The Journal of
the Korean Journal of Metals and Materials

The Journal of
the Korean Journal of Metals and Materials

Monthly
  • pISSN : 1738-8228
  • eISSN : 2288-8241

Editorial Office


  1. 호서대학교디스플레이공학과 (Department of Display Engineering, Hoseo University, Asan 31499, Republic of Korea)



inkjet print, metal-oxide, TFT, doping effect

1. 서 론

최근의 디스플레이산업의 발달로 인하여 무정형 금속산화물 반도체 (amorphous metal-oxide semiconductor)는 유기 전계 발광디스플레이 (organic light emitting-diodes, OLED)와 액정디스플레이 (liquid crystal display, LCD)에 사용되는 thin-film transistor (TFT)의 핵심부품으로서 그 가치가 더욱 증대되고 있으며 많은 관련 연구들이 진행되고 있다. 이들 금속산화물 반도체로서는 IGZO, ZTO, IZO등이 있고 다양한 산화물 조합에 의한 연구가 많이 진행되고 있다 [1-3].

TFT에 활용하는 기존의 금속 산화물 반도체를 제조하는 방법으로는 스퍼터링이 가장 많이 사용되고, 그 외에 다양한 증착 공정도 활용되고 있다. 한편, 디스플레이 등의 전자소자에 유연성을 부여하기 위하여는 새로운 공정의 필요성이 대두되고 있다. 그 중에 용액공정을 이용한 금속산화물의 박막화와 이를 이용한 TFT의 제작이 활발하게 이루어지고 있다. 최근에 새로운 공정을 이용한 산화물 반도체의 개발이 많이 진행되고 있는데, 대표적인 인쇄에 의한 공정으로서는 inkjet과 electrohydrodynamic jet 공정 등이 있다 [4-6].

이들 금속 산화물 반도체중에 In2O3를 이용한 디스플레이용 반도체의 연구는 많지 않았는데, 이는 In2O3의 특성이 거의 도체에 가까워서 TFT용으로의 좋은 반도체성능을 나타내지 못한 것에 기인한다. 최근에 용액공정을 이용한 In2O3 반도체의 연구도 보고 되었다. Marks는 다양한 게이트 절연체와 산화물실리콘을 활용하였고, Chang은 acetonitrile과 ethylene glycol을 기반으로 한 metal halide 용액을 제작하여 spin coating 하였고, Hahn은 In2O3 nanoparticles을 이용하여 inkjet print 공정을 이용하여 연구하였다 [7-9]. 그러나 이들 논문에서 보고된 반도체로서의 전기적 특성 값은 0.8 cm2/V s 이하로서 좋은 결과를 얻지 못하였다. 한편 최근에 Lee 등은 낮은 온도에서 inkjet을 이용한 금속산화물 (In2O3)을 연구 하여 매우 우수한 연구 결과를 내 놓았다 [10]. TFT의 이동도가 1.83 cm2/V s, 문턱전압은 -1.9 V, On-to-off 전류특성는 108, 그리고 subthreshold slope은 0.3 V/dec-1의 특성을 발표하였다. 또한 후 열처리 공정에 의하여 획기적인 특성의 개선을 보고하였다. 한편 Ga를 도핑하여 In2O3 TFT를 제작한 연구가 보고 되었으나 이들은 250 ℃ 에서 매우 낮은 특성을 얻었고, 200 ℃ 에서는 TFT 특성값을 전혀 얻지 못하였다 [11].

본 연구에서는 금속산화믈의 반도체 특성을 개선하기 위하여 사용되는 반도체의 도핑에 의한 영향을 주목하였다. 기존의 산화물반도체에서 주요 구성성분으로 많이 사용되는 아연 (zinc, Zn)이 있기에, 이 아연을 In2O3 기반의 산화물 반도체에 도핑하여 그 전기적 특성의 변화를 관찰하고자 한다. 최저의 아연 도핑에 의하여 기존의 특성을 유지하면서 히스테리시스와 양전하 부하에 의하여 문턱전압이 양 방향으로 이동함을 조사하였다.

