋ LNT ์ด๋งค๋ฅผ ๋ฐ์ ์, ์๊ฐ์ฅ, ์ฐ์
์ฉ ๋ณด์ผ๋ฌ์ ๊ฐ์ ๋๊ท๋ชจ ์์ค์ ์ ์ฉํ๊ธฐ ์ด๋ ค์ด ์ค์ ์ด๋ค. ๋ฐ๋ผ์ ์๋์ฐจ ์ด๋งค์์์
NOx ํก์ฐฉ ๋ฉ์ปค๋์ฆ์ ๊ณ ์ ์์ ์ ์ฉํ ๊ฒฝ์ฐ ์ ์จ ์๋ ์กฐ๊ฑด์์ ๋ฐฐ์ถ๋๋ NOx๋ฅผ ์ ๊ฐํ ์ ์์์ ๋ฐ๋ผ ๊ฐํ๋๋ ๋ฐฐ๊ธฐ๊ฐ์ค ๋ฐฐ์ถ๊ท์ ์ค์๊น์ง ๊ธฐ๋ํ
์ ์๋ค.
๋ณธ ์ฐ๊ตฌ์์๋ ๋ํ์ ์ธ Vanadium๊ณ SCR ์ด๋งค์ธ V2O5-WO3/TiO2 ์ด๋งค์ BaO๋ฅผ NOx ํก์ฐฉ์ ๋ก ์ฌ์ฉํ์๋ค. ํฉ์ฑ๋ ์ด๋งค ๋ด์์ BaO๋ NOx ํก์ฐฉ ๋ฌผ์ง๋ก์จ, 200 โ ์ดํ์์ ์ง์ฐ์ผ์ ํํ๋ก NOx๋ฅผ ํก์ฐฉํ์ฌ,
SCR ํ์ฑ์จ๋ ์ดํ์ ์ ์จ ๊ธฐ๋ ํ๊ฒฝ์์ ์ ์ดํ ์ ์๋ NOx ๋ฐฐ์ถ ์ ๊ฐ์ ๋ชฉ์ ์ผ๋ก ํฉ์ฑ๋์์ผ๋ฉฐ, 300 โ ์ด์์์ NOx๋ฅผ ํ์ฐฉํ์ฌ SCR
ํ์ฑ์จ๋์์ ์ ๊ฑฐํ ์ ์๋๋ก ํ์๋ค. ๋ํ, BaO ํจ๋์ ๋ฐ๋ฅธ V2O5-WO3/TiO2 ์ด๋งค๋ฅผ ํฉ์ฑํ์ฌ ๊ธฐ์ด ๋ฌผ๋ฆฌํํ์ ํน์ฑ ํ๊ฐ ๋ฐ ํก, ํ์ฐฉ ๊ทธ๋ฆฌ๊ณ ์ ๊ฑฐ ํจ์จ์ ํ์ธํ์๋ค.
2. ์คํ ๋ฐฉ๋ฒ
2.1. ์ด๋งค ํฉ์ฑ
BaO๊ฐ ๋ด์ง๋ SCR ์ด๋งค ํฉ์ฑ์ ์ํ ์ถ๋ฐ์๋ฃ๋ก์จ TiO2 (Titanium dioxide, Purity: >97%, NT-01, NANO Co., Ltd), AMT (Ammonium metatungstate,
Purity: 99.99%, Sigma-Aldrich), AMV (Ammonium metavanadate, Purity: 99.99% Sigma-Aldrich),
BaO (Barium Oxide nanopowder, Purity: 99.9%, NanoShell Co.), ์ฅ์ด์ฐ (Oxalic acid, Purity:
โฅ99%, Sigma-Aldrich)์ ์ฌ์ฉํ์๋ค. ์ฅ์ด์ฐ์ ์ฉ๋งค์ธ ์ํ์ฌ (Ethylalcohol, Purity: 99.5%, Daejung Chemicals
& Metals Co. Ltd)์ AMT, AMV๋ฅผ ์ฉํดํ๊ณ ์ ํ๋ ๋ชฉ์ ์ผ๋ก ์ฌ์ฉํ์์ผ๋ฉฐ, ์ฅ์ด์ฐ : AMT, AMV์ ์ค๋๋น 2 : 1๋ก ์ถ๊ฐ๋์๋ค.
BaO๋ 3~10 wt%๋ก ์ฒจ๊ฐํ์์ผ๋ฉฐ TiO2๋ BaO์ ๋ฐ๋ผ ํจ๋์ ๊ฐ์ํ์๋ค. ์ด๋งค๋ ๊ทธ๋ฆผ 1๊ณผ ๊ฐ์ด ํจ์นจ๋ฒ์ผ๋ก ํฉ์ฑ๋์๋ค. AMT์ AMV๋ ๊ฐ๊ฐ์ ๋น์ปค์ ์ฅ์ด์ฐ์ด ์ฉํด๋ ์ํ์ฌ ์ฉ์ก์ 60 โ์ ์จ๋์์ 1์๊ฐ ๊ต๋ฐ์ ์ค์ํ์๊ณ , TiO2์ BaO๋ ์ํ์ฌ ์ฉ๋งค๋ฅผ ์ฌ์ฉํด 1์๊ฐ ๊ต๋ฐํ์๋ค. ์ํ์ฌ์ ์ถฉ๋ถํ ์ฉํด๋ AMV, AMT ๋ฐ BaO ์ฉ์ก์ TiO2๊ฐ ๋ถ์ฐ๋ ์ํ์ฌ ์ฉ์ก์ ํผํฉํ์์ผ๋ฉฐ, ์ด๋ค ์ฉ์ก์ ์ด์ํ ๋ถ์ฐ ๊ณต์ 1์๊ฐ ์ค์ํ์๋ค. ํผํฉ๋ ์ฉ์ก์ 60 โ์์ 6์๊ฐ ๊ต๋ฐ ํ์์ผ๋ฉฐ, ๊ต๋ฐ ์
๋น์ปค์ ์ธ๋ถ์ ๋จ์ด์ฌ๋ฅผ ์ค์นํ๊ณ ์จ๋๋ Thermocouple์ ํตํด ํ์ธํ์๋ค. ๋ด์ง ์ดํ 60 โ ์จ๋์์ ๊ฐ์์ฆ๋ฅ๋ฅผ ์ค์ํ์ฌ ์ฉ๋งค๋ฅผ ๋ชจ๋ ์ฆ๋ฐ์ํจ
ํ ์ป์ด์ง ํฉ๋ฐฑ์์ ๋ถ๋ง์ ์ ๊ธฐ๋ก๋ฅผ ์ฌ์ฉํ์ฌ ๋ถ๋น 4 โ์ ์น์จ์๋๋ก 500 โ 2์๊ฐ ์ ์งํ๋ฉฐ ์๊ฒฐํ์ฌ ๋ถ๋งํํ์ ์ด๋งค๋ฅผ ํฉ์ฑํ์๋ค.
BaO 0~10 wt%, V2O5 1 wt%, WO3 8 wt% ๋ฐ TiO2 ์ง์ง์ฒด๋ฅผ ํตํด ๋ด์ง๋ ์ด๋งค๋ BaO(0~10)/VWTi๋ก ๋ช
๋ช
ํ์์ผ๋ฉฐ, ๋น๊ต๋ฅผ ์ํด BaO๊ฐ ์ฒจ๊ฐ๋์ง ์์ ์ด๋งค๋ฅผ ๋์ผํ ์กฐ๊ฑด์ผ๋ก ํฉ์ฑํ ํ VWTi๋ก
๋ช
๋ช
ํ์๋ค.
2.2. ํน์ฑ ํ๊ฐ
ํฉ์ฑ๋ ์ด๋งค์ ์ ์ฑ, ์ ๋๋ถ์์ ์ํ์ฌ XRF (X-ray Fluorescence Spectrometer, PANalytical LTD., Zetium)๋ถ์์
์งํํ์์ผ๋ฉฐ, ๋ถ์ ์ํ์ ์๋ฃ 3 g๊ณผ ๊ฒฐํฉ์ (Wax)๋ฅผ ๊ท ์ผํ๊ฒ ํผํฉ ๋ถ์ํ๊ณ 21 mm ์ํ ๋ชฐ๋์ ๊ฐ์ ์ฑํํ์ฌ ์ค๋นํ์๋ค. ํฉ์ฑ๋ SCR
์ด๋งค์ Surface area, pore volume, pore size ๋ฑ์ ํ๋ฉด ํน์ฑ์ ํ์ธํ๊ธฐ ์ํ์ฌ ๋นํ๋ฉด์ ์ธก์ ๊ธฐ (Specific Surface
Area Analyzer, Micromeritics Co., ASAP 2020)๋ฅผ ์ฌ์ฉํ์๋ค. ์ธก์ ์ ์์ ๋ถ๋ง์๋ฃ 0.5 g์ ์ํ ํ๋ธ์ ๋ฃ๊ณ
180 โ์์ 4์๊ฐ๋์ N2 ๋ถ์๊ธฐ ํ์์ ์ ์ฒ๋ฆฌ๋ฅผ ์งํํ์ฌ ์ด๋งค ์ํ ๋ด์ ์กด์ฌํ๋ ์๋ถ ๋ฐ ๊ธฐํ ๋ถ์๋ฌผ์ ์ ๊ฑฐํ ํ BET (Brunauer-Emmett-Teller) ๊ณ์ฐ์
ํตํด ๊ธฐ๊ณต ํน์ฑ ๋ถ์์ ์ค์ํ์๋ค. ๋ํ ๊ฒฐ์ ์๊ณผ ์ ์ฑ์ ์ธ ์ฑ๋ถ๋ถ์์ ์ํ์ฌ ํฉ์ฑ๋ ์ด๋งค๋ฅผ XRD (X-Ray Diffraction, Rigaku
Analytical Device, Inc., D/Ultima IV) ๋ถ์์ ์ค์ํ์์ผ๋ฉฐ, ์ํ ์กฐ๊ฑด์ 2ฮธ=10~90ยฐ์์ 1ยฐ/min์ ์ค์บ์๋๋ก
์ธก์ ํ์๋ค. ํฉ์ฑ๋ ์ด๋งค์ ํํ ๊ตฌ์กฐ ๋ฐ ๊ฒฐํฉ ํน์ฑ์ ํ์
ํ๊ธฐ ์ํ์ฌ FT-IR (Fourier Transform Infrared Spectrometer,
JASCO, Inc., FT/IR-4600)๋ถ์์ ์ค์ํ์๋ค. ๊ฐ์ ์ ๋ฐ์ฌ (Attenuated Total Reflection, ATR) ์๋ฃ ๋ถ์๋ฒ์
์ฌ์ฉํ์ฌ ๋ถ๋งํํ์ ์๋ฃ๋ฅผ ๋ถ์ํ์๋ค. BaO ์ฒจ๊ฐ์ ๋ฐ๋ฅธ ํ๋ฉด ํน์ฑ ๋ถ์์ FE-SEM (Field Emission Scanning Electron
Microscope, Hitachi LTD., SU8020)์ ์ฌ์ฉํ์์ผ๋ฉฐ, ์๋ฃ์ ์
์ ํ์, ์
์ ํฌ๊ธฐ, Barium oxide์ ๋ถ์ฐ ํํ๋ฅผ
ํ์ธํ๊ธฐ ์ํด์ ๋ถ๋ง์ Carbon tape์ ์ ์ฐฉํ ํ sputter ์ฅ๋น๋ฅผ ์ฌ์ฉํ์ฌ Pt๋ก ์๋ฃ์ ํ๋ฉด์ 15 mA์์ 180์ด ์ฝํ
ํ ํ ๋ถ์ํ์๋ค.
BaO ํจ๋์ ๋ฐ๋ผ ๋ด์งํ ๋ถ๋งํ V2O5-WO3/TiO2 ์ด๋งค์ ์ด๋งค ํน์ฑ ํ๊ฐ๋ฅผ ์ค์ํ๊ธฐ ์ํ์ฌ ๊ณ ์ ์ธต ๋ฐ์๊ธฐ (Fixed bed reactor)๋ฅผ ์ฌ์ฉํ์๋ค. ์ฅ๋น๋ ์ด๋งค๊ฐ ์ฅ์ฐฉ๋๋ Reactor์
์๋ฃ์ ์จ๋๋ฅผ ์กฐ์ ํ๋ Reactor heater, ๊ฐ์คํผํฉ ๋ฐ ์์ด์ ์ค์ํ๋ Pre-Heater, ๊ฐ์ค์ ์ ๋์ ์กฐ์ ํ๋ MFC (Mass Flow
Controller), ๊ฐ์ค๋ฅผ ๋ถ์ํ๋ Gas Analyzer (GASMAT LTD., CX-4000) ๋ฐ UV Gas Analyzer (Dongwoo
Co. LTD., DSM-XG)๋ก ์ด๋ฃจ์ด์ ธ์๋ค.
BaO๊ฐ ๋ด์ง๋ SCR ์ด๋งค์ NOx๊ฐ ํก์ฐฉ๋๋ ์์ ํก์ฅ๋์ผ๋ก ์ ์ํ์์ผ๋ฉฐ, ์ด๋ ์ (1.1)์ ํตํด ๊ณ์ฐ๋์๋ค. ๋ณธ ์คํ์์๋ 200 โ ์จ๋์์ Total Flow 500 sccm (Standard Cubic Centimeter per
Minute), O2 5 vol%, NO 500 ppm, Balance gas N2์ ๊ฐ์ค ์กฐ๊ฑด์์ ๊ฐ์ค ์ฃผ์
ํ 1์๊ฐ๊น์ง์ NOx ํก์ฅ๋์ ๋ฐฐ์ถ๋ NOx ๋๋ ๊ณก์ ๊ณผ ์
๊ตฌ ๋๋๊น์ง์ ๋ฉด์ ์ผ๋ก ๊ณ์ฐํ์๋ค [11].