2. 실험방법

Inkjet 용 잉크용액을 만들기 위하여 0.3 M의 indium nitrate hydrate를 2-methoxy ethanol에 용해하여 상온에서 4시간 교반하였고, 도핑을 위하여 0.025, 0.05, 그리고 0.1 M의 zinc acetate dihydrate를 첨가하여 상온에서 1시간 교반하여 용액을 제조하였다. Inkjet printer (Omnijet Mini-100, Unijet)는 압전형으로 노즐의 구경이 50 μm이다. 균일한 잉크의 액적을 얻기 위하여 69 V의 전압과 500 Hz의 주파수로 0.5 mm의 높이에서 토출 (jetting) 하였다. 기판의 온도는 46 oC로 고정하였다. Heavily doped silicon 기판위에 열산화에 의하여 형성된 실리콘옥사이드를 게이트 절연체로 사용하여 botton-gate top-contact구조의 TFT를 제작하였다 (그림 1). 기판은 IPA와 초음파로 세정하였고, UV/O3로 전처리를 20분간 시행한 후에 inkjet printer를 사용하여 금속 산화물을 토출하였다. Inkjet print 후에 150 ℃ 에서 1 분간 용매를 증발하고는 200, 230, 그리고 300 oC에서 열처리를 진행하여 금속산화믈 반도체를 제작하였다. 소스와 드레인 (source and drain) 으로는 알루미늄을 사용하여 열증착기로 100 nm두께로 증착하였다. 채널의 폭과 길이는 1500 μm와 100 μm이다. TFT의 특성평가는 parameter analyzer (Keithley 4200)를 사용하여 I-V (current-voltage)를 측정하여 계산하였다. 양전하 부하 실험 (positive bias stress)은 게이트 전압을 20 V로 고정하여 0초에서 3600초까지 측정하였다. X-ray photoelectron spectroscopy (XPS, Thermo VG ESCA Sigma Probe) 분석은 monochromic Al Kα source를 사용하여 15 kV와 100W에서 실시하였고, C 1s peak 로 교정하였다.

3. 결과 및 고찰

일반적으로 졸-겔 (sol-gel) 반응을 통하여 제조된 금속산화물은 고온의 열 처리 과정이 필요하다. 이는 졸-겔의 반응에 의하여 생성된 반응의 부산물등의 완전한 제거와 금속과 산화물간의 결합을 생성하기 위한 것이다. 따라서 유기물등의 제거에 필요한 400 ℃ 이상의 열처리 온도가 없을 경우에는 온전한 금속-산화물 결합이 생성되지 않고 수 많은 불순물이 박막내에 잔존하여 있기에 원하는 박막 특성을 얻기 어렵고 또한 전류의 흐름을 제어하기도 어렵다. 그러나 본 연구팀은 In2O3의 금속 산화물 형성시에 자기연소 (self combustion) 가 일어날 수 있는 용액을 사용하여 상대적으로 저온에서 200 oC에서 TFT를 제작하는데 성공하였다 [10]. 이 경우에는 In의 양이 상대적으로 많고 용매로 사용되는 2-methoxy ethanol이 연료로서 사용되기에 약 124 oC에서의 용매의 증발 이후에 147 ℃ 부근에서의 자기연소 현상을 관찰 할 수 있었고 이는 Indium nitrate 전구체의 분해되는 온도에 해당한다. 아연의 도핑에 의한 졸-겔의 용액은 위와 동일한 자기연소의 성격을 가지기에 이를 활용한 저온 도핑 효과를 검증하였다. 도핑의 농도를 다양하게 하여 기초 실험을 하였으나 도핑의 양이 증가하면 전자소자로서의 TFT특성을 얻을 수 없었다. 따라서 도핑의 양을 최소로 조절하는 실험을 진행하여 TFT의 특성을 얻을 수 있었고, 이때 사용된 아연의 농도는 0.025 M, 0.05 M, 그리고 0.1 M이다.