์จ๋์ ๋ฐ๋ฅธ NOx ํ์ฐฉ ํน์ฑ์ ํ๊ฐํ๊ธฐ ์ํด์ 200 โ, Total Flow 500 sccm, O2 5 vol%, NO 500 ppm, Balance gas N2์ ๊ฐ์ค์กฐ๊ฑด์์ 1์๊ฐ ํก์ฐฉ ํ N2๋ฅผ ํ๋ ค์ฃผ์ด 200 โ๋ถํฐ 4 โ/min์ ์น์จ ์๋๋ก TPD (Temperature Programmed Desorption)๋ฐฉ๋ฒ์ ์ ์ฉํ์ฌ ์จ๋์
๋ฐ๋ฅธ NOx ํ์ฐฉ ํน์ฑ์ ํ์ธํ์๋ค.
NOx ์ ๊ฑฐ ํน์ฑ ํ๊ฐ๋ ๊ณต๊ฐ์๋ (Gas Hourly Surface Velocity, GHSV)๋ 30,000 h-1๋ฅผ ๊ธฐ์ค์ผ๋ก ํ์ฌ ์ฝ 1 ml (0.73 g)๋ก ์ด๋งค๋ฅผ ์ฅ์
ํ์๋ค. Total Flow๋ 500 cc/min์ผ๋ก ํ๋ ค์ฃผ์๊ณ , Balance gas๋ก
N2, O2 ๋๋๋ 5 vol%, NO ๋๋ 500 ppm, NH3 ๋๋ 500 ppm์ผ๋ก ํ๋ ค์ฃผ์๋ค. ์์ ๋ ํ๊ฐ๊ฒฐ๊ณผ๋ฅผ ์ป๊ธฐ ์ํ์ฌ ๊ฐ์ค๋ ๋ฐ์ดํจ์ค ์ํ์์ 1์๊ฐ ์์ ํํ์๊ณ ์จ๋ ๊ตฌ๊ฐ๋ณ๋ก 1์๊ฐ ๋์ ์ ์งํ๋ฉฐ,
NOx ์ ๊ฑฐ ํจ์จ์ด ์์ ๋๋ ๋ถ๋ถ์ ์ธก์ ๊ฐ์ ์ฌ์ฉํ๋ ๋ฐฉ๋ฒ์ผ๋ก ํ๊ฐ๋ฅผ ์งํํ์๋ค. NOx ์ ๊ฑฐ ํจ์จ์ Gas Analyzer๋ฅผ ์ฌ์ฉํ์ฌ Inlet๊ณผ
Outlet NOx ๋๋๋ฅผ ์ธก์ ํ ํ ์ (1.2)์ ์ํด ๊ณ์ฐ๋์๋ค [12].
3. ๊ฒฐ๊ณผ ๋ฐ ๊ณ ์ฐฐ
3.1 ์ด๋งค ํน์ฑ
BaO๊ฐ ๋ด์ง๋ VWTi ์ด๋งค๋ฅผ XRF ๋ถ์์ ํตํด ์๋ฃ์ ์ฑ๋ถ์ ๋น๊ตํ ๊ฒฐ๊ณผ๋ฅผ ํ 1์ ๋ํ๋ด์๋ค. BaO๋ ํฉ์ฑ ์กฐ๊ฑด์์ ์ค์ฐจ๋ฒ์ ๋ด์ ๋ถ์ ๊ฒฐ๊ณผ ํ์ธํ์๋ค. ์ด๋งค ํ์ฑ ์ฑ๋ถ์ธ V2O5์ ๊ฒฝ์ฐ 1 wt% ๊ฐ๋ ๋ํ๋ด์๊ณ ์ง์ง์ฒด์ ์ด์ ์์ ์ฑ์ ์ฆ๊ฐ์ํค๋ ์กฐ์ด๋งค WO3์ ๊ฒฝ์ฐ 8 wt% ๊ฐ๋ ํ์ธํ์๋ค. TiO2์ ๊ฒฝ์ฐ BaO๊ฐ ์ฆ๊ฐํจ์ ๋ฐ๋ผ ์๋์ ์ผ๋ก ์ง์ง์ฒด์ ํจ๋์ด ๊ฐ์ํ์์ผ๋ฉฐ, ๋ํ TiO2์ ์๊ด์์ผ๋ก๋ถํฐ ๊ธฐ์ธ๋ SO3 ๋ฐ SiO2 ๋ฑ์ด ๋ฏธ๋ ์กด์ฌํ์๋ค [13].
BaO์ ํจ๋ ๋ฐ TiO2 ๊ฐ์์ ๋ฐ๋ฅธ ๋นํ๋ฉด์ ํน์ฑ์ ํ์ธํ๊ธฐ ์ํด BET ๋ถ์์ ์ค์ํ์์ผ๋ฉฐ, ์๋ฃ๋ 125 ฮผm์ ํฌ๊ธฐ๋ก ์ฒด๊ฑฐ๋ฆํ์ฌ ๋ถ์์ ์ค์ํ์๊ณ ๊ทธ ๊ฒฐ๊ณผ๋ฅผ ํ 2์ ๋ํ๋ด์๋ค. BaO๊ฐ ๋ด์ง๋์ง ์์ VWTi๊ฐ 71.46 m3/g์ผ๋ก ๊ฐ์ฅ ๋์ ๋นํ๋ฉด์ ์ ๋ํ๋ด์์ผ๋ฉฐ, BaO๊ฐ 3~7 wt% ๋ด์ง๋ ์ด๋งค์ ๊ฒฝ์ฐ ๊ฐ๊ฐ 70.58 m3/g, 70.80 m3/g, 70.01 m3/g์ผ๋ก, ์ค์ฐจ ๋ฒ์ ๋ด์ ๋น์ทํ ๋นํ๋ฉด์ ์ ๋ํ๋ด์๋ค. ์ผ๋ฐ์ ์ผ๋ก ์ด๋งค ๋ด์ฒด๋ก ์ฌ์ฉ๋๋ TiO2๋ ๋นํ๋ฉด์ 50~100 m3/g์ ๋ฒ์์ ์๋ฃ๊ฐ ์ฌ์ฉ๋๋ฉฐ, 50 m3/g ์ดํ์ ์๋ฃ์ ๊ฒฝ์ฐ ๋ฐ์ ์ฌ์ดํธ๊ฐ ๋น๊ต์ ์ ๊ณ , 100 m3/g ์ด์์ ๋นํ๋ฉด์ ์ ๊ฐ์ง ์๋ฃ์ ๊ฒฝ์ฐ ์ธ๊ณต์ ํฌ๊ธฐ๊ฐ ์์ H2O ๋ฐ SO2 ๋ถ์๊ธฐ์์ NH3์ ์ํด ์์ฑ๋๋ Ammonium sulfate ((NH4)2SO4)์ ์ฝ๊ฒ ์ค์ผ๋๋ ํ์์ ์ผ์ผํค๋ฏ๋ก, BaO๊ฐ ๋ด์ง๋ BaO/VWTi ์ด๋งค์ ๊ฒฝ์ฐ ์ด๋งค๋ก์จ ์ฐ์ํ ๋นํ๋ฉด์ ํน์ฑ์ ๊ฐ๋ ๊ฒ์ผ๋ก ํ๋จ๋๋ค [14]. BaO๊ฐ 10 wt% ๋ด์ง๋ ์ด๋งค์ ๊ฒฝ์ฐ VWTi ๋๋น ์ฝ 5.51 m3/g ๊ฐ๋ ๊ฐ์ํ์๋๋ฐ, ์ด๋ ๋น๊ต์ ๋นํ๋ฉด์ ์ด ์ฐ์ํ TiO2์ ํจ๋์ด ๊ฐ์ํ ๊ฒ์ ๊ธฐ์ธํ๋ฉฐ, ์ถ๊ฐ์ ์ธ ์์ธ์ ๋ถ์ํ๊ธฐ ์ํด XRD ๋ถ์์ ์ค์ํ์๋ค.
ํฉ์ฑ๋ ์๋ฃ์ ๊ฒฐ์ ๊ตฌ์กฐ๋ฅผ ๊ด์ฐฐํ๊ธฐ ์ํด ์ค์ํ XRD์ ๋ถ์ ๊ฒฐ๊ณผ๋ ๊ทธ๋ฆผ 2์ ๋ํ๋ด์๋ค. ํฉ์ฑ๋ 5๊ฐ์ ์๋ฃ ๋ชจ๋๋ 25.18ยฐ์์ TiO2 Anatase (JCPDS NO. 21-1272) ์๊ณผ ์ผ์นํ๋ ๊ฒ์ด ํ์ธ๋์๋ค [15]. TiO2์ ๊ฒฝ์ฐ 3๊ฐ์ง์ ๊ฒฐ์ ๊ตฌ์กฐ๋ฅผ ๊ฐ์ง๋ฉฐ, Rutile์ ๊ฒฝ์ฐ ์ด์ญํ์ ์ผ๋ก ๊ฐ์ฅ ์์ ํ์ง๋ง ์์ ์ด ์ด๊ธฐ์ ํ (plate)์์ ํ์ฑํ๋ฉฐ, Anatase
์๊ณผ Brookite ์์ ๊ฒฐ์ ๊ตฌ์กฐ๊ฐ ์ ์ฌํ์ง๋ง Anatase ์์ ๊ฒฝ์ฐ ํฉ ์ ํญ ํน์ฑ ๋ฐ ๋น๊ต์ ๋นํ๋ฉด์ ์ด ๋์ ์ด๋งค์ ์ฐ์ ์ ์ฆ๊ฐ์์ผ ์ฃผ๋ก ์ด๋งค
์ง์ง์ฒด๋ก์จ ํ์ฉ๋๋ค [16]. XRD ๋ถ์์์ 27ยฐ ๋ฐ 31ยฐ์์ ๋ํ๋๋ TiO2 Rutile ๋ฐ Brookite ์์ด ๋ํ๋์ง ์์์ผ๋ฉฐ ํฉ์ฑ๋ฌผ์ ๋๋ถ๋ถ TiO2 Anatase ์์์ ํ์ธํ์๋ค [17]. V2O5 ๋ฐ WO3์ ๊ฒฐ์ ๊ตฌ์กฐ๋ ๊ด์ฐฐ๋์ง ์์์ผ๋ฉฐ, ์ด๋ V2O5๊ฐ ๋น์ ์ง ํํ ํน์ ์ง๊ฒฝ์ด 4 nm ์ดํ์ธ ๋งค์ฐ ์์ ๊ฒฐ์ ์ผ๋ก ์ด๋ฃจ์ด์ ธ ์์์ ๋ํ๋ธ๋ค. ๋ํ WO3์ ๊ฒฝ์ฐ TiO2 ์ง์ง์ฒด ๋ด์์ ๊ณ ๋ถ์ฐ๋์๊ฑฐ๋ ๊ณ ์ฉ์ฒด ์ํ๋ก ์กด์ฌํ๋ค๋ ๊ฒ์ ๋ํ๋ธ๋ค [12]. ์ด๋ฌํ ์ํ์ WO3๋ ๊ณ ์จ์์ rutile ์์ ํต ์์ฑ ์๋๋ณด๋ค Anatase ์์ ์
์ฑ์ฅ ์๋๋ฅผ ์ฆ๊ฐ์์ผ Anatase ์์ ์์ ํ์ํค๋ฏ๋ก TiO2 Anatase ์ ๊ฒฐ์ ๊ตฌ์กฐ ํ์ฑ์ ์ํฅ์ ์ค ๊ฒ์ผ๋ก ํ๋จ๋๋ค [16]. BaO๊ฐ ๋ด์ง๋ ์ด๋งค์ ๊ฒฝ์ฐ 28.79ยฐ์์ BaO (JCPDS NO. 30-142) ์์ด ํ์ธ๋์์ผ๋ฉฐ, 23.8ยฐ์์ Ba ์ด์จ๊ณผ ์ด์ฐํํ์์
๋ฐ์์ ์ํด ๋ฐ์๋๋ BaCO3 (JCPDS NO. 1-76-2824)์ ํผํฌ๊ฐ ํ์ธ๋์๋ค [18,19]. BaO๋ LNT์ ๊ฐ์ ์ง์์ฐํ๋ฌผ ์ ๊ฐ ๊ธฐ์ ์ด๋งค์ ์ ์ฉ๋๋ ๋ํ์ ์ธ NOx ํก์ฐฉ์ ์ด๋ฉฐ, BaCO3๋ ๊ฐ์ค ์ผ์์ ์ ์ฉ๋๋ NOx ํก์ฐฉ ๋ฌผ์ง์ด๋ค [20]. ์ด์ ๋ฐ๋ผ TiO2์ BaO๊ฐ ๋ด์ง๋จ์ผ๋ก ์ธํด NOx Trap ํน์ฑ์ ๋ํ๋ผ ์ ์๋ BaO, BaCO3 ์์ ํ์ธํ์๋ค.
Barium oxide์ NOx๊ฐ์ ๋ฐ์์์ NO๋ BaO์ ์ํด ์ง์ฐ์ผ์ผ๋ก ํ์ฑ๋๊ฒ ๋๋ฉฐ, ์ด๋งค ํ๋ฉด์ ํํ ๊ตฌ์กฐ ๋ฐ ๊ฒฐํฉ ํน์ฑ์ ๊ด์ฐฐํ๊ธฐ ์ํ์ฌ
FTIR ๋ถ์์ ์ค์ํ์๋ค. T. Lesage์ ๋ฌธํ์ ๋ฐ๋ฅด๋ฉด 1410๊ณผ 1330 cm-1 wavenumber ์ฌ์ด์ ๋ฐด๋๋ Ba2+ site๋ฅผ ๋ํ๋ด๋ฉฐ, ๋ํ ์ด๋งค ํ๋ฉด์์ 1545 cm-1 wavenumber์ ๋ฐด๋๋ ์ง์ฐ์ผ์ ๋ํ๋ธ๋ค [21]. ๊ทธ๋ฆผ 3์ Barium oxide๊ฐ ๋ด์ง๋ VWTi ์ด๋งค์ FTIR ๋ถ์ ๊ฒฐ๊ณผ๋ฅผ ๋ํ๋ธ ๊ฒ์ด๋ค. Ba2+ site๋ 1418 cm-1 wavenumber์์ ์กด์ฌํ๋ฉฐ, BaO๊ฐ ์ฒจ๊ฐ๋์ง ์์ ์ด๋งค ๋๋น BaO์ ํจ๋์ด ์ฆ๊ฐํจ์ ๋ฐ๋ผ ๋์ ์์ค์ Ba2+ site๋ฅผ ๊ด์ฐฐํ์๋ค. Barium oxide๊ฐ ๋ด์ง๋ ์ด๋งค์ NOx ํก์ฐฉ ๋ฐ์์์ Ba๋ NOx๊ฐ ์ง์ฐ์ผ์ ํํ๋ก ์ ์ฅ๋๋ ํก์ฐฉ site๋ก์จ,
site๊ฐ ๋ง์์๋ก NOx์ ํก์ฐฉ ์ฑ๋ฅ์ด ๋์ ๊ฒ์ ๋ํ๋ธ๋ค. ๋ํ, 1536 cm-1 wavenumber์์ ์ง์ฐ์ผ์ ๋ํ๋ด๋ฉฐ ์ด๋ BaO๊ฐ ๋ด์ง๋ ์ด๋งค์์๋ง ๋ํ๋ฌ๋ค.