Inkjet print를 이용한 인쇄공정에서는 In2O3의 경우와 동일하게 공정의 조건을 조절하여 액적의 토출과 생성되는 박막의 특성을 관찰하였다. Inkjet의 공정 변수로는 전압, 주파수의 조절에 따른 것과 기판의 온도에 따른 효과를 관찰하였으나, 이 경우에도 도핑에 의한 변화는 관찰 할 수 없었다. 기판의 온도를 25, 47, 그리고 57 ℃로 변화하여 inkjet의 토출에 따른 액적의 변화를 관찰하였고, 이 경우에도 도핑 없이 진행된 47 oC의 경우에서 커피링 효과를 적게한 박막을 얻을 수 있었기에 기판의 온도를 47 oC로 정하였다. 도핑의 양을 적게 사용하였기에 도핑에 의한 잉크젯의 jetting 형태의 변화는 관찰되지 않았다.

Inkjet 공정으로 제작된 박막은 도핑하기 전과 도핑 이후의 전자현미경에 의한 표면특성의 차이를 발견하지 못하였다. 그러나 도핑에 의한 잉크젯으로 형성된 박막에 의한 내부의 구성 성분에는 차이가 있을 수 있기에 이에 대한 표변분석을 시행하였다. 그림 2표 1에서와 같이 XPS spectra에서 얻은 O 1s spectra를 온도에 따라 분석하였다. XPS의 oxygen peak는 Gaussian방법으로 fitting하여 세 개의 산소 peak로 분리하였다. 200 oC에서 열처리한 첫번쩨 peak의 binding energy 는 528.11 eV를 나타내며, 이 peak는 완전하게 산소와 결합한 In에 결합되어 있는 형태를 가지는 산소에 의해 나타나는 것이다 (Ooxy). 두번째 binding energy peak는 529.08 eV의 값을 가지며, 이는 oxygen-deficient (산소공핍) 영역에 존재하는 산소이온에 의해서 나오는 것으로 산소공핍에 의하여 생성된다 (Ovac). 세번째 binding energy peak는 230.17 eV에서 나타나며, 이는 표면에서 이루어진 H2O나 –OH에 관련된 산소에 의하여 나타나는 것이다 (Ooh). 이들의 비율은 Ooxy, Ovac, Ooh은 50.78, 34.89, 그리고 14.31%이다. 도핑 하기전의 XPS O 1s spectra의 값은 Ooxy는 529.8 eV, Ovac는 531.3 eV, 그리고 Ooh는 532.3 eV이다 [10]. 아연을 도핑한 박막을 도핑하기 전과 비교하였을 경우에는 binding energy가 전반적으로 약간 낮은 값으로 이동 했음을 알 수 있다. 특히 metal-oxide binding energy의 감소와 metaloxide 결합이 52.25%에서 50.78%로 많이 낮아짐을 알 수 있다. 또한 Ooh의 함량이 도핑에 의하여 13.73%에서 14.31%로 많이 증가한다. 이는 외부에 의하여 흡착된 물질에 의한 것으로 온도에 따른 영향이 크게 나타난다.

한편 도핑한 경우에는 온도에 따른 XPS O 1s spectra의 변화를 발견 할 수 있다. 결합에너지는 온도에 따라 약간씩 증가하는 것을 표 1에서 알 수 있다. 또한 온도의 증가에 따라 metal-oxide의 함량이 증가하고, 표면 흡착에 관련된 Ooh의 함량은 14.31%에서 9.88%로 급격하게 줄어드는 것을 확인할 수 있다. 이상에서 도핑에 의한 박막 내의 결합에너지의 변화와 그 구성성분의 분포에 상당한 변화를 확인 할 수 있었고, 이는 형성된 박막의 oxygen lattice와 표면에 흡착된 물질들에 의한 것으로 이를 이용한 전자소자의 특성에 많은 영향을 줄 것으로 사료된다.