Barium oxide ํจ๋์ ๋ฐ๋ฅธ VWTi ์ด๋งค์ ํ๋ฉด ํน์ฑ์ SEM์ ํตํด ๋ถ์๋์์ผ๋ฉฐ ๊ทธ ๊ฒฐ๊ณผ๋ฅผ ๊ทธ๋ฆผ 4์ ๋ํ๋ด์๋ค. ํฉ์ฑ๋ ์ด๋งค๋ ๋ถ๋ถ์ ์ผ๋ก ์์ง๋ ์
์์ ํํ๋ก ๊ตฌ์ฑ๋์์ผ๋ฉฐ BaO๊ฐ ๋ด์ง๋ 4๊ฐ์ง ์ด๋งค ๋ชจ๋ 30 nm ~ 80 nm์ ์
์ํฌ๊ธฐ๋ฅผ
๋ํ๋ด์๋ค [22]. ์ด ๊ฒฐ๊ณผ๋ฅผ ํตํด BaO๊ฐ ๋ด์ง๋ ์ด๋งค ๋ชจ๋ BaO๊ฐ ๋ด์ง๋์ง ์์ ์ด๋งค์ ์ ์ฌํ ํ๋ฉด ํ์์ ๋ํ๋ด์์ผ๋ฉฐ, ํนํ BaO๋ nanopowder
ํํ๋ก ํผํฉ๋์์์๋ ์์งํ์์์ด ์ด๋งค ํ๋ฉด ์ ์ฒด์ ๋ถ์ฐ๋ ๊ฒ์ ํ์ธํ์๋ค. ์ด๋ฌํ ๊ฒฐ๊ณผ๋ BaO๊ฐ ๋ด์ง๋ SCR์ด๋งค๊ฐ ๋์ ํ์ง ํจ์จ์ ๋ํ๋ผ ์
์์์ ๋ณด์ฌ์ค๋ค [12].
3.2. NOx ํก,ํ์ฐฉ ํน์ฑ ๋ฐ NOx ์ ๊ฑฐ ํจ์จ
BaO๋ NOx ํก์ฐฉ์ ๋ก์จ ์ด๋งคํ๋ฉด ๋ฟ๋ง ์๋๋ผ ๋ด๋ถ์ BaO๋ ์ง์ฐ์ผ์ ํํ๋ก ๋ฐ๋์ด NOx๋ฅผ ์ ์ฅํ๋ฏ๋ก ๊ฐ์ค์ ๋ฌผ์ง์ด ๊ณ ์ฒดํ๋ฉด์ ํก์ฐฉํ์๋ค๊ฐ ๋ด๋ถ์
์ถ์ ๋์ด ๊ฐ์ญ์ ์ผ๋ก ํก์๋๋ ํ์์ ๊ฐ์กฐํ์ฌ ํก์ฐฉ (absorption)๋์ ํก์ฅ (occlusion)์ฉ์ด๋ฅผ ์ฌ์ฉํ๊ธฐ๋ ํ๋ค [11]. ๋ณธ ์ฐ๊ตฌ์์๋ ๊ทธ๋ฆผ 5 ๋ฐ ์๋ ์๊ณผ ๊ฐ์ NOx์ ํก์ฐฉ ๋ฐ ํ์ฐฉ ๋ฐ์์ด ์ ๋๋๋ค. NO ๋ฐ NO2๋ ์์ง์ฐ์ผ ํํ์์ ์ง์ฐ์ผ์ ํํ๋ก Ba์ ํก์ฐฉ๋๋ฉฐ ์ต์ข
์ ์ผ๋ก ์ฐ์ ๋ถ์๊ธฐ์์ ์ง์ฐ์ผ ์ผ๋์ฒด (Nitrate Trimer)์ ํํ๋ก ํก์ฐฉ๋๋ค. ์ด๋งค์
๋ด์ง๋ Barium์ ์์ Ba ํํ๋ก ์กด์ฌํ์ง ์๊ณ BaO, BaCO3 ๋ฑ์ ์ํ๋ก ์กด์ฌํ๋ฉฐ, NOx๋ BaO์ ๋จผ์ ํก์ฐฉ๋๊ณ , BaCO3 ์์๋ก ํก์ฐฉ๋๋ค. ์ฆ, NOx ํก์ฐฉ ์์๊ฐ Barium ์์ ํํ์ ์ง๋ฐฐ๋๋ ๊ฒ์ด๋ค [23]. ํก์ฐฉ๋ NOx๋ ์จ๋์์น์ผ๋ก ์ธํด ํก์ฐฉ์๋์ง ์ด์์ผ๋ก ์ด๋์๋์ง๊ฐ ์ฆ๊ฐํ๊ฒ ๋๋ฉฐ, ์ง์ฐ์ผ ๋ฐ ์ง์ฐ์ผ ์ผ๋์ฒด ํด๋ฌ์คํฐ์ ๋ถ๊ดด๋ฅผ ํตํด ์์ง์ฐ์ผ ํํ๋ก
์ ํ, NO2์ ํํ๋ก ํ์ฐฉ๋๊ฒ ๋๋ฉฐ, ์จ๋๊ฐ ์ฆ๊ฐํจ์ ๋ฐ๋ผ NOx Trap ์ญ์ ํ์์ด ๋ฐ์ํ๊ฒ ๋๋ค [24]. ์ดํ SCR ์ด๋งค ํ์ฑ์จ๋์์ ์น์จ ํ์ฐฉ์ ํตํด ํ์ฐฉ๋ NOx๋ฅผ ํ์ฑ์ฑ๋ถ์ธ Vanadium์ ์ํด NH3์ ๋ฐ์ํ์ฌ NOx๋ฅผ ํ์์ํจ๋ค.
๊ทธ๋ฆผ 6์ BaO๊ฐ ๋ด์ง๋ ์ด๋งค์ NOx ํก์ฐฉ ๊ฑฐ๋์ ์์๋ณด๊ธฐ ์ํ์ฌ, ๋ฐ์๊ธฐ ์จ๋ 200 โ์์ ์๊ฐ์ ๋ฐ๋ฅธ NOx์ ๋ณํ๋์ ๋ํ๋ธ ๊ฒ์ด๋ค. ๊ทธ๋ฆผ 6์์ ํก์ฐฉ ๊ฐ์ ์งํ ๊ณต๊ธ๋ NOx๋ ์ด๋งค์ ํก์ฐฉ๋๋ฉฐ, ํก์ฐฉ๋์ง ๋ชปํ NOx๋ ๊ทธ๋๋ก ๋ฐฐ์ถ๋๋ค. BaO์ ํจ๋์ ๋ฐ๋ผ NOx์ ํก์ฐฉ ํน์ฑ์ด ์ฐจ์ด๋ฅผ
๋ํ๋ด๋ฉฐ, VWTi ์ด๋งค์ ๊ฒฝ์ฐ ๋น ๋ฅธ ์๊ฐ์ ํฌํ๋์ด ์ด๊ธฐ ๊ณต๊ธ๋์๋ ๋์ผํ ์์ NOx๊ฐ ๋ฐฐ์ถ๋์๊ณ , ์ด๋ณด๋ค ์๋์ ์ผ๋ก BaO๊ฐ ๋ค๋ ๋ด์ง๋ BaO(10)/VWTi์
๊ฒฝ์ฐ NOx ํก์ฅ๋์ด ์ฆ๊ฐํจ์ ์ ์ ์๋ค. NOx ํก์ฐฉ ์คํ ๊ฒฐ๊ณผ๋ฅผ ํ ๋๋ก NOx ํก์ฐฉ ๊ฐ์๋ถํฐ 1์๊ฐ ๋์ NOx ํก์ฅ๋์ ๊ณ์ฐํ์์ ๋, ์ด๋งค์
NOx ํก์ฅ๋์ BaO์ ํจ๋์ ์ํฅ์ ๋ฐ์ผ๋ฉฐ, VWTi ์ด๋งค์ NOx ํก์ฅ๋ 1.1 ฮผmol/g์ ๊ธฐ์ค์ผ๋ก BaO(5)/VWTi๋ 12.59 ฮผmol/g,