아연을 도핑한 In2O3의 박막을 반도체층으로 사용하여 TFT를 제작하였다. 실리콘 웨이퍼 위에 열산화로 형성된 실리콘 산하물위에 잉크젯으로 반도체층을 형성시켜서 bottom gate-top contact 구조의 TFT를 제작하였다 (그림 1). 도핑농도에 의한 영향을 알아보기 위하여 도핑이 없는 박막 (Zn 0%)과 0.025%에서 0.1%의 아연을 도핑한 박막을 이용한 TFT의 transfer curve를 그림 3에 나타내었다. 열처리 온도를 200 oC로서 획기적으로 낮은 온도에서도 전반적으로 양호한 transfer curve를 얻었다. 이를 이용한 TFT의 특성값을 구하여 표 2에 표시하였다. 도핑되지 않는 In2O3 박막의 경우에는 이동도는 1.8 cm2/V s, subthreshold slope (S-S)는 0.3 V dec-1., on-to-off current ratio는 108, 그리고 문턱전압은 1.9 V를 나타낸다 [10]. 도핑하였을 경우에는 전반적으로 특성이 저하가 됨을 확인 할 수 있다. 아연을 0.025 M 도핑하여 얻은 TFT특성값이 가장 좋은 곳으로 이동도는 1.8 cm2/V s, subthreshold slope (S.S.)는 0.3 V dec-1. on-to-off current ration는 107, 그리고 문턱전압은 -3.25 V를 나타낸다 (표 2). 이와 같이 적은 양의 도핑에 의한 경우는 In2O3 TFT와 거의 유사한 전기적 특성을 유지하였다. 일반적으로 In2O3의 박막특성이 전도성을 나타내기에 과도한 운반자의 생성을 조절하여야만 반도체로서의 특성을 얻을 수가 있다. Inkjet을 이용한 박막의 형성에서는 jetting 전압의 조절이 박막의 형성에 많은 영향을 미친다. 낮은 전압을 사용한 inkjet 공정에서는 상대적으로 균일성이 떨어지는 박막이 형성되고, 높은 전압에서는 두꺼운 박막이 형성되기에 적절한 전압인 60 V로하여 박막을 형성하였다. 그러나 도핑 된 양이 증가할 경우에는 박막내의 금속과 산화물의 형성이 적어지고, 외부의 영향에 의한 단락층의 발생과 Ooh의 증가로 TFT 성능의 급격한 저하를 발견할 수 있었다 (표 1 그리고 표 2). 아연의 도핑이 0.1 M이 되면 운반자의 이동도가 0.07 cm2/V s까지 낮아졌다. 또 다른 특이한 것으로 도핑에 의한 문턱전압의 이동을 관찰 할 수 있는데, 이는 도핑에 의하여 TFT의 동작특성이 enhancement mode에서 depletion mode로 전환이 되고 있는 것을 알 수 있다. 이와 같은 문턱전압의 이동현상은 높은 운반자 농도와 전자를 잡아주는 lattice defect에 의한 것으로 사료된다 [12]. 특히 본 연구는 저온에서의 특성을 확보한 것으로서 적합한 도핑의 농도를 조절하면 원하는 특성 값을 조절 할 수 있다.

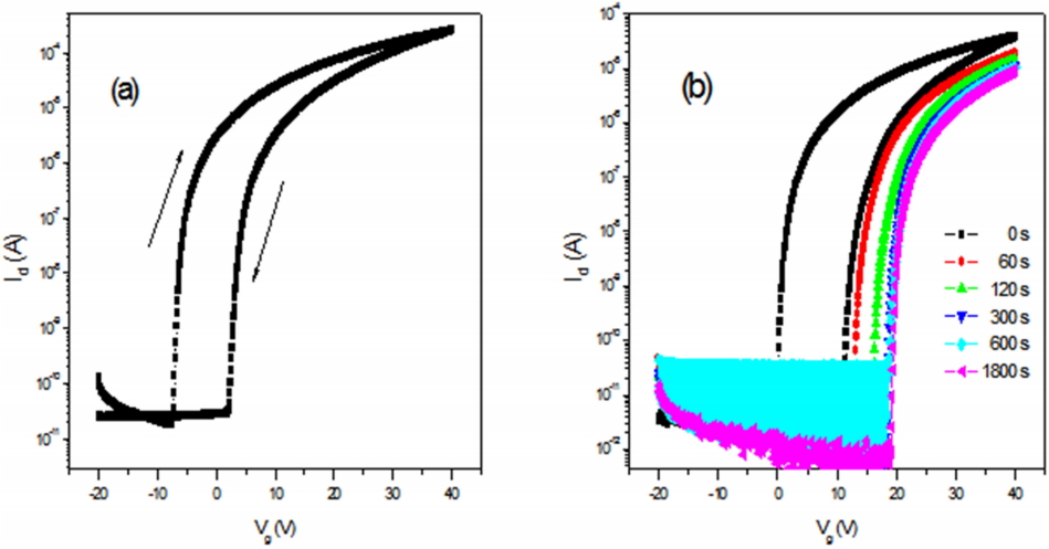
아연의 도핑 효과에서 0.025 M을 도핑한 경우가 가장 좋은 transfer curve와 output curve를 나타내기에 이에 대하여 더 살펴보고자 한다. 그림 3b에서는 도핑에 의한 TFT의 output curve를 보여준다. Output 특성은 소스와 드레인에 의한 좋은 접촉저항을 가진다는 것을 나타내며, 드레인 전압의 증가에 따라 드레인 전류가 게이트 전압에 따른 효과적인 포화 특성을 보여주고 있다. 그림 4a는 히스테리시스 곡선을 보여주고 있다. 히스테리시스는 시계방향 (양방향)으로의 변화가 나타나며, 이는 In2O3 TFT 와 매우 유사한 경향을 나타낸다. 이러한 시계방향으로의 히스테리시스 현상은 반도체나 게이트절연체와 반도체 사이의 계면에서 일어나는 전자의 trap에 의한 것으로 일반적인 산화물반도체를 이용한 TFT에서 나타나는 현상이다 [13]. 200 ℃라는 낮은 온도를 고려하면 이러한 히스테리시스 및 output 특성은 생각보다 좋은 것으로 평가 될 수 있다.

그림 4b에서는 양전하 부하(positive bias stress)를 TFT에 장시간 부여 하였을 때의 transfer curve의 변화를 보여주고 있다. 시간에 따라서 오른쪽 방향으로의 이동이 관찰 된다. Transfer curve의 이동에 따른 문턱전압의 오른쪽 방향으로의 이동이 나타난다. 이러한 양전하의 부하에 따른 오른쪽으로의 이동은 반도체와 게이트 절연체의 계면에서 음이온의 trap 현상에 의한 것으로 알려져 있다 [14]. 또한 낮은 열처리 온도에 따른 미 반응성 잔류물질과 비휘발된 잔류물질 등으로 인하여 특성 값에 많은 영향을 주고 있는 것을 알 수 있다.

4. 결 론

본 연구에서는 inkjet 공정을 활용한 metal-oxide 반도체를 형성 시에 아연의 도핑이 TFT에 미치는 영향을 연구하였다. 200 ℃ 이하의 낮은 온도에서 TFT특성을 얻었고, 최적 도핑농도는 0.025 M로서 이때에 TFT 특성 값은 곳으로 이동도는 1.8 cm2/V s, subthreshold slope (S-S)는 0.3 V dec-1, on-to-off current ratio는 107, 그리고 문턱전압은 -3.25 V를 나타낸다. 도핑의 농도가 증가 함에 따라서 TFT의 특성 값이 저하하는 것을 발견하였고, 그 원인은 금속-산화물의 결합이 줄어들고 외부인자에 의한 불순물과 저온 공정에 따른 잔류물들에 의한 것으로 사료며 이를 XPS를 통하여 검증하였다. 또한 transfer curve의히스테리시스를 관찰하였고 시계방향의 히스테리시스특성을 확인하였고, 또한 양전하 부하에 따른 transfer curve의 특성이 positive 방향으로 이동하는 것을 확인 하였으며 이들 또한 저온 공정에 의하여 제작된 inkjet TFT로서는 상대적으로 양호한 수치를 보여 주고 있다.