BaO(10)/VWTi๋ 20.21 ฮผmol/g์ NOx๊ฐ ํก์ฐฉ๋์์ผ๋ฉฐ, VWTi ์ด๋งค ๋๋น ๊ฐ๊ฐ ์ฝ 12๋ฐฐ, 20๋ฐฐ์ ๋์ NOx ํก์ฅ๋์ ํ์ธํ์๋ค.
์ด๋ฌํ Barium oxide์ ํจ๋์ ์ํ NOx ํก์ฅ๋์ ๋ณํ๋ FTIR ๋ถ์ ์ ํ์ธ๋ Ba2+ site์ ์ฆ๊ฐ์ ์ํ ๊ฒ์ผ๋ก ํ๋จ๋๋ค.
๊ทธ๋ฆผ 7์ ํก์ฐฉ์ด ์๋ฃ๋ ์ด๋งค์ NOx ํ์ฐฉ ๊ฑฐ๋์ ์์๋ณด๊ธฐ ์ํ์ฌ, BaO๊ฐ ๋ด์ง๋ ์ด๋งค๋ฅผ ์ด๋งค์จ๋ 200 โ ์กฐ๊ฑด์์ 1์๊ฐ NOx๋ฅผ ํก์ฐฉ์ํจ ํ, N2 (500 cc/min) ๋ถ์๊ธฐ์์ ์น์จ (4 โ/min)ํ๋ฉด์ ์ด๋งค์์ ํ์ฐฉ๋ NOx๋ฅผ ๊ฒ์ถํ ์น์จ ํ์ฐฉ ์คํ ๊ฒฐ๊ณผ๋ก, ์ด๋ฅผ ํตํด ํ์ฐฉ์ด ์ผ์ด๋๋
์จ๋๋ฅผ ์ ์ ์๋ค. VWTi๋ ์ด๊ธฐ NOx๊ฐ ๊ฒ์ถ๋๋ฉฐ ์ ์ฐจ ๊ฐ์ํ๋ ํ์์ ๋ํ๋ด์๋๋ฐ, ์ด๋ NOx ๊ธฐ์ฒด ๋ถ์์ ์ด๋งค ํ๋ฉด ์ฌ์ด์ ๋ฌผ๋ฆฌ ํก์ฐฉ๋
NOx์ ํ์ฐฉ์ ๊ธฐ์ธํ๋ ๊ฒ์ผ๋ก ๋ณด์ธ๋ค. ๊ทธ์ ๋นํด BaO(5)/VWTi๋ ์ด๋งค์จ๋ 290 โ๋ถํฐ NOx๊ฐ ํ์ฐฉ๋๊ธฐ ์์ํ๋ฉฐ, 360 โ์์ ๊ฐ์ฅ
๋์ ํ์ฐฉ ํผํฌ๋ฅผ ๋ํ๋ธ๋ค. ๋ํ BaO(10)/VWTi๋ 232 โ๋ถํฐ NOx ํ์ฐฉ ํ์์ด ํ์ธ๋๋ฉฐ, 345 โ์์ ๊ฐ์ฅ ๋์ ํ์ฐฉํผํฌ๋ฅผ ๋ํ๋ด์๋ค.
BaO๊ฐ ๋ด์ง๋ ์ด๋งค์์ ๋ํ๋๋ 345~360 โ ์ฌ์ด์ NOx ํ์ฐฉ ํผํฌ๋ ์ด๋งค ํ๋ฉด์ BaO์ ์ํ ํ์ฑ์ ๊ณผ NOx ๋ถ์ ์ฌ์ด์ ์ ์๊ฐ ์ด๋ํ์ฌ
ํํ ํก์ฐฉ๋ NOx๊ฐ ํ์ฐฉ ๋๋ ๊ฒ์ด๋ค. ํ์ฐฉ ํผํฌ๋ ๋ด์ง๋ BaO์ ํจ๋์ด ๋ง์์๋ก ๋์ intensity๋ฅผ ๋ณด์ด๋ ๊ฒ์ ํ์ธํ์๋ค. V2O5-WO3/TiO2 SCR ์ด๋งค์ ๊ฒฝ์ฐ ํ์ฑ์จ๋๊ฐ 300~400 โ ๋ฒ์์ด๋ฉฐ, BaO๊ฐ ๋ด์ง๋ ์ด๋งค์ ํ์ฐฉ ์จ๋๊ฐ SCR ์ด๋งค ํ์ฑ์จ๋ ๋ฒ์ ๋ด์ ์์ผ๋ฏ๋ก 200 โ
์ดํ์ SCR ์ด๋งค ํ์ฑ์จ๋ ์ดํ์์ BaO์ ์ํด ํก์ฐฉ๋ NOx๊ฐ SCR ์ด๋งค ํ์ฑ์จ๋์์ ํ์ฐฉ๋์ด SCR ์ด๋งค์ ์ํด ์ ๊ฑฐ๋ ์ ์์ ๊ฒ์ผ๋ก ํ๋จ๋๋ค.
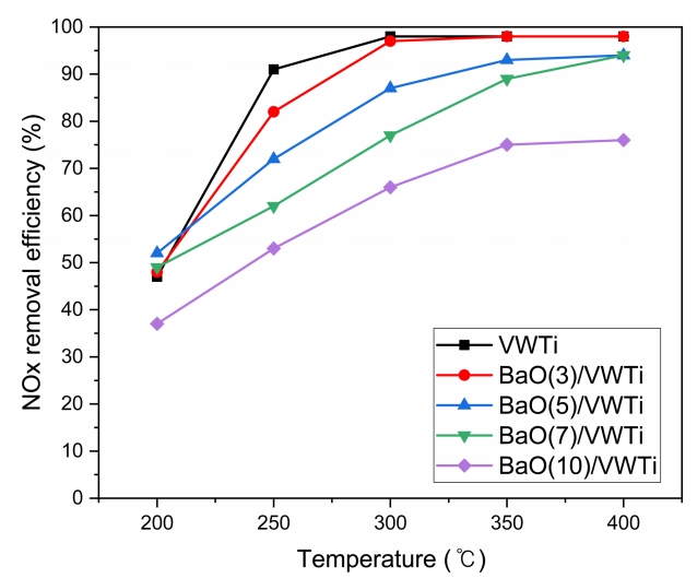
ํก, ํ์ฐฉ ํน์ฑ์ ๋ํ๋ธ BaO๊ฐ ์ฒจ๊ฐ๋ VWTi ์ด๋งค์ ๋ํด ๊ธฐ์กด์ ์์ฉ V2O5-WO3/TiO2 SCR ์ด๋งค์ ํ๊ฐ์กฐ๊ฑด๊ณผ ์ ์ฌํ ์กฐ๊ฑด์์ NOx ์ ๊ฑฐ ํจ์จ์ ๋ณํ๋ฅผ ๋น๊ตํ๊ธฐ ์ํ์ฌ NOx removal efficiency ํ๊ฐ๋ฅผ ์ค์ํ์์ผ๋ฉฐ
๊ทธ ๊ฒฐ๊ณผ๋ฅผ ๊ทธ๋ฆผ 8์ ๋ํ๋ด์๋ค. ์ด๋งค์ NOx removal efficiency๋ ๋ฐ์์จ๋๊ฐ ๋์์ง์๋ก ์ฆ๊ฐํ๋ ๊ฒฝํฅ์ ๋ณด์ด๋ฉฐ 400 โ์์ ์ต๊ณ 98%์ ๋์ ํจ์จ์
๋ํ๋๋ค. 450 โ ์ด์์ ์จ๋์์๋ NH3์ ์ฐํ์ ์ํด NOx๊ฐ ์์ฑ๋๋ฉฐ, ์ด์ ๋ฐ๋ผ ๋ฐ์์ ์ฐธ์ฌํ๋ NH3๋ ๊ฐ์ํ๊ณ NOx์ ์์ ์ฆ๊ฐํ๊ธฐ ๋๋ฌธ์ ๋ณธ ์คํ์์๋ 450 โ ์ด์์ ์จ๋๋ ํ๊ฐ ์กฐ๊ฑด์์ ์ ์ธํ์๋ค [25]. 200 โ ๋ถํฐ 400 โ ์ฌ์ด์ ๋ฐ์์จ๋์์ BaO์ ํจ๋์ด 3 wt%์์ 10 wt%๋ก ์ฆ๊ฐํ ๋ NOx ์ ๊ฑฐ ํจ์จ์ ๊ฐ์ํ์์ผ๋ฉฐ, BaO
ํจ๋์ด ์ฆ๊ฐํจ์ ๋ฐ๋ผ ๊ฐ์์จ์ ์ฆ๊ฐํ๋ ๊ฒ์ผ๋ก ํ์ธํ์๋ค. BaO(10)VWTi๋ BaO๊ฐ ๊ฐ์ฅ ๋ง์ ์์ด ๋ด์ง ๋จ์ ๋ฐ๋ผ ๊ฐ์ฅ ๋ฎ์ NOx removal