REFERENCES

1 
Facchetti A., Marks T. J., Ch. 2, Marks, Transparent Electronics,John Wiley & Sons Ltd (2010)Google Search
2 
Kim H., Kwack Y.-J., Yun E., Choi W.-S., Sci. Rep,6, 33576 (2016)Google Search
3 
Lee J. S., Choi W.-S., J. Korean Phys. Soc,64, 701 (2011)Google Search
4 
Kwack Y. J., Choi W.-S., IEEE J. Display Tech,12, 3 (2016)Google Search
5 
Lee Y., Choi W.-S., ACS Appl. Mater. Inter,6, 11167 (2014)Google Search
6 
Hennek J. W., Xia U., Everaerts K., Hersam M. C., Facchetti A., Marks T. J., ACS Appl. Mater. Inter,4, 1614 (2012)Google Search
7 
Kim H., Byrne P., Facchetti A., Marks T. J., J. Am. Chem. Soc,130, 12580 (2008)Google Search
8 
Han S.-Y., Herman G., Chang C.-H., J. Am. Chem. Soc,133, 5166 (2011)Google Search
9 
Dasgupta S., Kruk R., Mechau R., Hahn H., ACS Nano,5, 9628 (2011)Google Search
10 
Lee J. S., Kwack Y. J., Choi W.-S., ACS Appl. Mater. Inter,5, 11578 (2013)Google Search
11 
Jeong S., Lee J., Lee S., Choi Y., Ryu B.-H., J. Phys. Chem. C,115, 11773 (2011)Google Search
12 
Wang Y., Sun W., Goh G., Demir H., Yu H., IEEE Trans Electron Devices,58, 480 (2011)Google Search
13 
Wager J. F., Keszler D. A., Pesley E., Ch. 5, Pesley, Transparent Electronics,Springer-Verlag (2008)Google Search
14 
Matters M., Leeuw D., Herwig P., Brown A., Synth. Met,102, 998 (1999)Google Search

Figures and Tables

Fig. 1.

Schematic of bottom-gate top-contact thin-film transistor structure.

../../Resources/kim/KJMM.2019.57/kjmm-2019-57-3-170f1.jpg
Fig. 2.

XPS spectra (deconvoluted O 1s core peaks) of 0.025 M Zn-doped In2O3 thin films with annealing temperatures (a) 200 ℃, (b) 230 ℃, (c) 300 ℃.

../../Resources/kim/KJMM.2019.57/kjmm-2019-57-3-170f2.jpg
Fig. 3.

(a) Transfer and (b) output characteristics of inkjet-printed Zn-doped In2O3 TFTs with doping concentrations.

../../Resources/kim/KJMM.2019.57/kjmm-2019-57-3-170f3.jpg
Fig. 4.

(a) Hysteresis behavior and (b) transfer characteristics after positive bias stress of inkjet-printed Zn-doped (0.025M) In2O3 TFTs.

../../Resources/kim/KJMM.2019.57/kjmm-2019-57-3-170f4.jpg
Table 1.

XPS analysis (O 1s core peaks) of 0.025 M Zn-doped In2O3 thin films with annealing temperatures.

Annealing T 1 Peak (eV) 2 Peak (eV) 3 Peak (eV) M-O bonding Voxy -OH group
200 oC 528.11 529.08 530.17 50.78% 34.89% 14.31%
230 oC 528.27 529.09 530.33 52.25% 34.01% 13.73%
300 oC 528.21 529.03 530.45 62.86% 27.24% 9.88%
Table 2.

Electrical properties of inkjet-printed Zn-doped In2O3 TFTs with doping concentrations.

Zinc concentration Substrate T Mobility (cm2/Vs) I on/off S-S (V/dec) Vth (V)
0M 47 oC 1.8 ~108 0.3 1.9
0.025M 47 oC 1.8 1.49 × 107 0.3 -3.26
0.05M 47 oC 0.3 5.77 × 106 0.4 -2.4
0.1M 47 oC 0.1 2.5 × 106 0.3 -1