efficiency๋ฅผ ๋ํ๋ด์์ผ๋ฉฐ, ์ด๋ ์์ ํ์ธํ์๋ BET๋ถ์์์์ ๋นํ๋ฉด์ ๋ถ์๊ฒฐ๊ณผ์ ์ผ์นํ๋ค. ํ์ง๋ง, BaO(3)/VWTi ๋ฐ BaO(5)/VWTi์
๊ฒฝ์ฐ 350 โ์์ ๊ฐ๊ฐ 98%, 93%์ ํจ์จ์ ๋ํ๋ด์์ผ๋ฉฐ 90%์ด์์ NOx removal efficiency๋ฅผ ํ์ธํ์๋ค. 400 โ์์ BaO(7)/VWTi
์ด๋งค๋ 94%์ NOx removal efficiency์ ๋ํ๋ด์์ผ๋ฉฐ, ์ด๋ฅผ ํตํด BaO๊ฐ ๋ด์ง๋ ์ด๋งค๊ฐ SCR ์ด๋งค์ ํ์ฑ์จ๋์์ ๋์ ํ์ง ํจ์จ์
๊ฐ์ง๋ ๊ฒ์ ํ์ธํ์๋ค.
4. ๊ฒฐ ๋ก
ํจ์นจ๋ฒ์ ํตํด BaO๊ฐ ๋ด์ง๋ V2O5-WO3/TiO2 SCR ์ด๋งค๋ฅผ ์ ์กฐํ์์ผ๋ฉฐ, BaO ๋ด์ง๋์ ๋ฌ๋ฆฌํ BaO/VWTi ๋ถ๋งํ ์ด๋งค์ ํจ๋์ ๋ฐ๋ฅธ ์ฑ๋ถ, ๋นํ๋ฉด์ , ๊ฒฐ์ ์, ํ๋ฉดํน์ฑ ๋ถ์์ ํตํ ๋ฌผ๋ฆฌ์
ํน์ฑ์ ๋น๊ตํ์๋ค. ๋ํ, ํฉ์ฑ๋ BaO/VWTi ์ด๋งค๋ฅผ ๊ณ ์ ์ธต ๋ฐ์๊ธฐ๋ฅผ ์ฌ์ฉํ์ฌ BaO ํจ๋์ ๋ฐ๋ฅธ NOx ํก์ฐฉ ๋ฐ ํ์ฐฉ ๊ฑฐ๋์ ์ธก์ ํ์์ผ๋ฉฐ, ์จ๋์
๋ฐ๋ฅธ NOx ์ ๊ฑฐ ํจ์จ์ ์ธก์ ํ์ฌ ๋ค์๊ณผ ๊ฐ์ ๊ฒฐ๋ก ์ ์ป์๋ค.
1. BaO ํจ๋์ ๋ฐ๋ฅธ NOx์ ํก์ฐฉ ๊ฑฐ๋์ ๋ถ์ํ ๊ฒฐ๊ณผ ์์ฉ SCR ์ด๋งค ํ์ฑ์จ๋ ์ดํ์ธ 200 โ์์, VWTI๋ 1.11 ฮผmol/g์ NOx๋ฅผ
ํก์ฐฉํ ๊ฒ์ ๋นํด BaO(5)/VWTi ๋ฐ BaO(10)/VWTi์ ๊ฒฝ์ฐ ๊ฐ๊ฐ 12.59 ฮผmol/g, 20.21 ฮผmol/g์ ๋์ ํก์ฅ๋์ ๋ํ๋ด์๋ค.
2. ํ์ฐฉ ํน์ฑ ํ๊ฐ ๊ฒฐ๊ณผ, VWTi ์ด๋งค๋ ๋ฌผ๋ฆฌ์ ํก์ฐฉ์ ์ํ ํ์ฐฉ ํ์๋ง์ ๋ํ๋ด์์ผ๋ฉฐ, BaO(5)/VWTi๋ 290 โ์์ NOx๊ฐ ํ์ฐฉ๋๊ธฐ
์์ํ์ฌ 360 โ์์ ๊ฐ์ฅ ๋์ ํ์ฐฉ ํผํฌ๋ฅผ ๋ํ๋ด์์ผ๋ฉฐ, BaO(10)/VWTi๋ 232 โ๋ถํฐ ํ์ฐฉ ์์, 345 โ์์ ๊ฐ์ฅ ๋์ ํ์ฐฉ ํผํฌ๋ฅผ
๋ํ๋ด์๋ค. ํผํฌ์ intensity๋ ๋ด์ง๋ BaO์ ํจ๋์ด ์ฆ๊ฐํจ์ ๋ฐ๋ผ ์ฆ๊ฐํ์๋ค. ์ด๋ ํก์ฅ๋ NOx๊ฐ ์ด๋งคํ์ฑ์จ๋ ๊ตฌ๊ฐ์์ ํ์ฐฉ๋์๊ณ , ๊ธฐ์กด์
SCR ๊ณต์ ์ ์ํ์ฌ ์ ๊ฑฐ๋ ์ ์์์ ์๋ฏธํ๋ค.
3. ์จ๋์ ๋ฐ๋ฅธ BaO/VWTi ์ด๋งค์ NOx removal efficiency๋ฅผ ๋น๊ตํ ๊ฒฐ๊ณผ BaO(7)/VWTi ์ด๋งค๋ 400 โ์์ 94%์
ํจ์จ์ ๋ํ๋ด์์ผ๋ฉฐ, BaO(3)/VWTi, BaO(5)/VWTi๋ 350 โ์์ ๊ฐ๊ฐ 98%, 93%์ ํจ์จ๋ก SCR ์ด๋งค์ ํ์ฑ ์จ๋์์ BaO๊ฐ
๋ด์ง๋์ง ์์ ์ด๋งค ๋๋น ์ ์ฌํ 90% ์ด์์ ๋์ NOx ์ ๊ฑฐ ํจ์จ์ ๋ํ๋ด์๋ค.
๋ฐ๋ผ์ BaO(5)/VWTi๋ ๊ธฐ์กด ์ด๋งค ๋๋น ์ ์จ์์ ๋์ NOx ํก์ฅ ์ฑ๋ฅ์ ๋ํ๋ด๋ ๊ฒ์ ํ์ธํ์๊ณ ์ด๋งค ํ์ฑ์จ๋ ์์ญ์ธ 300~400 โ ์์์
ํ์ฐฉ๊ฑฐ๋์ ํ์ธํ์๋ค. ๋ํ, ํ์งํ๊ฐ๋ฅผ ํตํด ์ฝ 93%์ ํ์ง ํจ์จ์ ํ์ธํ์ฌ ๋ด์ง ํ์๋ ๋์ ํ์ฑ์ ๋ํ๋ด๋ ๊ฒ์ ํ์ธํ์๋ค.
Acknowledgements
๋ณธ ์ฐ๊ตฌ๋ ์ฐ์
ํต์์์๋ถ์ ์ฐ์
ํต์ฌ๊ธฐ์ ๊ฐ๋ฐ์ฌ์
[10067386], ๊ธฐํ์ฌ์ ๋ถ์ ์ฒญ์ ์์ฐ์์คํ
๊ธฐ์ ์ฐ๊ตฌ๊ฐ๋ฐ์ฌ์
[EO180019]์ผ๋ก ์ํ๋์์ต๋๋ค.
REFERENCES
Palash S. M, Kalam M. A., Masjuki H. H., Masum B. M., Rizwanul Fattah I. M., Mofijur
M., Renewable and Sustainable Energy Rev,23, 473 (2013)

Gauss M., Isaksen I. S. A., Lee D. S., Sรธvde O. A., Atmos. Chem. Phys,6, 1529 (2006)

Johnson T. V., SAE Int. J. Engines,8, 1152 (2015)

Il Y. Seung, Korean Review of Organizational Studies,4, 1, 113 (2007)

Zheng Y., Johnsson A. D., Johnsson J. E., Appl. Catal. B,60, 253 (2005)

Feng X., Hall W. K., J. Catal,166, 368 (1997)

Garcยดฤฑa-Cortรฉs J.M., Pรฉrez-Ramยดฤฑrez J., Illรกn-Gรณmez M. J., Kapteijn F., Moulijn J.
A., Lecea C. Salinas-Martยดฤฑnez de, Appl. Catal. B,30, 399 (2001)

Stahl A., Wang Zhong, Schwรคmmle T., Ke J., Li X., Catalysts,7, 71 (2017)

Dardiotis C., Martini G., Marotta A., Manfredi U., Appl. Energy,111, 468 (2013)

Broqvist P., Panas I., Fridell E., Persson H., J. Phys. Chem. B,106, 137 (2002)

Lee K. S., Study on a LNT/DPF system for simultaneous removal of NOx and PM of diesel
vehicles,14Chonnam National University (2013)

Jeong B., Ye B., Kim E.-S., Kim H.-D., Catal. Commun,93, 15 (2017)

Park S. S., Thermal Behavior of TiO2-based Honeycomb Type SCR Catalyst and the Influence
of Cell Density on the Reaction Efficiency,67Gyeongsang National University (2010)

Lee S.-J., Hong S.-C., J. Korean Ind. Eng. Chem.,19, 3, 259 (2008)

Lee J.-H., Ahn H.-J., Youn J.-I., Kim Y.-J., Suh S.-J., Oh HJ., Korean J. Met. Mater,56,
900 (2018)

Cristallo G., Roncari E., Rinaldo A., Trifirรฒ F., Appl. Catal. A,209, 249 (2001)

Gu L., Wang J., Cheng H., Du Y., Han X., Chem. Commun,48, 6978 (2012)

Wada S., Chikamori H., Noma T., Suzuki T., J. Mater. Sci. Lett,19, 245 (2000)

Lu D.-Y., Sugano M., Su W.-H., Koda T., Cryst. Res. Technol,40, 703 (2005)

Groร A., Weller T., Tuller H. L., Moos R., Sensor Actuat. B Chem,187, 461 (2013)

Lesage T., Verrier C., Bazin P., Saussey J., Daturi M., Phys. Chem. Chem. Phys,5,
4435 (2003)

Shon I.-J., Korean J. Met. Mater,55, 110 (2017)

Lietti L., Forzatti P., Nova I., Tronconi E., J. Catal,204, 175 (2001)

Schmitz P. J., Baird R. J., J. Phys. Chem. B,106, 4172 (2002)

Jeong H.-C., Sim S.-M., Kim Y.-D., Jeong S.-J., Kim W.-S., Transactions of KSAE,20,
1, 20 (2012)

Figures and Tables
Fig. 1.
Synthesis process of the BaO loaded SCR catalyst by impregnation method
Fig. 2.
XRD patterns of synthesized V2O5-WO3/TiO2 catalyst with different BaO loadings. ( โ TiO2 Anatase, โผ Barium carbonate, โ Barium oxide)
Fig. 3.
FTIR spectra of the BaO loaded V2O5-WO3/TiO2 catalyst with different barium content.
Fig. 4.
SEM images of the BaO loaded V2O5-WO3/TiO2 catalyst. ((a) VWTi, (b) BaO(3)/VWTi, (c) BaO(5)/VWTi, (d) BaO(7)/ VWTi, (e) BaO(10)/VWTi)
Fig. 5.
Schematic diagram of the BaO loaded SCR catalyst reaction for NOx storage and removal
on surface of BaO loaded V2O5-WO3/ TiO2 ([O*] is active oxygen)
Fig. 6.
Adsorption behaviors of the BaO loaded V2O5-WO3/TiO2 Catalyst at gas condition with [NO]=500 ppm, [O2]=5 vol%, [N2]=balance and GHSV=30,000 h-1
Fig. 7.
Desorption behaviors of the BaO loaded V2O5-WO3/TiO2 Catalyst
Fig. 8.
NOx removal efficiency of the BaO loaded V2O5-WO3/TiO2 Catalyst at gas condition with [NO]=300 ppm, [NH3]=300 ppm, [O2]=5 vol%, [N2]=balance and GHSV=30,000 h-1
Table 1.
Element component of the BaO loaded V2O5-WO3/TiO2 catalyst
|
|
TiO2 |
WO3 |
BaO
|
V2O5 |
SO3 |
SiO2 |
|
VWTi
|
89.15
|
8.88
|
-
|
1.68
|
0.28
|
0.02
|
|
BaO(3)/VWTi
|
85.57
|
9.06
|
2.92
|
1.61
|
0.8
|
0.03
|
|
BaO(5)/VWTi
|
84.1
|
8.59
|
4.73
|
1.71
|
0.84
|
0.04
|
|
BaO(7)/VWTi
|
82.35
|
8.72
|
6.54
|
1.64
|
0.79
|
0.05
|
|
BaO(10)/VWTi
|
78.88
|
9.58
|
9.17
|
1.57
|
0.84
|
0.03
|
Table 2.
Specific surface area (SBET), pore volume and pore size of the BaO loaded V2O5-WO3/TiO2 catalyst
|
Sample
|
SBET (m2/g)
|
Pore volume (cm3/g)
|
Pore size (nm)
|
|
VWTi
|
71.4638
|
0.2682
|
14.2161
|
|
BaO(3)/VWTi
|
70.5769
|
0.2413
|
14.2467
|
|
BaO(5)/VWTi
|
70.8047
|
0.2469
|
13.8002
|
|
BaO(7)/VWTi
|
70.011
|
0.2567
|
14.2209
|
|
BaO(10)/VWTi
|
65.9462
|
0.2176
|
13.5423
|